Optical Strain Gauge Prototype Based on a High Sensitivity Balloon-like Interferometer and Additive Manufacturing †
Abstract
1. Introduction
2. Principle of Operation
3. Balloon-like Interferometer Formation and Experimental Setup
Preparation and Characterization Using 3D Piece
4. Results and Discussions
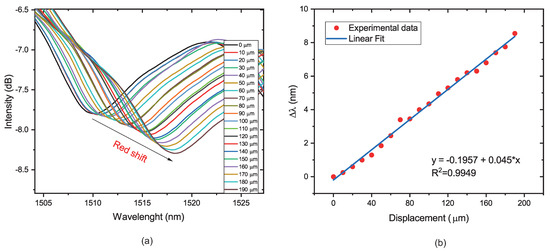
4.1. Micro-Displacement Characterization
4.2. Proposed Optical Strain Gauge
4.2.1. Wavelength Shift
4.2.2. Transmitted Optical Power
5. Conclusions
Author Contributions
Funding
Conflicts of Interest
References
- Huang, Y.H.; Liu, L.; Sham, F.C.; Chan, Y.S.; Ng, S.P. Optical strain gauge vs. traditional strain gauges for concrete elasticity modulus determination. Optik 2010, 121, 1635–1641. [Google Scholar] [CrossRef]
- Marek, H.; Nezich, N.; Jing, K.; Mario, H. A Novel Class of Strain Gauges Based on Layered Percolative Films of 2D Materials. Nano Lett. 2012, 12, 5714–5718. [Google Scholar]
- Bolton, W. (Ed.) Chapter 2—Instrumentation System Elements. In Instrumentation and Control Systems, 3rd ed.; Elsevier: Oxford, UK, 2021; pp. 17–70. [Google Scholar]
- Siren, K.; Rosén, G.; Vad, J.; Nielsen, P.V. 12—Experimental Techniques. In Industrial Ventilation Design Guidebook; Goodfellow, H., Tähti, E., Eds.; Academic Press: San Diego, CA, USA, 2001; pp. 1105–1195. [Google Scholar]
- Raffaella, D.S. Fibre Optic Sensors for Structural Health Monitoring of Aircraft Composite Structures: Recent Advances and Applications. Sensors 2015, 15, 18666–18713. [Google Scholar]
- Du, Y.; Chen, Y.; Zhu, C.; Zhuang, Y.; Huang, J. An embeddable optical strain gauge based on a buckled beam. Rev. Sci. Instrum. 2017, 88, 115002. [Google Scholar] [CrossRef]
- Leal-Junior, A.G.; Diaz, C.A.; Avellar, L.M.; Pontes, M.J.; Marques, C.; Frizera, A. Polymer optical fiber sensors in healthcare applications: A comprehensive review. Sensors 2019, 19, 3156. [Google Scholar] [CrossRef]
- Qian, Y.; Zhao, Y.; Wu, Q.L.; Yang, Y. Review of salinity measurement technology based on optical fiber sensor. Sens. Actuators B Chem. 2018, 260, 86–105. [Google Scholar] [CrossRef]
- Zhou, X.; Li, X.; Li, S.; An, G.W.; Cheng, T. Magnetic field sensing based on SPR optical fiber sensor interacting with magnetic fluid. IEEE Trans. Instrum. Meas. 2018, 68, 234–239. [Google Scholar] [CrossRef]
- Wang, Z.; Hua, S.; Wang, D.; Xu, W.; Yang, S. Design and verification of FBG strain gauge. J. Eng. 2019, 2019, 8535–8538. [Google Scholar] [CrossRef]
- Hu, Q.; Wang, X.; Guan, M.; Wu, B. Strain Responses of Superconducting Magnets Based on Embedded Polymer-FBG and Cryogenic Resistance Strain Gauge Measurements. IEEE Trans. Appl. Supercond. 2019, 29, 8400207. [Google Scholar] [CrossRef]
- Cardoso, V.H.; Caldas, P.; Giraldi, M.T.R.; Frazao, O.; de Carvalho, C.J.R.; Costa, J.C.; Santos, J.L. Experimental investigation of a strain gauge sensor based on Fiber Bragg Grating for diameter measurement. Opt. Fiber Technol. 2021, 61, 102428. [Google Scholar] [CrossRef]
- Abdi, A.M.; Kost, A.R. A fiber optic, Fabry–Perot strain gauge calibrator. Smart Mater. Struct. 2007, 16, 1931. [Google Scholar] [CrossRef]
- Cardoso, V.H.R.; Caldas, P.; Giraldi, M.T.R.; Fernandes, C.S.; Frazão, O.; Costa, J.C.W.A.; Santos, J.L. A Simple Optical Sensor Based on Multimodal Interference Superimposed on Additive Manufacturing for Diameter Measurement. Sensors 2022, 22, 4560. [Google Scholar] [CrossRef] [PubMed]
- Unnikrishnan, S.; Razil, M.; Benny, J.; Varghese, S.; Hari, C. LPG monitoring and leakage detection system. In Proceedings of the 2017 International Conference on Wireless Communications, Signal Processing and Networking (WiSPNET), Chennai, India, 22–24 March 2017; pp. 1990–1993. [Google Scholar]
