Comprehensive Engineering Frequency Domain Analysis and Vibration Suppression of Flexible Aircraft Based on Active Disturbance Rejection Controller
Abstract
:1. Introduction
2. Flexible Aircraft Aerodynamic Vibration Model
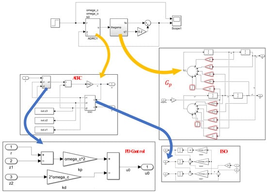
3. Active Disturbance Rejection Controller Design
3.1. Extended State Observer
3.2. PD Control Law
3.3. Closed-loop Analysis
3.4. Parameter Tuning
- As shown in Table 1, the six parameters of the elastic vibration model take random values within the intervals (simulation part), and each parameter has two boundary values. We know that if the system converges under a combination of 64 boundary values, any random set of parameters in the interval converge under the closed-loop system [38].
- Under the premise of step (a), select the mean value combination of the parameters of the vibration model, that is, , continuously train the simulation effect of the closed loop, and analyze the simulation results. The maximum percentage overshoot (MPO-the percentage of maximum overshoot from the set value), setting time (TS-the earliest moment when the controlled object stabilizes in the interval [0.99,1.01]) and integral absolute error (IAE-the sum of the errors between the output value and the set value in the simulation time) are used as indicators to find the best simulation effect, and, then, the controller parameters are determined.
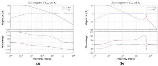
3.5. Closed-Loop Sensitivity
4. Simulation
4.1. ESO Estimation Error Analysis
4.2. Disturbance Rejection Test
4.3. Robustness Analysis
5. Discussion
6. Conclusions
Supplementary Materials
Author Contributions
Funding
Data Availability Statement
Conflicts of Interest
References
- Afonso, F.; Coelho, M.; Vale, J.; Lau, F.; Suleman, A. On the Design of Aeroelastically Scaled Models of High Aspect-Ratio Wings. Aerospace 2020, 7, 166. [Google Scholar] [CrossRef]
- Liu, J.; Lv, B.; Guo, H. Stiffness Experiment of Large Deformation and Large Aspect Ratio Elastic Wing Model. In Proceedings of the 3rd International Conference on Information Technologies and Electrical Engineering, Changde, China, 3–5 December 2020. [Google Scholar]
- Esfandiari, R.S.; Lu, B. Modeling and Analysis of Dynamic Systems; CRC Press: Boca Raton, FL, USA, 2018. [Google Scholar]
- Zhang, C.; Cao, L. Research on the development of aircraft active flutter suppression technology. In Proceedings of the 12th Annual Conference on Control and Application of the Aviation Society of China, Atlanta, GA, USA, 27 January–3 February 2006. (In Chinese). [Google Scholar]
- Nissim, E.; Burken, J.J. Control Surface Spanwise Placement in Active Flutter Suppression Systems; NASA: Washington, DC, USA, 1988. [Google Scholar]
- Ziegler, J.G.; Nichols, N.B. Optimum settings for automatic controllers. Trans. ASME 1942, 64, 759–765. [Google Scholar] [CrossRef]
- Wang, H.; Xing, J.; Price, W.; Li, W. An investigation of an active landing gear system to reduce aircraft vibrations caused by landing impacts and runway excitations. J. Sound Vib. 2008, 317, 50–66. [Google Scholar] [CrossRef]
- Das, S.; Acharya, A.; Pan, I. Simulation studies on the design of optimum PID controllers to suppress chaotic oscillations in a family of Lorenz-like multi-wing attractors. Math. Comput. Simul. 2014, 100, 72–87. [Google Scholar] [CrossRef]
