A Long Short-Term Memory Network for Plasma Diagnosis from Langmuir Probe Data
Abstract
:1. Introduction
2. Traditional Diagnostic Theory and Problems
- Determine Vf and Vp. Vf is the point where the current of the I–V characteristic curve is 0. At this point, Ie is the same as Ii, and the direction is opposite. Vp is the potential of the plasma relative to the environment, which is the inflexion point of the I–V characteristic curve, that is, the dividing point between the electron retardation and the electron saturation region.
- Obtain saturated ion current at . Theoretically, the impact of Ie on ILP at this point is less than 1%, which can be ignored. Then, the Ie is derived by subtracting the ion saturation current from ILP.
- Te is derived by logarithmic fitting of a section in the electron retardation curve. It can be seen from Equation (1) that there is an exponential relationship between Ie and VB in the electron retardation region. Find the logarithm of Equation (1) and simplify it to obtain the following equation.where , . We can obtain Te from the slope of Equation (6).
- Derive Ne from Equation (7). When VB = Vp, Ie = Ie0, bring in the calculated Te and obtain Ne.
2.1. Contaminated Layer on the Probe Surface
2.2. Underdense Plasma Diagnosis
- Ne and Te can be obtained by using the relatively rough I–V characteristic curve;
- Plasma diagnosis can be realized by using the data collected by a certain degree of contaminated Langmuir probe;
- It can realize low temperature and low-density plasma diagnosis.
3. Machine Learning
3.1. Principle of LSTM
3.2. Evaluation Indicators
4. Experimental Setup and Results
4.1. Experiment Setup and Steps
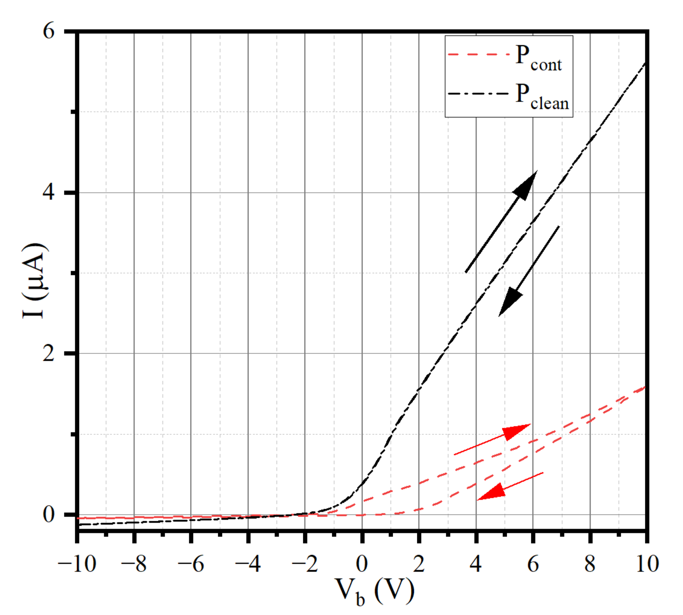
- Expose two identical materials and specifications of the Langmuir probe (Pcont and Pclean) to the humid atmosphere for more than 24 h;
- Install Pcont and Pclean on the two-dimensional platform in the vacuum chamber and mark the distance between them and the central position;
- Heat the filament and charge argon to make the discharge process reach a steady state. Apply −200 V to Pclean for ten minutes, and remove the contaminated layer on the probe surface by heating and attracting electrons to bombard the probe surface;
- Control the two-dimensional platform to move the two probes to the central position to collect the I–V characteristic curve, and ensure that the time interval between the two probe curves is within 1 min;
- The two groups of collected data are diagnosed and analyzed by the traditional diagnosis method and LSTM network, respectively, to compare the results.
