Non-Destructive Evaluation of the Cutting Surface of Hardwood Finger Joints
Abstract
:1. Introduction
2. Materials and Methods
2.1. Wood and Finger Joint Cutter
2.2. Cutter Sharpness Levels and Surface Processing
2.3. Surface Parameters and Data Processing
2.3.1. Evaluation of Wettability
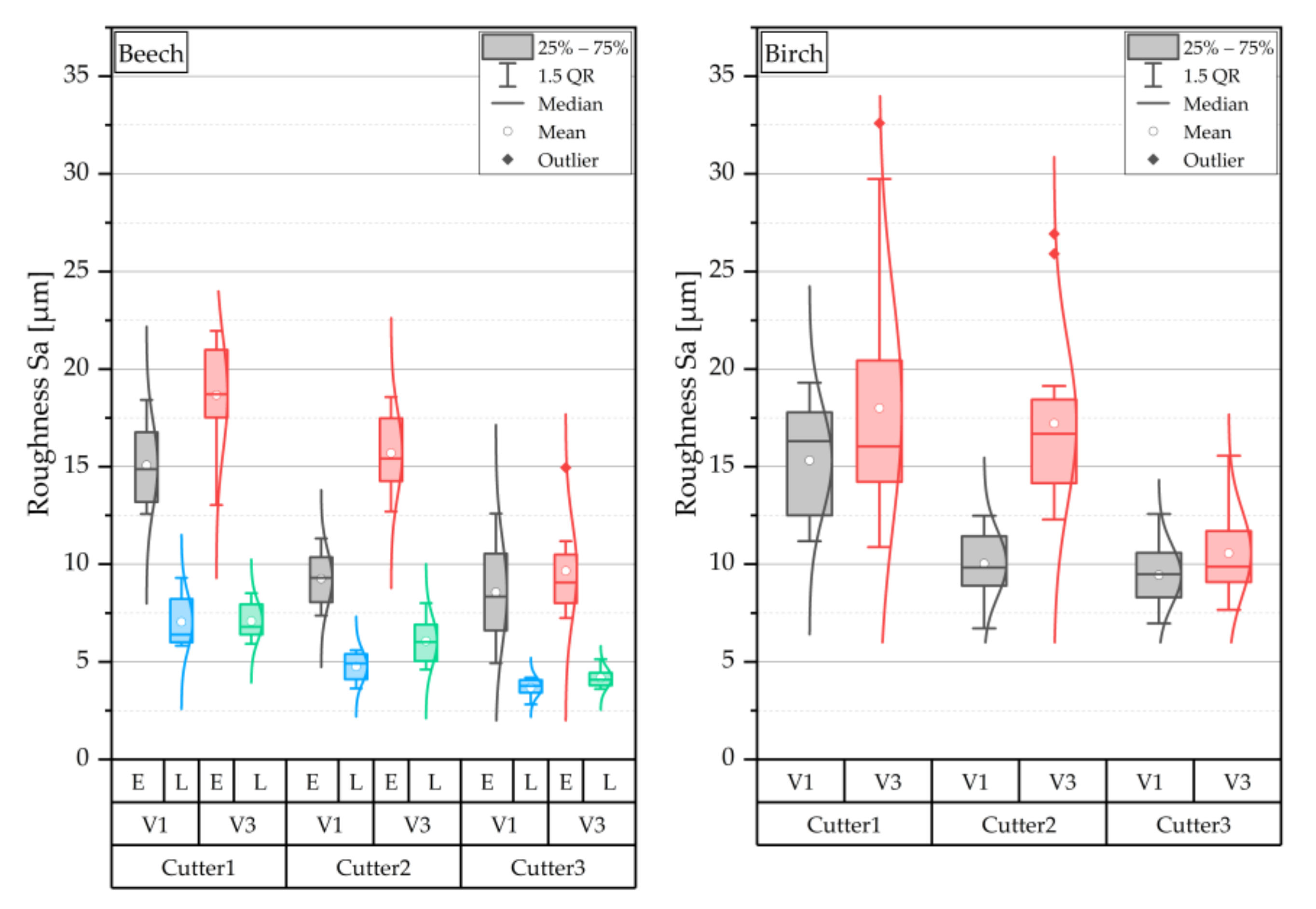
2.3.2. Evaluation of Roughness
2.3.3. Evaluation of Penetrability
2.3.4. Data Processing
- wood, cutter sharpness, feed rate, and adhesive resp. early-/latewood on the resulting surface parameters
- contact angle (wettability), roughness, and penetration depth (penetrability), a statistic test design with three Full Factorial Designs was set up (Table 2).
