Towards Estimating Arterial Diameter Using Bioimpedance Spectroscopy: A Computational Simulation and Tissue Phantom Analysis
Abstract
1. Introduction
2. Materials and Methods
2.1. Mathematical Modelling
2.1.1. Wrist Tissue Electrical Modelling
2.1.2. Modelling Blood Flow in the Wrist
2.2. Computational Simulation
2.2.1. 3D Geometry
2.2.2. Simulation Setup
2.2.3. Data Processing
2.3. Tissue Phantom Experiment
2.3.1. Phantom Mould Design and Fabrication
2.3.2. Selection of Tissue-Mimicking Materials
- 1.
- Surrounding tissue simulant
- 2.
- Blood simulant
2.3.3. Human Wrist Phantom Fabrication
- 1.
- Assemble and seal the printed mould
- 2.
- Casting the surrounding tissue simulant
- 3.
- Connecting the pumping mechanism
2.3.4. Phantom Testing Methodology
2.3.5. Data Processing
3. Results
3.1. Computational Simulation
3.1.1. Current Density Distribution and Electric Field
3.1.2. Simulated Basal Resistance
3.1.3. Simulated Resistance Changes with Different Arterial Diameters
3.1.4. Estimated Arterial Diameters
3.2. Tissue Phantom Experiment
3.2.1. The Properties of Selected Simulants
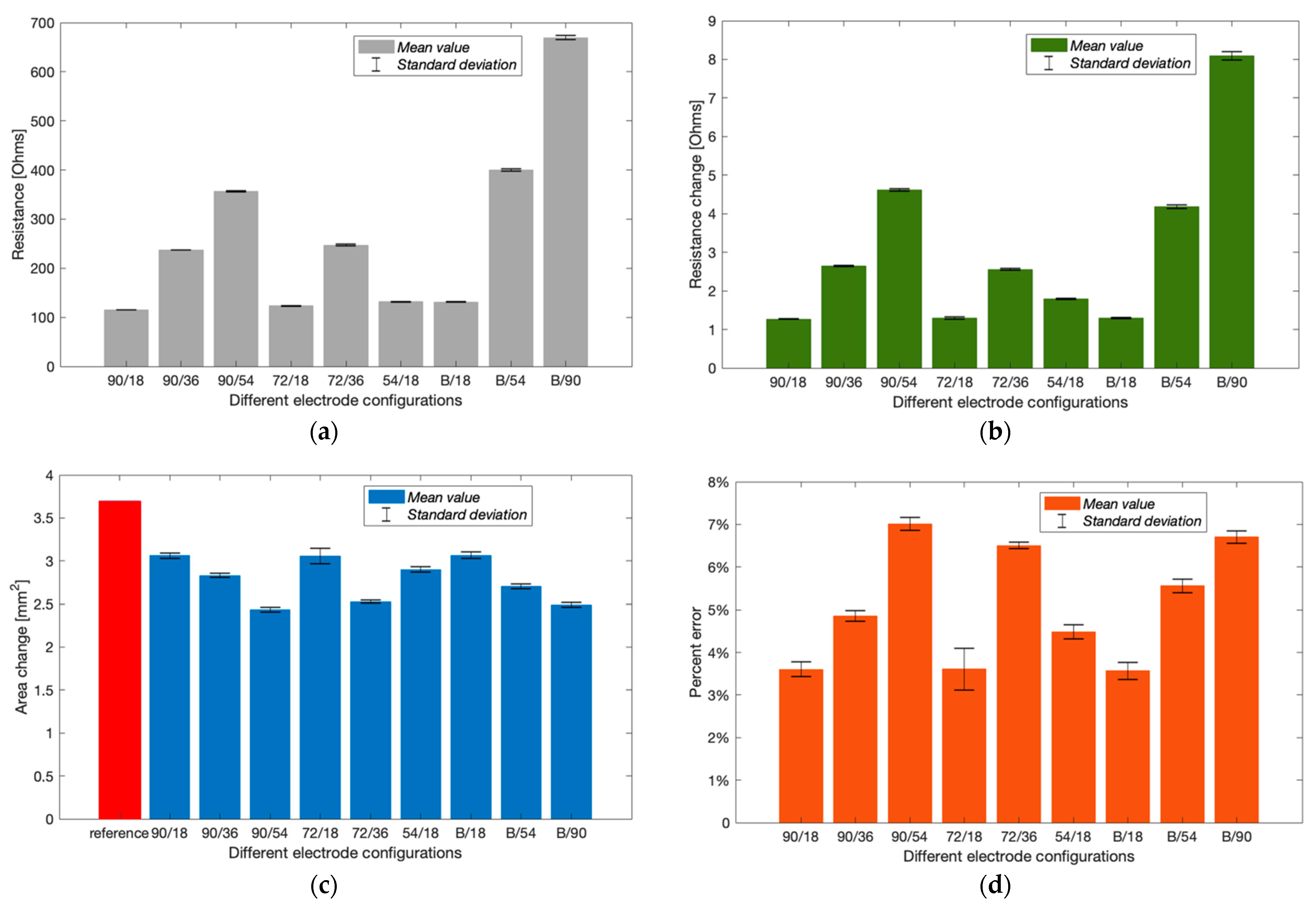
3.2.2. Group A: Different Electrode Configurations
3.2.3. Group B: Potential Sources of Errors
4. Discussion
4.1. The Contribution of Different Tissues to Impedance Measurement
4.2. The Effects of Electrode Spacings
4.3. The Effects of Electrode Types
4.4. Potential Sources of Errors
- The increased errors in the larger deformation range were due to the reduced reliability of the mathematical model, which assumed a parallel flow of current with blood.
- Higher frequencies usually showed poor estimation due to distinct electrical responses of the wrist phantom to different frequencies and possible measurement errors.
- The conductivity of the gelatine-based phantom was sensitive to temperature and moisture content, which might have impacted the impedance reading.
- The effects of electrode–phantom surface polarisation from the measured impedance were not eliminated; thereby, a higher ‘measured’ resistance led to under-estimating the cross-sectional area change, which is also desired to be eliminated in the actual BIM with human body.
- The reference arterial diameters were also calculated instead of measured. The unnoticed presence of air in the artery-pump system or any faulty sealing at the junction could lead to an erroneous calculation of cross-sectional area change.
4.5. Limitations and Future Works
5. Conclusions
Author Contributions
Funding
Institutional Review Board Statement
Informed Consent Statement
Data Availability Statement
Acknowledgments
Conflicts of Interest
References
- Anand, G.; Yu, Y.; Lowe, A.; Kalra, A. Bioimpedance analysis as a tool for hemodynamic monitoring: Overview, methods and challenges. Physiol. Meas. 2021, 42, 03TR01. [Google Scholar] [CrossRef] [PubMed]
