High-Frequency Surface Acoustic Wave Resonator with Diamond/AlN/IDT/AlN/Diamond Multilayer Structure
Abstract
:1. Introduction
2. Establishment and Simulation of SAW Resonator
| Symbol | AlN [33] | Diamond [19] | Al [34] | Si [35] | |
|---|---|---|---|---|---|
| Elastic constants (1011 N/m2) | 3.45 | 11.53 | 1.11 | 1.66 | |
| 1.25 | 0.86 | 0.59 | 0.64 | ||
| 1.20 | 0.86 | 0.59 | 0.64 | ||
| 3.95 | 11.53 | 1.11 | 1.66 | ||
| 1.18 | 5.33 | 0.26 | 0.8 | ||
| Temperature coefficients of elastic constants (10−4/°C) | −0.37 | −0.14 | −5.9 | −0.53 | |
| −0.018 | −0.57 | −0.8 | −0.75 | ||
| −0.65 | −0.14 | −5.9 | −0.53 | ||
| −0.5 | −0.125 | −5.2 | −0.42 | ||
| Piezoelectric constants (C/m2) | −0.48 | ||||
| −0.58 | |||||
| 1.55 | |||||
| relative dielectric constants | 9.04 | 5.67 | 1 | 10.62 | |
| 10.73 | 5.67 | 1 | 10.62 | ||
| Density (kg/m3) | ρ | 3.26 | 3.51 | 2.7 | 2.33 |
| Temperature coefficients of mass density (10−6/°C) | Tρ | −14.69 | −3.6 | −1.65 | −2.6 |
3. Results and Discussion
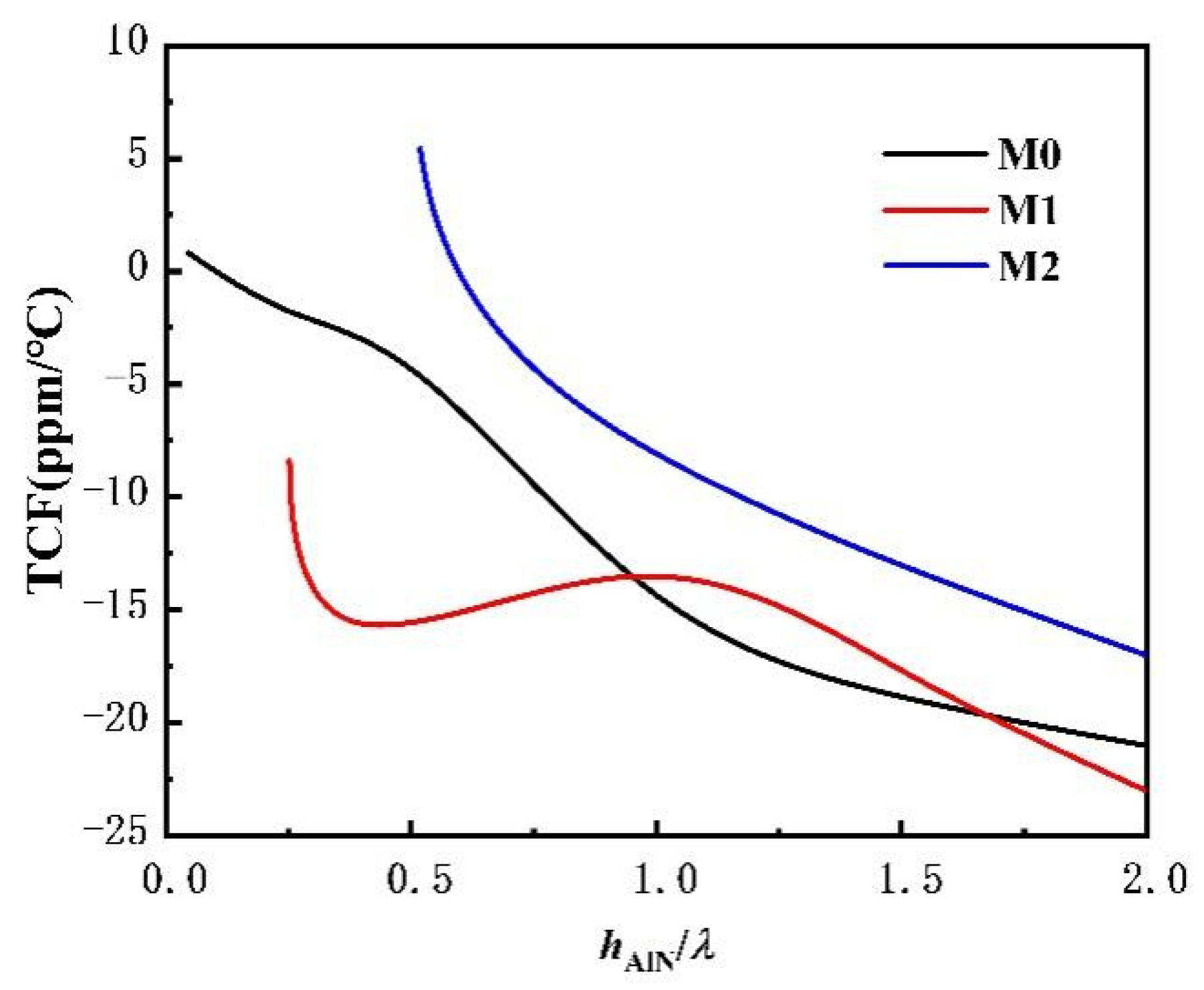
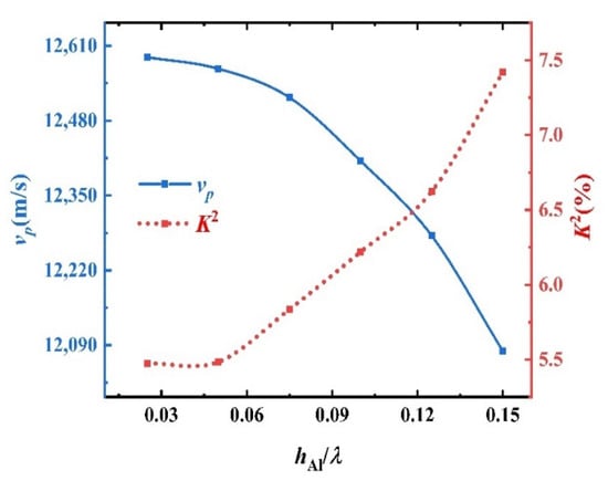
3.1. The Influence of Piezoelectric Film Thickness
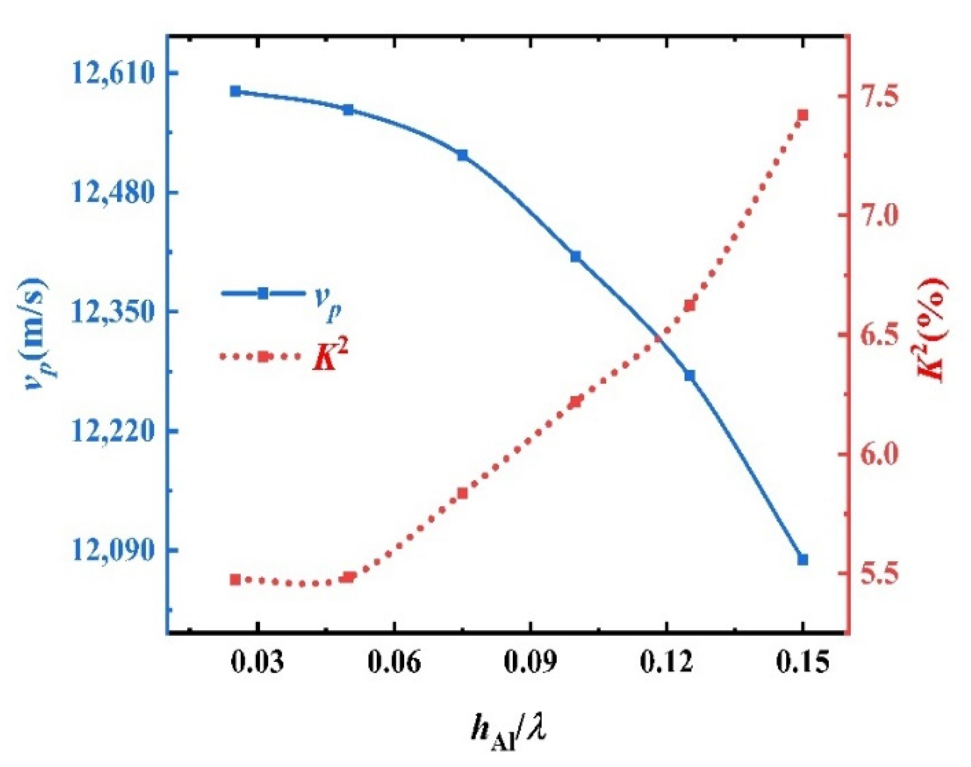
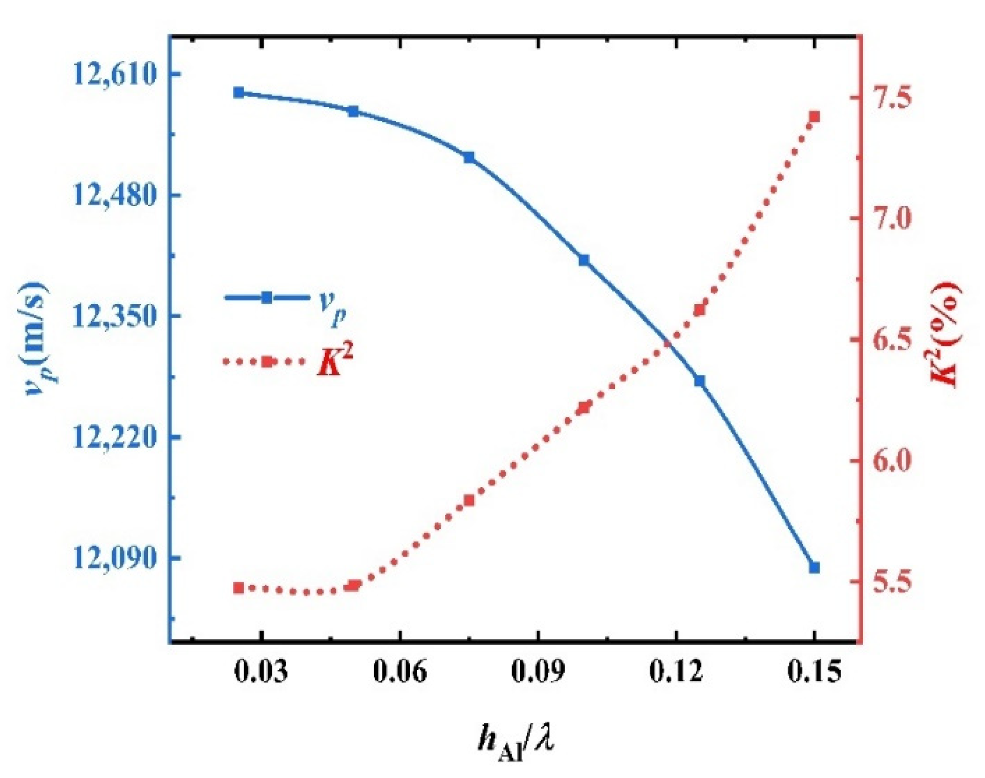
3.2. The Influence of the Metal Electrode Thickness
4. Conclusions
Author Contributions
Funding
Institutional Review Board Statement
Informed Consent Statement
Data Availability Statement
Conflicts of Interest
References
- Ding, X.; Li, P.; Lin, S.-C.S.; Stratton, Z.S.; Nama, N.; Guo, F.; Slotcavage, D.; Mao, X.; Shi, J.; Costanzo, F. Surface acoustic wave microfluidics. Lab Chip 2013, 13, 3626–3649. [Google Scholar] [CrossRef]
- Anderson, G.W.; Webb, D.C.; Spezio, A.E.; Lee, J.N. Advanced channelization for RF, microwave, and millimeterwave applications. Proc. IEEE 1991, 79, 355–388. [Google Scholar] [CrossRef]