- Li, R.; Chen, Y.; Tan, Y.; Zhou, Z.; Li, T.; Mao, J. Sensors | Free Full-Text | Sensitivity Enhancement of FBG-Based Strain Sensor. Sensors 2018, 18, s18051607. [Google Scholar]
- Zhou, Z.; Tan, Y.; Liu, M.; Yang, W.; Li, Z. Actualities and development on dynamic monitoring and diagnosis with distributed fiber Bragg grating in mechanical systems. J. Mech. Eng. 2013, 49, 55–69. [Google Scholar] [CrossRef]
- Wang, W.; Yiu, H.H.P.; Li, W.J.; Roy, V.A.L. The Principle and Architectures of Optical Stress Sensors and the Progress on the Development of Microbend Optical Sensors. Adv. Opt. Mater. 2021, 9, 2001693. [Google Scholar] [CrossRef]
- Zhu, L.; Lin, Q.; Yao, K.; Zhao, N.; Yang, P.; Jiang, Z. Fiber Vector Magnetometer Based on Balloon-Like Fiber Structure and Magnetic Fluid. IEEE Trans. Instrum. Meas. 2021, 70, 6011509. [Google Scholar] [CrossRef]
- Wu, Y.; Xiao, S.; Xu, Y.; Shen, Y.; Jiang, Y.; Jin, W.; Yang, Y. Highly sensitive force sensor based on balloon-like interferometer. Opt. Laser Technol. 2018, 103, 17–21. [Google Scholar] [CrossRef]
- Wu, Y.; Meng, F.; Li, H.; Yan, G.; Zhu, L. Simultaneous measurement of micro-displacement and temperature based on balloon-like interferometer and fiber Bragg grating. Optik 2019, 183, 875–880. [Google Scholar] [CrossRef]
- Yang, B.; Niu, Y.; Yang, B.; Hu, Y.; Dai, L.; Yin, Y.; Ding, M. High sensitivity balloon-like refractometric sensor based on singlemode-tapered multimode-singlemode fiber. Sens. Actuat. A Phys. 2018, A 281, 42–47. [Google Scholar] [CrossRef]
- Zhao, Y.; Liu, X.; Lv, R.Q.; Wang, Q. Simultaneous measurement of RI and temperature based on the combination of Sagnac loop mirror and balloon-like interferometer. Sens. Actuat. B Chem. 2017, 243, 800–805. [Google Scholar] [CrossRef]
- Tong, R.J.; Zhao, Y.; Chen, M.Q.; Hu, X.G.; Yang, Y. Simultaneous measurement of RH and temperature based on FBG and balloon-like sensing structure with inner embedded up-tapered MZI. Measurement 2019, 146, 1–8. [Google Scholar] [CrossRef]
- Al-Janabi, D.I.; Salman, A.M.; Al-Janabi, A. High-sensitivity balloon-like thermometric sensor based on bent single-mode fiber. Meas. Sci. Technol. 2020, 31, 115106. [Google Scholar] [CrossRef]
- Al-Hayali, S.K.; Salman, A.M.; Al-Janabi, A.H. High sensitivity balloon-like interferometric optical fiber humidity sensor based on tuning gold nanoparticles coating thickness. Measurement 2021, 170, 108703. [Google Scholar] [CrossRef]
- He, X.L.; Wang, Z.Q.; Wang, D.H.; Wang, X.B.; Liu, Y.; Jiang, F.C.; Yuan, L.B. Optical Fiber Sensor for Strain Monitoring of Metallic Device Produced by Very High-Power Ultrasonic Additive Manufacturing. IEEE Sens. J. 2019, 19, 10680–10685. [Google Scholar] [CrossRef]
- Camposeo, A.; Persano, L.; Farsari, M.; Pisignano, D. Additive Manufacturing: Applications and Directions in Photonics and Optoelectronics. Adv. Opt. Mater. 2019, 7, 1800419. [Google Scholar] [CrossRef] [PubMed]
- Hong, C.; Zhang, Y.; Borana, L. Design, Fabrication and Testing of a 3D Printed FBG Pressure Sensor. IEEE Acess 2019, 7, 38577–38583. [Google Scholar] [CrossRef]
- Hong, C.; Zhang, Y.; Lu, Z.; Yin, Z. A FBG Tilt Sensor Fabricated Using 3D Printing Technique for Monitoring Ground Movement. IEEE Sens. J. 2019, 19, 6392–6399. [Google Scholar] [CrossRef]
- Xu, Y.; Wu, X.; Guo, X.; Kong, B.; Zhang, M.; Qian, X.; Mi, S.; Sun, W. The Boom in 3D-Printed Sensor Technology. Sensors 2017, 17, 1166. [Google Scholar] [CrossRef] [PubMed]