- Bi, Y.; Xie, C.; An, C.; Yang, C. Gust load alleviation wind tunnel tests of a large-aspect-ratio flexible wing with piezoelectric control. Chin. J. Aeronaut. 2017, 30, 292–309. [Google Scholar] [CrossRef]
- Guo, B.; Liu, H.; Luo, Z.; Wang, F. Adaptive PID controller based on BP neural network. In Proceedings of the 2009 International Joint Conference on Artificial Intelligence, Hainan Island, China, 25–26 April 2009; IEEE: Piscataway, NJ, USA, 2009. [Google Scholar]
- Gupta, N.K. Frequency-shaped cost functionals-Extension of linear-quadratic-Gaussian design methods. J. Guid. Control 1980, 3, 529–535. [Google Scholar] [CrossRef]
- Ahmad, S.; Chipperfield, A.; Tokhi, O. Dynamic modeling and optimal control of a twin rotor MIMO system. In Proceedings of the IEEE 2000 National Aerospace and Electronics Conference, Dayton, OH, USA, 10–12 October 2000; IEEE: Piscataway, NJ, USA, 2000. [Google Scholar]
- Na, S.; Librescu, L.; Marzocca, P.; Yoon, G.; Rubillo, C.; Bong, K. Robust aeroelastic control of two-dimensional supersonic flapped wing systems. Acta Mech. 2007, 192, 37–47. [Google Scholar] [CrossRef]
- Dul, F. Active suppression of freeplay aeroelastic vibrations of ailerons by robust control methods with incomplete measurements. Aircr. Eng. Aerosp. Technol. 2018, 90, 688–698. [Google Scholar] [CrossRef]
- Nichols, R.A.; Reichert, R.T.; Rugh, W.J. Gain scheduling for H-infinity controllers: A flight control example. IEEE Trans. Control Syst. Technol. 1993, 1, 69–79. [Google Scholar] [CrossRef]
- Hegde, N.T.; Vaz, A.C.; Nayak, C. Closed loop performance analysis of classical PID and robust H-infinity controller for VTOL unmanned quad tiltrotor aerial vehicle. Int. J. Mech. 2021, 15, 211–222. [Google Scholar] [CrossRef]
- Efremov, A.V.; Mbikayi, Z.; Efremov, E.V. Comparative study of different algorithms for a flight control system design and the potentiality of their integration with a sidestick. Aerospace 2021, 8, 290. [Google Scholar] [CrossRef]
- Jiang, Y.; Hu, Q.; Ma, G. Adaptive backstepping fault-tolerant control for flexible spacecraft with unknown bounded disturbances and actuator failures. ISA Trans. 2010, 49, 57–69. [Google Scholar] [CrossRef] [PubMed]
- Song, J.-S.; Choo, J.; Cha, S.-J.; Na, S.; Qin, Z. Robust aeroelastic instability suppression of an advanced wing with model uncertainty in subsonic compressible flow field. Aerosp. Sci. Technol. 2013, 25, 242–252. [Google Scholar] [CrossRef]
- Zahra, R.; Mohand, L.; Smain, D. Classical and fuzzy sliding mode control for a nonlinear aeroelastic system with unsteady aerodynamic model. Int. J. Comput. Digit. Syst. 2020, 9, 1099–1108. [Google Scholar] [CrossRef]
- Luo, Z.; Guan, P.; Ge, X. Application of Dynamic Sliding Mode in Spacecraft Attitude Control; Journal of Beijing University of Information Science and Technology: Beijing, China, 2021. (In Chinese) [Google Scholar]
- Han, J.; Du, C.; Zheng, Y. Adaptive Sliding Mode Control with Transition Process for Flapping Wing Aerial Vehicle. In Proceedings of the 2020 12th International Conference on Intelligent Human-Machine Systems and Cybernetics (IHMSC), Hangzhou, China, 22–23 August 2020; IEEE: Piscataway, NJ, USA, 2020. [Google Scholar]
- Larkin, L.I. A fuzzy logic controller for aircraft flight control. In Proceedings of the 23rd IEEE Conference on Decision and Control, Las Vegas, NV, USA, 12–14 December 1984; IEEE: Piscataway, NJ, USA, 1984. [Google Scholar]