3. Results and Discussion
3.1. Main Effects and 2-Way Interactions
3.2. Interactions of the Surface Parameters and Results of ANOVA
4. Conclusions
- Effects were caused by the cutter sharpness, and the two investigated feed rates rather caused an enhancing effect on the surface parameters.
- The wood species (beech and birch) behaved quite similarly overall in terms of the observed effects, which was expected as they have a similar wood density and anatomy. Considering anatomical differences in the study is essential to show and compare effects and interactions.
- The cutting wood surfaces had partly opposite effects on different wetting liquids, shown with water and adhesive resin. A new finding is that higher contact angles of adhesives occur with sharper cutters.
- Further chemical investigations of the wood surface are necessary, such as FTIR and XPS. Microscopy methods with stitching function used in this study were well suited to view large observation areas in high resolution. Future studies could consider 3D microscopy providing additional information on the complex adhesive penetration into hardwoods.
- The present study provided the first examinations of the surface design of finger-jointed hardwoods and shows options for evaluating the wood surface quality after machining. The question of what a machined wood surface must look like (surface design) to enable efficient bonding needs further research attention. Further tests on bonding strength and resistance can follow up to evaluate the effect of the cutting surface on the bonding performance.
Author Contributions
Funding
Data Availability Statement
Acknowledgments
Conflicts of Interest
References
- Polley, H. Der Wald in Deutschland: Ausgewählte Ergebnisse Der Dritten Bundeswaldinventur; Korrigierte Auflage; Thünen-Institut für Waldökosysteme; Bundesministerium für Ernährung und Landwirtschaft: Juli, Germany, 2018. [Google Scholar]
- Weimar, H.; Jochem, D. Holzverwendung im Bauwesen—Eine Marktstudie im Rahmen der “Charta für Holz”; Johann Heinrich von Thünen-Institut: Braunschweig, Germany, 2013. [Google Scholar]
- Knauf, M.; Frühwald, A. Laubholz-Produktmärkte Aus Technisch-Wirtschaftlicher Und Marktstruktureller Sicht; Fachagentur Nachwachsende Rohstoffe e.V.: Gülzow-Prüzen, Germany, 2020; p. 44. [Google Scholar]
- Obernostererer, D.; Jeitler, G.; Schickhofer, G. Birke: Holzart der Zukunft im Modernen Holzbau; University of Stuttgart: Stuttgart, Germany, 2022; p. 8. [Google Scholar]
- Informationsverein Holz, e.V. Konstruktive Bauprodukte Aus Europäischen Laubhölzern; Spezial: Düsseldorf, Germany, 2017; ISBN 04462114. [Google Scholar]
- Linsenmann, P. European Hardwoods for the Building Sector (EU Hardwoods); WoodWisdom-Net Research Programme: Wien, Austria, 2016; p. 57. [Google Scholar]
- Wehrmann, W.; Torno, S. Laubholz für tragende Konstruktionen—Zusammenstellung zum Stand von Forschung und Entwicklung; Cluster—Initiative Forst und Holz in Bayern gGmbH: Freising, Germany, 2015; p. 18. [Google Scholar]
- Ehrhart, T. European Beech—Glued Laminated Timber; ETH Zurich: Zürich, Switzerland, 2019. [Google Scholar]
- Aicher, S. Geklebte Verbindungen in Holzbauprodukten Und—Tragwerken; S-WIN-Konferenz: Weinfelden, Switzerland, 2014. [Google Scholar] [CrossRef]
- Timbolmas, C.; Rescalvo, F.J.; Portela, M.; Bravo, R. Analysis of Poplar Timber Finger Joints by Means of Digital Image Correlation and Finite Element Simulation Subjected to Tension Loading. Eur. J. Wood Prod. 2022, 80, 1–13. [Google Scholar] [CrossRef]
- Krackler, V.; Keunecke, D.; Niemz, P. Verarbeitung und Verwendungsmöglichkeiten von Laubholz: Entscheidungsgrundlagen Zur Förderung Von Laubholzverarbeitung Und—Absatz; Technische Hochschule Zürich, Institut für Baustoffe: Zürich, Switzerland, 2010. [Google Scholar]
- Volkmer, T.; Lehmann, M.; Clerc, G. Brettschichtholz Aus Buche: Keilzinkenverbindung Und Flächenverklebung; IHF-Konferenz: Garmisch-Partenkirchen, Germany, 2017; p. 12. [Google Scholar]
- Fortuna, B.; Azinović, B.; Plos, M.; Šuligoj, T.; Turk, G. Tension Strength Capacity of Finger Joined Beech Lamellas. Eur. J. Wood Prod. 2020, 78, 985–994. [Google Scholar] [CrossRef]