- Min, M.; Annus, P.; Koiv, H.; Krivosei, A.; Uuetoa, T.; Lamp, J. Bioimpedance sensing—A viable alternative for tonometry in non-invasive assessment of central aortic pressure. In Proceedings of the 2017 IEEE International Symposium on Medical Measurements and Applications (MeMeA), Rochester, MN, USA, 7–10 May 2017; pp. 373–378. [Google Scholar]
- Sel, K.; Osman, D.; Jafari, R. Non-Invasive Cardiac and Respiratory Activity Assessment from Various Human Body Locations Using Bioimpedance. IEEE Open J. Eng. Med. Biol. 2021, 2, 210–217. [Google Scholar] [CrossRef] [PubMed]
- Cho, M.; Kim, J.; Cho, S.H. A bio-impedance measurement system for portable monitoring of heart rate and pulse wave velocity using small body area. In Proceedings of the 2009 IEEE International Symposium on Circuits and Systems (ISCAS), Taipei, Taiwan, 24–27 May 2009; pp. 3106–3109. [Google Scholar]
- Liebman, F.M.; Bagno, S. The behavior of the red blood cells in flowing blood which accounts for conductivity changes. Biomed. Sci. Instrum. 1968, 4, 25–35. [Google Scholar] [PubMed]
- Gaw, R.; Cornish, B.H.; Thomas, B.J. The Electrical Impedance of Pulsatile Blood Flowing Through Rigid Tubes: A Theoretical Investigation. IEEE Trans. Biomed. Eng. 2008, 55, 721–727. [Google Scholar] [CrossRef] [PubMed]
- Mugeb, A.-H.; Larvushkin, A. Model-based Assessment of Brachial Artery Diameter from Electrical Impedance Measurement. In Proceedings of the 2021 Ural Symposium on Biomedical Engineering, Radioelectronics and Information Technology (USBEREIT), Yekaterinburg, Russia, 13–14 May 2021; pp. 98–101. [Google Scholar]
- Al-Harosh, M.; Yangirov, M.; Kolesnikov, D.; Shchukin, S. Bio-Impedance Sensor for Real-Time Artery Diameter Waveform Assessment. Sensors 2021, 21, 8438. [Google Scholar] [CrossRef] [PubMed]
- Huynh, T.H.; Jafari, R.; Chung, W.-Y. A Robust Bioimpedance Structure for Smartwatch-Based Blood Pressure Monitoring. Sensors 2018, 18, 2095. [Google Scholar] [CrossRef]
- Huynh, T.H.; Jafari, R.; Chung, W.-Y. Noninvasive Cuffless Blood Pressure Estimation Using Pulse Transit Time and Impedance Plethysmography. IEEE Trans. Biomed. Eng. 2018, 66, 967–976. [Google Scholar] [CrossRef]
- Rachim, V.P.; Huynh, T.H.; Chung, W.-Y. Wrist Photo-Plethysmography and Bio-Impedance Sensor for Cuff-Less Blood Pressure Monitoring. In Proceedings of the IEEE 2018 Sensors, New Delhi, India, 28–31 October 2018; pp. 1–4. [Google Scholar] [CrossRef]
- Ibrahim, B.; Akbari, A.; Jafari, R. A novel method for pulse transit time estimation using wrist bio-impedance sensing based on a regression model. In Proceedings of the 2017 IEEE Biomedical Circuits and Systems Conference (BioCAS), Torino, Italy, 19–21 October 2017; pp. 1–4. [Google Scholar] [CrossRef]
- Wang, T.-W.; Chen, W.-X.; Chu, H.-W.; Lin, S.-F. Single-Channel Bioimpedance Measurement for Wearable Continuous Blood Pressure Monitoring. IEEE Trans. Instrum. Meas. 2020, 70, 1–9. [Google Scholar] [CrossRef]