4.2. Data Preprocessing
4.3. Results
4.3.1. Network Parameter Setting
4.3.2. Test Results and Analysis
4.3.3. Effect of Eliminating Contamination
5. Conclusions
Author Contributions
Funding
Institutional Review Board Statement
Informed Consent Statement
Data Availability Statement
Acknowledgments
Conflicts of Interest
References
- Boggess, R.L.; Brace, L.H.; Spencer, N.W. Langmuir Probe Measurements in the Ionosphere. J. Geophys. Res. 1959, 64, 1627–1630. [Google Scholar] [CrossRef]
- Sturges, D.J. An evaluation of ionospheric probe performance—I. Evidence of contamination and clean-up of probe surfaces. Planet Space Sci. 1973, 21, 1029–1047. [Google Scholar] [CrossRef]
- Hoang, H.; Røed, K.; Bekkeng, T.A.; Moen, J.I.; Spicher, A.; Clausen, L.B.N.; Miloch, W.J.; Trondsen, E.; Pedersen, A. A study of data analysis techniques for the multi-needle Langmuir probe. Meas. Sci. Technol. 2018, 29, 65906. [Google Scholar] [CrossRef]
- Hoang, H.; Clausen, L.B.N.; Røed, K.; Bekkeng, T.A.; Trondsen, E.; Lybekk, B.; Strøm, H.; Bang-Hauge, D.M.; Pedersen, A.; Spicher, A.; et al. The Multi-Needle Langmuir Probe System on Board NorSat-1. Space Sci. Rev. 2018, 214, 75. [Google Scholar] [CrossRef] [Green Version]
- Bekkeng, T.A.; Helgeby, E.S.; Pedersen, A.; Trondsen, E.; Lindem, T.; Moen, J.I. Multi-Needle Langmuir Probe System for Electron Density Measurements and Active Spacecraft Potential Control on CubeSats. IEEE Trans. Aerosp. Electron. Syst. 2019, 55, 2951–2964. [Google Scholar] [CrossRef]
- Hoang, H.; Røed, K.; Bekkeng, T.A.; Moen, J.I.; Clausen, L.B.N.; Trondsen, E.; Lybekk, B.; Strøm, H.; Bang-Hauge, D.M.; Pedersen, A.; et al. The Multi-needle Langmuir Probe Instrument for QB50 Mission: Case Studies of Ex-Alta 1 and Hoopoe Satellites. Space Sci. Rev. 2019, 215, 21. [Google Scholar] [CrossRef]
- Duann, Y.; Chang, L.C.; Chao, C.-K.; Chiu, Y.-C.; Tsai-Lin, R.; Tai, T.-Y.; Luo, W.-H.; Liao, C.-T.; Liu, H.-T.; Chung, C.-J.; et al. IDEASSat: A 3U CubeSat mission for ionospheric science. Adv. Space Res. 2020, 66, 116–134. [Google Scholar] [CrossRef]
- Mott-Smith, H.M.; Langmuir, I. The Theory of Collectors in Gaseous Discharges. Phys. Rev. 1926, 28, 727–763. [Google Scholar] [CrossRef]
- Bernstein, I.B.; Rabinowitz, I.N. Theory of Electrostatic Probes in a Low-Density Plasma. Phys. Fluids 1959, 2, 112. [Google Scholar] [CrossRef]
- Jiang, S.-B.; Yeh, T.-L.; Liu, J.-Y.; Chao, C.-K.; Chang, L.C.; Chen, L.-W.; Chou, C.-J.; Chi, Y.-J.; Chen, Y.-L.; Chiang, C.-K. New algorithms to estimate electron temperature and electron density with contaminated DC Langmuir probe onboard CubeSat. Adv. Space Res. 2020, 66, 148–161. [Google Scholar] [CrossRef]
- Winkler, C.; Strele, D.; Tscholl, S.; Schrittwieser, R. On the contamination of Langmuir probe surfaces in a potassium plasma. Plasma Phys. Control. Fusion 2000, 42, 217–223. [Google Scholar] [CrossRef]
- Van Berkel, W.P.J. Einflusz von änderungen des sondenzustandes auf sondencharakteristiken nach langmuir. Physica 1938, 5, 230–240. [Google Scholar] [CrossRef]
- Hirt, M.; Steigies, C.T.; Piel, A. Plasma diagnostics with Langmuir probes in the equatorial ionosphere: II. Evaluation of DEOS flight F06. J. Phys. D-Appl. Phys. 2001, 34, 2650–2657. [Google Scholar] [CrossRef]
- Wehner, G.; Medicus, G. Reliability of Probe Measurements in Hot Cathode Gas Diodes. J. Appl. Phys. 1952, 23, 1035–1046. [Google Scholar] [CrossRef]
- Oyama, K.I.; Hirao, K. Application of a glass-sealed Langmuir probe to ionosphere study. Rev. Sci. Instrum. 1976, 47, 101–107. [Google Scholar] [CrossRef]
- Amatucci, W.E.; Schuck, P.W.; Walker, D.N.; Kintner, P.M.; Powell, S.; Holback, B.; Leonhardt, D. Contamination-free sounding rocket Langmuir probe. Rev. Sci. Instrum. 2001, 72, 2052–2057. [Google Scholar] [CrossRef]
- Szuszczewicz, E.P.; Holmes, J.C. Surface contamination of active electrodes in plasmas: Distortion of conventional Langmuir probe measurements. J. Appl. Phys. 1975, 46, 5134–5139. [Google Scholar] [CrossRef]
- Kawaguchi, S.; Takahashi, K.; Ohkama, H.; Satoh, K. Deep learning for solving the Boltzmann equation of electrons in weakly ionized plasma. Plasma Sources Sci. Technol. 2020, 29, 25021. [Google Scholar] [CrossRef]
- Churchill, R.M.; Tobias, B.; Zhu, Y. Deep convolutional neural networks for multi-scale time-series classification and application to tokamak disruption prediction using raw, high temporal resolution diagnostic data. Phys. Plasmas 2020, 27, 62510. [Google Scholar] [CrossRef]
- Guo, B.H.; Chen, D.L.; Shen, B.; Rea, C.; Granetz, R.S.; Zeng, L.; Hu, W.H.; Qian, J.P.; Sun, Y.W.; Xiao, B.J. Disruption prediction on EAST tokamak using a deep learning algorithm. Plasma Phys. Control. Fusion 2021, 63, 115007. [Google Scholar] [CrossRef]
- Ding, Z.; Yao, J.; Wang, Y.; Yuan, C.; Zhou, Z.; Kudryavtsev, A.A.; Gao, R.; Jia, J. Machine learning combined with Langmuir probe measurements for diagnosis of dusty plasma of a positive column. Plasma Sci. Technol. 2021, 23, 95403. [Google Scholar] [CrossRef]
- Ding, Z.; Guan, Q.; Yuan, C.; Zhou, Z.; Qu, Z. A method of electron density of positive column diagnosis—Combining machine learning and Langmuir probe. AIP Adv. 2021, 11, 45028. [Google Scholar] [CrossRef]
- Wang, J.; Zhang, Q.H.; Du, Q.F.; Xing, Z.Y. Nonlinear Micro-current Acquisition Device Applied to Onboard Langmuir Probe Instrument. Sens. Mater. 2021, 33, 4157–4172. [Google Scholar] [CrossRef]
- B2900A Series Precision Source/Measure Unit. Available online: https://www.keysight.com.cn/cn/zh/assets/7018-02794/data-sheets/5990-7009.pdf (accessed on 6 April 2022).