- Fahmy, A.; Adler, E. Propagation of acoustic surface waves in multilayers: A matrix description. Appl. Phys. Lett. 1973, 22, 495–497. [Google Scholar] [CrossRef]
- Namdeo, A.K.; Nemade, H.B. Simulation on effects of electrical loading due to interdigital transducers in surface acoustic wave resonator. Procedia Eng. 2013, 64, 322–330. [Google Scholar] [CrossRef]
- Wang, L.; Chen, S.; Zhang, J.; Xiao, D.; Han, K.; Ning, X.; Liu, J.; Chen, Z.; Zhou, J. Enhanced performance of 17.7 GHz SAW devices based on AlN/diamond/Si layered structure with embedded nanotransducer. Appl. Phys. Lett. 2017, 111, 253502. [Google Scholar] [CrossRef]
- Shen, J.; Fu, S.; Su, R.; Xu, H.; Wang, W.; Lu, Z.; Feng, Q.; Zeng, F.; Song, C.; Pan, F. Structure with thin SiOx/SiNx bilayer and Al electrodes for high-frequency, large-coupling, and low-cost surface acoustic wave devices. Ultrasonics 2021, 115, 106460. [Google Scholar] [CrossRef]
- Naumenko, N.F. High-velocity non-attenuated acoustic waves in LiTaO3/quartz layered substrates for high frequency resonators. Ultrasonics 2019, 95, 1–5. [Google Scholar] [CrossRef]
- Kumar, A.; Thachil, G.; Dutta, S. Ultra high frequency acoustic wave propagation in fully polymer based surface acoustic wave device. Sens. Actuators A Phys. 2019, 292, 52–59. [Google Scholar] [CrossRef]
- Shen, J.; Luo, J.; Fu, S.; Su, R.; Wang, W.; Zeng, F.; Song, C.; Pan, F. 3D layout of interdigital transducers for high frequency surface acoustic wave devices. IEEE Access 2020, 8, 123262–123271. [Google Scholar] [CrossRef]
- Fu, S.; Wang, W.; Li, Q.; Lu, Z.; Chen, Z.; Luo, J.; Shen, J.; Wang, R.; Song, C.; Zeng, F. High-frequency V-doped ZnO/SiC surface acoustic wave devices with enhanced electromechanical coupling coefficient. Appl. Phys. Lett. 2019, 114, 113504. [Google Scholar] [CrossRef]
- Liu, B.; Chen, X.; Cai, H.; Ali, M.M.; Tian, X.; Tao, L.; Yang, Y.; Ren, T. Surface acoustic wave devices for sensor applications. J. Semicond. 2016, 37, 021001. [Google Scholar] [CrossRef]