- Ibrahim, B.; Jafari, R. Cuffless blood pressure monitoring from a wristband with calibration-free algorithms for sensing location based on bio-impedance sensor array and autoencoder. Sci. Rep. 2022, 12, 319. [Google Scholar] [CrossRef]
- Metshein, M.; Kõiv, H.; Annus, P.; Min, M. Electrode Optimization for Bioimpedance Based Central Aortic Blood Pressure Estimation. In Proceedings of the World Congress on Medical Physics and Biomedical Engineering 2018, Prague, Czech Republic, 3–8 June 2018; Lhotska, L., Sukupova, L., Lacković, I., Ibbott, G.S., Eds.; Springer: Singapore, 2019; Volume 68/2, pp. 497–501. [Google Scholar]
- Ibrahim, B.; Hall, D.A.; Jafari, R. Pulse Wave Modeling Using Bio-Impedance Simulation Platform Based on a 3D Time-Varying Circuit Model. IEEE Trans. Biomed. Circuits Syst. 2021, 15, 143–158. [Google Scholar] [CrossRef]
- Pesti, K.; Metshein, M.; Annus, P.; Koiv, H.; Min, M. Electrode Placement Strategies for the Measurement of Radial Artery Bioimpedance: Simulations and Experiments. IEEE Trans. Instrum. Meas. 2020, 70, 1–10. [Google Scholar] [CrossRef]
- Anand, G.; Lowe, A. Investigating Electrical Impedance Spectroscopy for Estimating Blood Flow-Induced Variations in Human Forearm. Sensors 2020, 20, 5333. [Google Scholar] [CrossRef] [PubMed]
- De Sitter, A.; Verdaasdonk, R.M.; Faes, T.J.C. Do mathematical model studies settle the controversy on the origin of cardiac synchronous trans-thoracic electrical impedance variations? A systematic review. Physiol. Meas. 2016, 37, R88–R108. [Google Scholar] [CrossRef] [PubMed]
- Nyboer, J.; Kreider, M.M.; Hannapel, L. Electrical Impedance Plethysmography: A Physical and Physiologic Approach to Peripheral Vascular Study. Circulation 1950, 2, 811–821. [Google Scholar] [CrossRef]
- Maughan, R.J.; Watson, J.S.; Weir, J. The relative proportions of fat, muscle and bone in the normal human forearm as determined by computed tomography. Clin. Sci. 1984, 66, 683–689. [Google Scholar] [CrossRef]
- Kim, J.U.; Lee, Y.J.; Lee, J.; Kim, J.Y. Differences in the Properties of the Radial Artery between Cun, Guan, Chi, and Nearby Segments Using Ultrasonographic Imaging: A Pilot Study on Arterial Depth, Diameter, and Blood Flow. Evid. Based Complement. Altern. Med. 2015, 2015, 381634. [Google Scholar] [CrossRef]
- Grampp, S.; Majumdar, S.; Jergas, M.; Lang, P.; Gies, A.; Genant, H.K. MRI of bone marrow in the distal radius: In vivo precision of effective transverse relaxation times. Eur. Radiol. 1995, 5, 43–48. [Google Scholar] [CrossRef]
- Toomayan, G.A.; Robertson, F.; Major, N.M.; Brigman, B.E. Upper extremity compartmental anatomy: Clinical relevance to radiologists. Skelet. Radiol. 2006, 35, 195–201. [Google Scholar] [CrossRef]