- Raboaca, M.S.; Dumitrescu, C.; Manta, I. Aircraft trajectory tracking using radar equipment with fuzzy logic algorithm. Mathematics 2020, 8, 207. [Google Scholar] [CrossRef]
- Sayar, E.; Ertunç, H.M. Fuzzy logic controller and PID controller design for aircraft pitch control. In Proceedings of the European Conference on Mechanism Science, Aachen, Germany, 4–6 September 2018; Springer: Berlin/Heidelberg, Germany, 2018. [Google Scholar]
- Żyluk, A.; Kuźma, K.; Grzesik, N.; Zieja, M.; Tomaszewska, J. Fuzzy Logic in Aircraft Onboard Systems Reliability Evaluation—A New Approach. Sensors 2021, 21, 7913. [Google Scholar] [CrossRef]
- Han, J. From PID to active disturbance rejection control. IEEE Trans. Ind. Electron. 2009, 56, 900–906. [Google Scholar] [CrossRef]
- Han, J.Q. Auto disturbance rejection controller and it’s applications. Control Decis. 1998, 13, 19–23. [Google Scholar]
- Han, J.Q. Auto disturbance rejection control technology. Front. Sci. 2007, 1, 24–31. (In Chinese) [Google Scholar]
- Gao, Z. Scaling and Bandwidth-Parameterization Based Controller Tuning; Citeseer; ACC: Mumbai, India, 2003. [Google Scholar]
- Chunqiang, L.; Guangzhao, L.; Zhe, C.; Wencong, T.; Cai, Q. A linear ADRC-based robust high-dynamic double-loop servo system for aircraft electro-mechanical actuators. Chin. J. Aeronaut. 2019, 32, 2174–2187. [Google Scholar]
- Yang, Q.; Men, J.; Wu, Y. Aeroservoelastic Analysis and Active Disturbance Rejection Control Scheme for the High-aspect-ratio UAVs. In Proceedings of the 2020 3rd International Conference on Unmanned Systems (ICUS), Harbin, China, 27–28 November 2020; IEEE: Piscataway, NJ, USA, 2020. [Google Scholar]
- Chen, Z.; Zhao, Y. Active Disturbance Rejection Control for Hypersonic Flutter Suppression Based on Parametric ROM. J. Aerosp. Eng. 2020, 33, 04020083. [Google Scholar] [CrossRef]
- Wang, L.; Wang, X.; Liu, G.; Li, Y. Improved Auto Disturbance Rejection Control Based on Moth Flame Optimization for Permanent Magnet Synchronous Motor. IEEJ Trans. Electr. Electron. Eng. 2021, 16, 1124–1135. [Google Scholar] [CrossRef]
- Duan, D.; Zhang, C.; Wang, Z.; Li, J. Active Control for Helicopters with Slung Load by Combining ADRC and Input Shaper Technology. In Proceedings of the 2020 Chinese Control And Decision Conference (CCDC), Hefei, China, 22–24 August 2020; IEEE: Piscataway, NJ, USA, 2020. [Google Scholar]
- Wang, L.; Jiang, W.; Jiao, Z.; Zhao, L. Limit cycle oscillation suppression controller design and stability analysis of the periodically time-varying flapping flight dynamics in hover. Nonlinear Dyn. 2022, 107, 3385–3405. [Google Scholar] [CrossRef]
- Qiao, H.; Meng, H.; Ke, W.; Gao, Q.; Wang, S. Adaptive control of missile attitude based on BP–ADRC. Aircr. Eng. Aerosp. Technol. 2020, 92, 1475–1481. [Google Scholar] [CrossRef]
- Zhong, S.; Huang, Y.; Chen, S.; Dai, L. A novel ADRC-based design for a kind of flexible aerocraft. Control Theory Technol. 2021, 19, 35–48. [Google Scholar] [CrossRef]
- Zheng, W.; Zhang, G. Complete Synchronization of Finance Chaotic System with Disturbance by Using ADRC. In Proceedings of the 2018 37th Chinese Control Conference (CCC), Wuhan, China, 25–27 July 2018; IEEE: Piscataway, NJ, USA, 2018. [Google Scholar]