- Le Brizoual, L.; Elmazria, O. FEM modeling of AlN/diamond surface acoustic waves device. Diam. Relat. Mater. 2007, 16, 987–990. [Google Scholar] [CrossRef]
- Luo, J.; Quan, A.; Fu, C.; Li, H. Shear-horizontal surface acoustic wave characteristics of a (110) ZnO/SiO2/Si multilayer structure. J. Alloys Compd. 2017, 693, 558–564. [Google Scholar] [CrossRef]
- Shenai, K.; Scott, R.S.; Baliga, B.J. Optimum semiconductors for high-power electronics. IEEE Trans. Electron Devices 1989, 36, 1811–1823. [Google Scholar] [CrossRef]
- Fu, Y.Q.; Luo, J.; Nguyen, N.-T.; Walton, A.; Flewitt, A.J.; Zu, X.-T.; Li, Y.; McHale, G.; Matthews, A.; Iborra, E. Advances in piezoelectric thin films for acoustic biosensors, acoustofluidics and lab-on-chip applications. Prog. Mater. Sci. 2017, 89, 31–91. [Google Scholar] [CrossRef]
- Fei, C.; Liu, X.; Zhu, B.; Li, D.; Yang, X.; Yang, Y.; Zhou, Q. AlN piezoelectric thin films for energy harvesting and acoustic devices. Nano Energy 2018, 51, 146–161. [Google Scholar] [CrossRef]
- Othmani, C.; Labiadh, L.; Lü, C.; Kamali, A.R.; Takali, F. Influence of a piezoelectric ZnO intermediate layer on Rayleigh waves propagating in Sc43% AlN57%/ZnO/diamond hetero-structures subjected to uniaxial stress. Eur. Phys. J. Plus 2020, 135, 898. [Google Scholar] [CrossRef]
- Assouar, M.; Elmazria, O.; Kirsch, P.; Alnot, P.; Mortet, V.; Tiusan, C. High-frequency surface acoustic wave devices based on AlN/diamond layered structure realized using e-beam lithography. J. Appl. Phys. 2007, 101, 114507. [Google Scholar] [CrossRef]
- Benetti, M.; Cannata, D.; Di Pictrantonio, F.; Verona, E. Growth of AlN piezoelectric film on diamond for high-frequency surface acoustic wave devices. IEEE Trans. Ultrason. Ferroelectr. Freq. Control 2005, 52, 1806–1811. [Google Scholar] [CrossRef]