- Weinberg, L.; Spanger, M.; Tan, C.; Nikfarjam, M. Postoperative wristwatch-induced compressive neuropathy of the hand: A case report. J. Med. Case Rep. 2015, 9, 141. [Google Scholar] [CrossRef][Green Version]
- Baum, T.; Kutscher, M.; Müller, D.; Räth, C.; Eckstein, F.; Lochmüller, E.-M.; Rummeny, E.J.; Link, T.M.; Bauer, J.S. Cortical and trabecular bone structure analysis at the distal radius—Prediction of biomechanical strength by DXA and MRI. J. Bone Miner. Metab. 2012, 31, 212–221. [Google Scholar] [CrossRef]
- De Rigal, J.; Escoffier, C.; Querleux, B.; Faivre, B.; Agache, P.; Lévêque, J.-L. Assessment of Aging of the Human Skin by In Vivo Ultrasonic Imaging. J. Investig. Dermatol. 1989, 93, 621–625. [Google Scholar] [CrossRef] [PubMed]
- Ashraf, T.; Panhwar, Z.; Habib, S.; Memon, M.A.; Shamsi, F.; Arif, J. Size of radial and ulnar artery in local population. J. Pak. Med. Assoc. 2010, 60, 817. [Google Scholar] [PubMed]
- Beniwal, S.; Bhargava, K.; Kausik, S.K. Size of distal radial and distal ulnar arteries in adults of southern Rajasthan and their implications for percutaneous coronary interventions. Indian Heart J. 2014, 66, 506–509. [Google Scholar] [CrossRef] [PubMed]
- Dharma, S.; Kedev, S.; Patel, T.; Rao, S.V.; Bertrand, O.F.; Gilchrist, I.C. Radial artery diameter does not correlate with body mass index: A duplex ultrasound analysis of 1706 patients undergoing trans-radial catheterization at three experienced radial centers. Int. J. Cardiol. 2017, 228, 169–172. [Google Scholar] [CrossRef]
- Karki, B.; Bhattarai, M.; Bajracharya, M.; Karki, S.; Devkota, A. Correlation of neck and wrist circumference with waist circumference. J. Adv. Intern. Med. 2015, 3, 47–51. [Google Scholar] [CrossRef]
- Gabriel, C.; Gabriel, S.; Corthout, E. The dielectric properties of biological tissues: I. Literature survey. Phys. Med. Biol. 1996, 41, 2231–2249. [Google Scholar] [CrossRef]
- Gabriel, S.; Lau, R.W.; Gabriel, C. The dielectric properties of biological tissues: II. Measurements in the frequency range 10 Hz to 20 GHz. Phys. Med. Biol. 1996, 41, 2251–2269. [Google Scholar] [CrossRef]
- Gabriel, S.; Lau, R.W.; Gabriel, C. The dielectric properties of biological tissues: III. Parametric models for the dielectric spectrum of tissues. Phys. Med. Biol. 1996, 41, 2271–2293. [Google Scholar] [CrossRef]
- Yu, Y.; Lowe, A.; Anand, G.; Kalra, A. Tissue phantom to mimic the dielectric properties of human muscle within 20 Hz and 100 kHz for biopotential sensing applications. In Proceedings of the 41st Annual International Conference of the IEEE Engineering in Medicine and Biology Society (EMBC), Berlin, Germany, 23–27 July 2019; pp. 6490–6493. [Google Scholar] [CrossRef]
- Anand, G.; Lowe, A.; Al-Jumaily, A. Tissue phantoms to mimic the dielectric properties of human forearm section for multi-frequency bioimpedance analysis at low frequencies. Mater. Sci. Eng. C 2018, 96, 496–508. [Google Scholar] [CrossRef]