- Ji, S.; Han, X.; Hou, Y.; Song, Y.; Du, Q. Remaining Useful Life Prediction of Airplane Engine Based on PCA-BLSTM. Sensors 2020, 20, 4537. [Google Scholar] [CrossRef]











| Vp | Ie0 | Ne | Te | |
|---|---|---|---|---|
| Pclean-Upward | 1.0 V | 9.8014 × 10−7 A | 2.1040 × 1012 m−3 | 0.7794 eV |
| Pclean-Downward | 1.0 V | 9.6144 × 10−7 A | 2.0742 × 1012 m−3 | 0.7717 eV |
| Pcont-Upward | 0 V | 1.6280 × 10−7 A | 5.1256 × 1011 m−3 | 0.3623 eV |
| Pcont-Downward | 3.2 V | 2.4366 × 10−7 A | 5.7090 × 1011 m−3 | 0.6543 eV |
| η | 0.0001 | 0.00005 | 0.00003 | 0.00001 | 0.000005 |
|---|---|---|---|---|---|
| RMSE | 0.00507 | 0.00511 | 0.00511 | 0.00582 | 0.00610 |
| MAPE | 25.61891 | 23.37818 | 11.50008 | 10.64523 | 13.30315 |
| 1 | 2 | 3 | 4 | 5 | 6 | 7 | |Mean| | ||
|---|---|---|---|---|---|---|---|---|---|
| Ne | Traditional | −55.81% | −14.28% | −29.53% | −56.03% | −41.95% | −41.98% | −42.75% | 40.33% |
| LSTM | −8.67% | −2.23% | −3.42% | −15.96% | 14.46% | −18.54% | −11.57% | 10.69% | |
| Te | Traditional | 8.78% | 17.43% | 5.70% | 12.92% | 4.87% | 40.77% | 13.20% | 14.81% |
| LSTM | 1.46% | −7.20% | −9.98% | −1.80% | −0.27% | 14.54% | 0.11% | 5.05% |
Publisher’s Note: MDPI stays neutral with regard to jurisdictional claims in published maps and institutional affiliations. |
© 2022 by the authors. Licensee MDPI, Basel, Switzerland. This article is an open access article distributed under the terms and conditions of the Creative Commons Attribution (CC BY) license (https://creativecommons.org/licenses/by/4.0/).
Share and Cite
Wang, J.; Ji, W.; Du, Q.; Xing, Z.; Xie, X.; Zhang, Q. A Long Short-Term Memory Network for Plasma Diagnosis from Langmuir Probe Data. Sensors 2022, 22, 4281. https://doi.org/10.3390/s22114281
Wang J, Ji W, Du Q, Xing Z, Xie X, Zhang Q. A Long Short-Term Memory Network for Plasma Diagnosis from Langmuir Probe Data. Sensors. 2022; 22(11):4281. https://doi.org/10.3390/s22114281
Chicago/Turabian StyleWang, Jin, Wenzhu Ji, Qingfu Du, Zanyang Xing, Xinyao Xie, and Qinghe Zhang. 2022. "A Long Short-Term Memory Network for Plasma Diagnosis from Langmuir Probe Data" Sensors 22, no. 11: 4281. https://doi.org/10.3390/s22114281
APA StyleWang, J., Ji, W., Du, Q., Xing, Z., Xie, X., & Zhang, Q. (2022). A Long Short-Term Memory Network for Plasma Diagnosis from Langmuir Probe Data. Sensors, 22(11), 4281. https://doi.org/10.3390/s22114281