- Kobayashi, Y.; Tsuchiya, T.; Okazaki, M.; Asao, Y.; Hashimoto, K.; Shikata, S. High-frequency surface acoustic wave resonator with ScAlN/hetero-epitaxial diamond. Diam. Relat. Mater. 2021, 111, 108190. [Google Scholar] [CrossRef]
- Brookes, J.; Bufacchi, R.; Kondoh, J.; Duffy, D.M.; McKendry, R.A. Determining biosensing modes in SH-SAW device using 3D finite element analysis. Sens. Actuators B Chem. 2016, 234, 412–419. [Google Scholar] [CrossRef]
- Dreher, L.; Weiler, M.; Pernpeintner, M.; Huebl, H.; Gross, R.; Brandt, M.S.; Gönnenwein, S.T. Surface acoustic wave driven ferromagnetic resonance in nickel thin films: Theory and experiment. Phys. Rev. B 2012, 86, 134415. [Google Scholar] [CrossRef]
- McMeeking, R.M.; Landis, C.M. Electrostatic forces and stored energy for deformable dielectric materials. J. Appl. Mech.-Trans. ASME 2005, 72, 581–590. [Google Scholar] [CrossRef]
- Qian, J.; Li, C.; Qian, L.; Li, M.; Li, H.; Yang, B. Three-dimensional finite element simulation of Love mode surface acoustic wave in layered structures including ZnO piezoelectric film and diamond substrate. Diam. Relat. Mater. 2018, 88, 123–128. [Google Scholar] [CrossRef]
- Zhgoon, S.; Tsimbal, D.; Shvetsov, A.; Bhattacharjee, K. 3D finite element modeling of real size SAW devices and experimental validation. In Proceedings of the 2008 IEEE Ultrasonics Symposium, Beijing, China, 2–5 November 2008; pp. 1932–1935. [Google Scholar]
- Nakahata, H.; Hachigo, A.; Higaki, K.; Fujii, S.; Shikata, S.-I.; Fujimori, N. Theoretical study on SAW characteristics of layered structures including a diamond layer. IEEE Trans. Ultrason. Ferroelectr. Freq. Control 1995, 42, 362–375. [Google Scholar] [CrossRef]
- Zhang, S.; Xia, R.; Lebrun, L.; Anderson, D.; Shrout, T.R. Piezoelectric materials for high power, high temperature applications. Mater. Lett. 2005, 59, 3471–3475. [Google Scholar] [CrossRef]
- Ruppel, C.C.; Fjeldly, T.A. Advances in Surface Acoustic Wave Technology, Systems and Applications; World Scientific: Singapore, 2001; Volume 20. [Google Scholar]