- Gabriel, C.; Peyman, A.; Grant, E.H. Electrical conductivity of tissue at frequencies below 1 MHz. Phys. Med. Biol. 2009, 54, 4863–4878. [Google Scholar] [CrossRef]
- Peyman, A.; Gabriel, C.; Grant, E. Complex permittivity of sodium chloride solutions at microwave frequencies. Bioelectromagnetics 2007, 28, 264–274. [Google Scholar] [CrossRef] [PubMed]
- Arquilla, K.; Webb, A.K.; Anderson, A.P. Textile Electrocardiogram (ECG) Electrodes for Wearable Health Monitoring. Sensors 2020, 20, 1013. [Google Scholar] [CrossRef] [PubMed]
- Corchia, L.; Monti, G.; Raheli, F.; Candelieri, G.; Tarricone, L. Dry Textile Electrodes for Wearable Bio-Impedance Analyzers. IEEE Sens. J. 2020, 20, 6139–6147. [Google Scholar] [CrossRef]
- Fu, Y.; Zhao, J.; Dong, Y.; Wang, X. Dry Electrodes for Human Bioelectrical Signal Monitoring. Sensors 2020, 20, 3651. [Google Scholar] [CrossRef]
- Gaubert, V.; Gidik, H.; Bodart, N.; Koncar, V. Investigating the Impact of Washing Cycles on Silver-Plated Textile Electrodes: A Complete Study. Sensors 2020, 20, 1739. [Google Scholar] [CrossRef]
- Nigusse, A.; Malengier, B.; Mengistie, D.; Tseghai, G.; Van Langenhove, L. Development of Washable Silver Printed Textile Electrodes for Long-Term ECG Monitoring. Sensors 2020, 20, 6233. [Google Scholar] [CrossRef]
- Hernández-Balaguera, E.; López-Dolado, E.; Polo, J.L. Obtaining electrical equivalent circuits of biological tissues using the current interruption method, circuit theory and fractional calculus. RSC Adv. 2016, 6, 22312–22319. [Google Scholar] [CrossRef]
- Hernández-Balaguera, E.; Vara, H.; Polo, J.L. Identification of Capacitance Distribution in Neuronal Membranes from a Fractional-Order Electrical Circuit and Whole-Cell Patch-Clamped Cells. J. Electrochem. Soc. 2018, 165, G3104–G3111. [Google Scholar] [CrossRef]
- Gemignani, V.; Faita, F.; Ghiadoni, L.; Poggianti, E.; Demi, M. A System for Real-Time Measurement of the Brachial Artery Diameter in B-Mode Ultrasound Images. IEEE Trans. Med. Imaging 2007, 26, 393–404. [Google Scholar] [CrossRef]
- Nabeel, P.M.; Kiran, V.R.; Joseph, J.; Abhidev, V.V.; Sivaprakasam, M. Local Pulse Wave Velocity: Theory, Methods, Advancements, and Clinical Applications. IEEE Rev. Biomed. Eng. 2019, 13, 74–112. [Google Scholar] [CrossRef]
















| Stages | 3D Models | Tissue Domains | Current Carrying Electrodes (Platinum) | ||||
|---|---|---|---|---|---|---|---|
| Fat | Muscle | Blood | Skin | Bones | |||
| 1 | Wrist model 1 | ✓ | ✓ | ✓ | Spot electrode = 90 mm, 70 mm and 50 mm) Band electrode = 90 mm, 70 mm and 50 mm) | ||
| 2 | Wrist model 2 | ✓ | ✓ | ✓ | ✓ | Band electrode = 90 mm) | |
| 3 | Wrist model 3 | ✓ | ✓ | ✓ | ✓ | ✓ | Band electrode = 90 mm) |
| NaCl Samples | (S/m) SD) | Reference Values | |
|---|---|---|---|
| Gabriel et al., 2009 [37] (Four Electrodes) | Peyman et al., 2007 [38] (Open-Ended Coaxial Probe) | ||