- Lütkemeier, B. Kleben Von modifiziertem Vollholz—Gestaltung Des Grenzbereichs Zur Steuerung Der Verklebungsmechanismen; 1. Auflage; Sierke Verlag: Göttingen, Germany, 2018; ISBN 978-3-86844-954-9. [Google Scholar]
- Röver, D. Entwicklung Neuartiger Knotenverstärkungen Von Holztragwerken Mit Kunstharzpressholz (KP); TU Kaiserslautern: Kaisersluatern, Germany, 2020. [Google Scholar]
- Yorur, H.; Erer, A.M.; Oğuz, S. Effect of Surface Roughness on Wettability of Adhesive on Wood Substrates. In Proceedings of the 3rd International Conference on Science, Ecology and Technology, Rome, Italy, 14–16 August 2017; p. 7. [Google Scholar]
- Petrič, M.; Oven, P. Determination of Wettability of Wood and its Significance in Wood Science and Technology: A Critical Review. Rev. Adhes. Adhes. 2015, 3, 121–187. [Google Scholar] [CrossRef]
- Qin, Z.; Gao, Q.; Zhang, S.; Li, J. Surface Free Energy and Dynamic Wettability of Differently Machined Poplar Woods. BioResources 2014, 9, 3088–3103. [Google Scholar] [CrossRef]
- Gindl, M.; Reiterer, A.; Sinn, G.; Stanzl-Tschegg, S.E. Effects of Surface Ageing on Wettability, Surface Chemistry, and Adhesion of Wood. Holz. Roh. Werkst. 2004, 62, 273–280. [Google Scholar] [CrossRef]
- Shi, S.Q.; Gardner, D.J. Dynamik Adhesive Wettability of Wood. Wood Fiber Sci. 2001, 33, 58–68. [Google Scholar]
- Gurau, L. Testing the Processing-Induced Roughness of Sanded Wood Surfaces Separated from Wood Anatomical Structure. Forests 2022, 13, 331. [Google Scholar] [CrossRef]
- Jankowska, A. Understanding of Surface Roughness of Wood Based on Analysis its Structure and Density. Ann. WULS For. Wood Technol. 2020, 111, 27–31. [Google Scholar] [CrossRef]
- Sandak, J.; Orlowski, K.A.; Sandak, A.; Chuchala, D.; Taube, P. On-Line Measurement of Wood Surface Smoothness. Drv. Ind. 2020, 71, 193–200. [Google Scholar] [CrossRef]
- Qing, L.; Li, Z.F.; Xing, D. Study on Evaluation Method of Surface Roughness of Wood Processing. In Proceedings of the International Workshop on Materials, Chemistry and Engineering, Xiamen, China, 16–17 June 2018; SCITEPRESS—Science and Technology Publications: Xiamen, China, 2018; pp. 83–92. [Google Scholar]
- De Conti, A.C.; de Conti, C. Effect of Surface Roughness on the Shear and Tensile Strength of Hardwood Adhesive Joints: A Linear Elastic Model. Adv. Mater. Res. 2015, 1088, 750–757. [Google Scholar] [CrossRef]
- Sinn, G.; Sandak, J.; Ramananantoandro, T. Properties of Wood Surfaces—Characterisation and Measurement. A Review COST Action E35 2004–2008: Wood Machining—Micromechanics and Fracture. Holzforschung 2009, 63, 196–203. [Google Scholar] [CrossRef]
- Li, W.; Zhang, Z.; Mei, C.; Kibleur, P.; Van Acker, J.; Van Den Bulcke, J. Understanding the Mechanical Strength and Dynamic Structural Changes of Wood-Based Products Using X-ray Computed Tomography. Wood Mater. Sci. Eng. 2022, 17, 1–10. [Google Scholar] [CrossRef]
- Shirmohammadi, M.; Leggate, W. Review of Existing Methods for Evaluating Adhesive Bonds in Timber Products. In Engineered Wood Products for Construction; IntechOpen: London, UK, 2021. [Google Scholar]
- Park, S.; Jeong, B.; Park, B.-D. A Comparison of Adhesion Behavior of Urea-Formaldehyde Resins with Melamine-Urea-Formaldehyde Resins in Bonding Wood. Forests 2021, 12, 1037. [Google Scholar] [CrossRef]
- Bastani, A.; Adamopoulos, S.; Koddenberg, T.; Militz, H. Study of Adhesive Bondlines in Modified Wood with Fluorescence Microscopy and X-Ray Micro-Computed Tomography. Int. J. Adhes. Adhes. 2016, 68, 351–358. [Google Scholar] [CrossRef]
- Volkmer, T.; Franke, B.; Schusser, A. Analysis of the Penetration of Adhesives at Finger-Joints in Beech Wood. In Proceedings of the World Conference on Timber Engineering 2014, Quebec, QC, Canada, 10–14 August 2014; p. 5. [Google Scholar]
- Hass, P.; Wittel, F.K.; Mendoza, M.; Herrmann, H.J.; Niemz, P. Adhesive Penetration in Beech Wood: Experiments. Wood Sci. Technol. 2012, 46, 243–256. [Google Scholar] [CrossRef]
- EN 14080:2013-09; Timber Structures—Glued Laminated Timber and Glued Solid Timber—Requirements. Beuth Verlag GmbH: Berlin, Germany, 2013; p. 110.