- Lambert, A.; Valiulis, S.; Cheng, Q. Advances in Optical Sensing and Bioanalysis Enabled by 3D Printing. ACS Sens. 2018, 3, 2475–2491. [Google Scholar] [CrossRef]
- Bourell, D.; Kruth, J.P.; Leu, M.; Levy, G.; Rosen, D.; Beese, A.M.; Clare, A. Materials for additive manufacturing. CIRP Ann. 2017, 66, 659–681. [Google Scholar] [CrossRef]
- Liu, X.; Zhao, Y.; Lv, R.Q.; Wang, Q. High Sensitivity Balloon-Like Interferometer for Refractive Index and Temperature Measurement. IEEE Photonics Technol. Lett. 2016, 28, 1485–1488. [Google Scholar] [CrossRef]
- Wu, Y.; Pei, L.; Jin, W.; Jiang, Y.; Yang, Y.; Shen, Y.; Jian, S. Highly sensitive curvature sensor based on asymmetrical twin core fiber and multimode fiber. Opt. Laser Technol. 2017, 92, 74–79. [Google Scholar] [CrossRef]
- Zhao, L.; Liu, B.; Wu, Y.; Sun, T.; Mao, Y.; Nan, T. Measurement of refractive index and temperature using balloon- shaped Mach-Zehnder interferometer. Optik 2019, 188, 115–119. [Google Scholar] [CrossRef]
- Fu, H.; Jiang, Y.; Ding, J.; Zhang, J. Low Temperature Cross-Sensitivity Humidity Sensor Based on a U-Shaped Microfiber Interferometer. IEEE Sens. J. 2017, 17, 644–649. [Google Scholar] [CrossRef]
- Liu, X.; Zhao, Y.; Lv, R.Q.; Wang, Q. Enhancement of RI Sensitivity Through Bending a Tapered-SMF-Based Balloon-Like Interferometer. J. Light. Technol. 2016, 34, 3293–3299. [Google Scholar] [CrossRef]
- Tiana, K.; Wanga, R.; Zhanga, M.; Wangc, X.; Wanga, X.; Jinb, G.; Lewisd, E.; Farrelle, G.; Wanga, P. Simultaneous measurement of displacement and temperature based on two cascaded balloon-like bent fibre structures. Opt. Fiber Technol. 2020, 58, 102277. [Google Scholar] [CrossRef]
- Ge, J.; Zhang, Y.; Zhang, W.; Kong, L.X.; Li, Z.; Yu, L.; Zhao, X.L.; Yan, T.Y. Simultaneous Measurement of RI and Temperature Based on Compact U-Shaped Interferometer. IEEE Sens. J. 2020, 20, 3593–3598. [Google Scholar] [CrossRef]
- Zhang, J.; Li, Y.; Yao, G. High Sensitivity Balloon-Like Sensor Based on Twin-Core and Twin-Hole Fiber. IEEE Photon. J. 2022, 14, 6835407. [Google Scholar] [CrossRef]










Publisher’s Note: MDPI stays neutral with regard to jurisdictional claims in published maps and institutional affiliations. |
© 2022 by the authors. Licensee MDPI, Basel, Switzerland. This article is an open access article distributed under the terms and conditions of the Creative Commons Attribution (CC BY) license (https://creativecommons.org/licenses/by/4.0/).
Share and Cite
Cardoso, V.H.R.; Caldas, P.; Giraldi, M.T.R.; Frazão, O.; Costa, J.C.W.A.; Santos, J.L. Optical Strain Gauge Prototype Based on a High Sensitivity Balloon-like Interferometer and Additive Manufacturing. Sensors 2022, 22, 7652. https://doi.org/10.3390/s22197652
Cardoso VHR, Caldas P, Giraldi MTR, Frazão O, Costa JCWA, Santos JL. Optical Strain Gauge Prototype Based on a High Sensitivity Balloon-like Interferometer and Additive Manufacturing. Sensors. 2022; 22(19):7652. https://doi.org/10.3390/s22197652
Chicago/Turabian StyleCardoso, Victor H. R., Paulo Caldas, Maria Thereza R. Giraldi, Orlando Frazão, João C. W. Albuquerque Costa, and José Luís Santos. 2022. "Optical Strain Gauge Prototype Based on a High Sensitivity Balloon-like Interferometer and Additive Manufacturing" Sensors 22, no. 19: 7652. https://doi.org/10.3390/s22197652
APA StyleCardoso, V. H. R., Caldas, P., Giraldi, M. T. R., Frazão, O., Costa, J. C. W. A., & Santos, J. L. (2022). Optical Strain Gauge Prototype Based on a High Sensitivity Balloon-like Interferometer and Additive Manufacturing. Sensors, 22(19), 7652. https://doi.org/10.3390/s22197652