| 0.03 M | 0.0017 | 0.276 | 0.281 |
| 0.05 M | 0.0071 | 0.477 | 0.466 |
| 0.15 M | 0.0280 | 1.392 | 1.375 |
| Electrode Methods | Electrode Configurations | ||||||
|---|---|---|---|---|---|---|---|
| Locations of CC Electrodes | Spacing between CC Electrodes | Locations of PU Electrodes | Spacing between PU Electrodes | Assigned Codes | |||
| Conventional 4-spot electrodes method | 1 | 6 | 90 mm | 3 | 4 | 18 mm | 90/18 |
| 1 | 6 | 90 mm | 2 | 4 | 36 mm | 90/36 | |
| 1 | 6 | 90 mm | 2 | 5 | 54 mm | 90/54 | |
| 1 | 5 | 72 mm | 3 | 4 | 18 mm | 72/18 | |
| 1 | 5 | 72 mm | 2 | 4 | 36 mm | 72/36 | |
| 1 | 4 | 54 mm | 2 | 3 | 18 mm | 54/18 | |
| Band electrodes method | Band electrodes | 126 mm | 1 | 6 | 90 mm | B/90 | |
| Band electrodes | 126 mm | 2 | 5 | 54 mm | B/54 | ||
| Band electrodes | 126 mm | 3 | 4 | 18 mm | B/18 | ||
| Test Groups | Pump Times | Applied Electrode Configurations | Initial Arterial Diameter (d0) | The Volume of Constricted Blood (ΔV) | Reference Arterial Diameter (dr) | ||
|---|---|---|---|---|---|---|---|
| A | 1 | 90/18 90/36 90/54 | 72/18 72/36 54/18 | B/18 B/54 B/90 | 3.98 mm | 647.83 mm3 | 3.34 mm |
| B | 1 | B/18 | 80.98 mm3 | 3.91 mm | |||
| 2 | 161.96 mm3 | 3.83 mm | |||||
| 3 | 242.94 mm3 | 3.75 mm | |||||
| 4 | 323.92 mm3 | 3.67 mm | |||||
| 5 | 404.90 mm3 | 3.59 mm | |||||
| 6 | 485.88 mm3 | 3.51 mm | |||||
| 7 | 566.86 mm3 | 3.42 mm | |||||
| 8 | 647.84 mm3 | 3.34 mm | |||||
| 9 | 728.82 mm3 | 3.25 mm | |||||
| 10 | 809.80 mm3 | 3.15 mm | |||||
Publisher’s Note: MDPI stays neutral with regard to jurisdictional claims in published maps and institutional affiliations. |
© 2022 by the authors. Licensee MDPI, Basel, Switzerland. This article is an open access article distributed under the terms and conditions of the Creative Commons Attribution (CC BY) license (https://creativecommons.org/licenses/by/4.0/).
Share and Cite
Yu, Y.; Anand, G.; Lowe, A.; Zhang, H.; Kalra, A. Towards Estimating Arterial Diameter Using Bioimpedance Spectroscopy: A Computational Simulation and Tissue Phantom Analysis. Sensors 2022, 22, 4736. https://doi.org/10.3390/s22134736
Yu Y, Anand G, Lowe A, Zhang H, Kalra A. Towards Estimating Arterial Diameter Using Bioimpedance Spectroscopy: A Computational Simulation and Tissue Phantom Analysis. Sensors. 2022; 22(13):4736. https://doi.org/10.3390/s22134736
Chicago/Turabian StyleYu, Yang, Gautam Anand, Andrew Lowe, Huiyang Zhang, and Anubha Kalra. 2022. "Towards Estimating Arterial Diameter Using Bioimpedance Spectroscopy: A Computational Simulation and Tissue Phantom Analysis" Sensors 22, no. 13: 4736. https://doi.org/10.3390/s22134736
APA StyleYu, Y., Anand, G., Lowe, A., Zhang, H., & Kalra, A. (2022). Towards Estimating Arterial Diameter Using Bioimpedance Spectroscopy: A Computational Simulation and Tissue Phantom Analysis. Sensors, 22(13), 4736. https://doi.org/10.3390/s22134736