- Huang, C.-E.; Li, D.; Xue, Y. Active disturbance rejection control for the ALSTOM gasifier benchmark problem. Control Eng. Pract. 2013, 21, 556–564. [Google Scholar] [CrossRef]
- Maki, M.; DE VEGTE, J.V. Optimal and constrained-optimal control of a flexible launch vehicle. AIAA J. 1972, 10, 796–799. [Google Scholar] [CrossRef]
- Liu, X.; Huang, W.; Wu, Y.; Xiong, S. Passive, active and compound control for elastic missile and applicability analysis. J. New Ind. 2014, 4, 11–19. [Google Scholar]
- He, T.; Wu, Z.; Li, D.; Wang, J. A tuning method of active disturbance rejection control for a class of high-order processes. IEEE Trans. Ind. Electron. 2019, 67, 3191–3201. [Google Scholar] [CrossRef]
- Liu, J. Intelligent Control Design and Matlab Simulation; Springer: Berlin/Heidelberg, Germany, 2018. [Google Scholar]
- Wang, G.; He, L. Control System Design; Tsinghua University Press: Beijing, China, 2008. (In Chinese) [Google Scholar]
- Åström, K.J.; Panagopoulos, H.; Hägglund, T. Design of PI controllers based on non-convex optimization. Automatica 1998, 34, 585–601. [Google Scholar] [CrossRef]












| Term | Nomenclature | Value Range |
|---|---|---|
| The natural frequency of the elastic mode | [24, 36] rad/s | |
| Kinetic coefficient | [3.2, 4.8] | |
| Kinetic coefficient | [10.4, 15.6] | |
| Kinetic coefficient | [264, 396] | |
| External disturbance of pitch angle | [−0.07, 0.07] rad/s | |
| External disturbance of elastic modes | [−1,1] rad/s2 |
| Total Number of Monte Carlo Shooting | Valid Simulation (%) | Setting Time < 8.92 s (%) | Maximum Percentage Overshoot < 35% (%) |
|---|---|---|---|
| 100 | 100.00 | 77.00 | 76.00 |
| 200 | 99.50 | 77.89 | 75.38 |
| 300 | 98.33 | 78.98 | 77.63 |
| 400 | 98.75 | 78.48 | 78.96 |
| ⋮ | |||
| 1000 | 98.80 | 80.77 | 79.76 |
| ⋮ | |||
| 5000 | 98.48 | 80.34 | 79.54 |
| ⋮ | |||
| 10,000 | 98.34 | 79.18 | 78.24 |
| ⋮ | |||
| 12,000 | 98.36 | 79.42 | 78.51 |
| ⋮ | |||
| 15,000 | 98.43 | 79.44 | 78.53 |
| ⋮ | |||
| 18,000 | 98.36 | 79.49 | 78.59 |
| ⋮ | |||
| 22,000 | 98.35 | 79.41 | 78.51 |
Publisher’s Note: MDPI stays neutral with regard to jurisdictional claims in published maps and institutional affiliations. |
© 2022 by the authors. Licensee MDPI, Basel, Switzerland. This article is an open access article distributed under the terms and conditions of the Creative Commons Attribution (CC BY) license (https://creativecommons.org/licenses/by/4.0/).
Share and Cite
Liu, L.; Tian, B. Comprehensive Engineering Frequency Domain Analysis and Vibration Suppression of Flexible Aircraft Based on Active Disturbance Rejection Controller. Sensors 2022, 22, 6207. https://doi.org/10.3390/s22166207
Liu L, Tian B. Comprehensive Engineering Frequency Domain Analysis and Vibration Suppression of Flexible Aircraft Based on Active Disturbance Rejection Controller. Sensors. 2022; 22(16):6207. https://doi.org/10.3390/s22166207
Chicago/Turabian StyleLiu, Litao, and Bingwei Tian. 2022. "Comprehensive Engineering Frequency Domain Analysis and Vibration Suppression of Flexible Aircraft Based on Active Disturbance Rejection Controller" Sensors 22, no. 16: 6207. https://doi.org/10.3390/s22166207
APA StyleLiu, L., & Tian, B. (2022). Comprehensive Engineering Frequency Domain Analysis and Vibration Suppression of Flexible Aircraft Based on Active Disturbance Rejection Controller. Sensors, 22(16), 6207. https://doi.org/10.3390/s22166207