- Maouhoub, S.; Aoura, Y.; Mir, A. FEM simulation of AlN thin layers on diamond substrates for high frequency SAW devices. Diam. and Relat. Mater. 2016, 62, 7–13. [Google Scholar] [CrossRef]
- Iriarte, G.F.; Engelmark, F.; Katardjiev, I.V.; Plessky, V.; Yantchev, V. SAW COM-parameter extraction in AlN/diamond layered structures. IEEE Trans. Ultrason. Ferroelectr. Freq. Control 2003, 50, 1542–1547. [Google Scholar] [CrossRef]
- Hashimoto, K.-Y.; Kadota, M.; Nakao, T.; Ueda, M.; Miura, M.; Nakamura, H.; Nakanishi, H.; Suzuki, K. Recent development of temperature compensated SAW devices. In Proceedings of the 2011 IEEE International Ultrasonics Symposium, Orlando, FL, USA, 18–21 October 2011; pp. 79–86. [Google Scholar]
- Moreira, F.; El Hakiki, M.; Sarry, F.; Le Brizoual, L.; Elmazria, O.; Alnot, P. Numerical development of ZnO/quartz love wave structure for gas contamination detection. IEEE Sens. J. 2007, 7, 336–341. [Google Scholar] [CrossRef]
- Tsubouchi, K.; Mikoshiba, N. Zero-temperature-coefficient SAW devices on AlN epitaxial films. IEEE Trans. Sonics Ultrason. 1985, 32, 634–644. [Google Scholar] [CrossRef]
- Bjurström, J.; Wingqvist, G.; Yantchev, V.; Katardjiev, I. Temperature compensation of liquid FBAR sensors. J. Micromech. Microeng. 2007, 17, 651. [Google Scholar] [CrossRef]
- Wu, P.; Emanetoglu, N.; Tong, X.; Lu, Y. Temperature compensation of SAW in ZnO/SiO2/Si structure. In Proceedings of the 2001 IEEE Ultrasonics Symposium. Proceedings. An International Symposium (Cat. No. 01CH37263), Atlanta, GA, USA, 7–10 October 2001; pp. 211–214. [Google Scholar]











| Characters | Symbol | Values |
|---|---|---|
| Wavelength/μm | λ | 2 |
| Diamond layer thickness | 0.5λ | |
| Al electrode width | a | 0.25λ |
| Al electrode center distance | b | 0.25λ |
| AlN layer thickness | 0.5λ | |
| Al layer thickness | 0.1λ | |
| Si layer thickness | 3λ | |
| PML layer thickness | 0.5λ | |
| Z direction thickness | t | 0.5λ |
| Boundary | Mechanical Boundary Conditions | Electrical Boundary |
|---|---|---|
| Free boundary | 1 V | |
| Free boundary | Grounding | |
| Free boundary | Continuity | |
| Fixed constraint | Grounding | |
| Periodic conditions | ||
| Structure | Modal | TCF (ppm/°C) | ||||||
|---|---|---|---|---|---|---|---|---|
| Sandwiched structure (this work) | M2 | 0.9λ | 0.075λ | 6.15 | 6.32 | 12,470 | 5.53 | −6.3 |
| Traditional IDT/ALN/diamond/Si structure | M1 | 0.5λ | 0.025λ | 1.26 | 1.27 | 7620 | 1.55 | / |
Publisher’s Note: MDPI stays neutral with regard to jurisdictional claims in published maps and institutional affiliations. |
© 2022 by the authors. Licensee MDPI, Basel, Switzerland. This article is an open access article distributed under the terms and conditions of the Creative Commons Attribution (CC BY) license (https://creativecommons.org/licenses/by/4.0/).
Share and Cite
Lei, L.; Dong, B.; Hu, Y.; Lei, Y.; Wang, Z.; Ruan, S. High-Frequency Surface Acoustic Wave Resonator with Diamond/AlN/IDT/AlN/Diamond Multilayer Structure. Sensors 2022, 22, 6479. https://doi.org/10.3390/s22176479
Lei L, Dong B, Hu Y, Lei Y, Wang Z, Ruan S. High-Frequency Surface Acoustic Wave Resonator with Diamond/AlN/IDT/AlN/Diamond Multilayer Structure. Sensors. 2022; 22(17):6479. https://doi.org/10.3390/s22176479
Chicago/Turabian StyleLei, Liang, Bo Dong, Yuxuan Hu, Yisong Lei, Zhizhong Wang, and Shuangchen Ruan. 2022. "High-Frequency Surface Acoustic Wave Resonator with Diamond/AlN/IDT/AlN/Diamond Multilayer Structure" Sensors 22, no. 17: 6479. https://doi.org/10.3390/s22176479
APA StyleLei, L., Dong, B., Hu, Y., Lei, Y., Wang, Z., & Ruan, S. (2022). High-Frequency Surface Acoustic Wave Resonator with Diamond/AlN/IDT/AlN/Diamond Multilayer Structure. Sensors, 22(17), 6479. https://doi.org/10.3390/s22176479