- Oberhofnerová, E.; Pánek, M. Surface Wetting of Selected Wood Species by Water during Initial Stages of Weathering. Wood Res. 2016, 61, 8. [Google Scholar]
- Wålinder, M.E.P.; Johansson, I. Measurement of Wood Wettability by the Wilhelmy Method. Part 1. Contamination of Probe Liquids by Extractives. Holzforschung 2001, 55, 21–32. [Google Scholar] [CrossRef]
- Bastani, A.; Adamopoulos, S.; Militz, H. Water Uptake and Wetting Behaviour of Furfurylated, N-Methylol Melamine Modified and Heat-Treated Wood. Eur. J. Wood Wood Prod. 2015, 73, 627–634. [Google Scholar] [CrossRef]
- EN ISO 25178-1:2016-12; Geometrical Product Specifications (GPS)—Surface Texture: Areal—Part 1: Indication of Surface Texture. Beuth Verlag GmbH: Berlin, Germany, 2016; p. 36.
- EN ISO 16610-1:2015-11; Geometrical Product Specifications (GPS)—Filtration—Part 1: Overview and Basic Concepts. Beuth Verlag GmbH: Berlin, Germany, 2015; p. 31.
- Technical Statistics—Experimental Methodology (DoE). Quality Management in the Bosch-Group; Robert Bosch GmbH: Stuttgart, Germany, 2020. [Google Scholar]
- Montgomery, D.C. Design and Analysis of Experiments, 10th ed.; Wiley: Hoboken, NJ, USA, 2020; ISBN 978-1-119-49247-4. [Google Scholar]
- Kúdela, J. Wetting of Wood Surfaace by a Liquids of a Different Polarity. Wood Res. 2014, 59, 14. [Google Scholar]
- Papp, E.A.; Csiha, C.; Makk, A.N.; Hofmann, T.; Csoka, L. Wettability of Wood Surface Layer Examined From Chemical Change Perspective. Coatings 2020, 10, 257. [Google Scholar] [CrossRef] [Green Version]
- Adamson, A.W.; Gast, A.P. Physical Chemistry of Surfaces, 6th ed.; Wiley: New York, NY, USA, 1997; ISBN 978-0-471-14873-9. [Google Scholar]
- Iždinský, J.; Reinprecht, L.; Sedliačik, J.; Kúdela, J.; Kučerová, V. Bonding of Selected Hardwoods with PVAc Adhesive. Appl. Sci. 2020, 11, 67. [Google Scholar] [CrossRef]
- Žigon, J.; Kovač, J.; Petrič, M. The Influence of Mechanical, Physical and Chemical Pre-Treatment Processes of Wood Surface on the Relationships of Wood with a Waterborne Opaque Coating. Prog. Org. Coat. 2022, 162, 106574. [Google Scholar] [CrossRef]
- Zhou, C.; Jiang, W.; Cheng, Q.; Via, B.K. Multivariate Calibration and Model Integrity for Wood Chemistry Using Fourier Transform Infrared Spectroscopy. J. Anal. Methods Chem. 2015, 2015, 429846. [Google Scholar] [CrossRef] [Green Version]
- Papp, E.A.; Csiha, C. Contact Angle as Function of Surface Roughness of Different Wood Species. Surf. Interfaces 2017, 8, 54–59. [Google Scholar] [CrossRef]
- Malkoçoğlu, A. Machining Properties and Surface Roughness of Various Wood Species Planed in Different Conditions. Build. Environ. 2007, 42, 2562–2567. [Google Scholar] [CrossRef]
- Csanády, E.; Magoss, E. Mechanics of Wood Machining; Springer: Berlin/Heidelberg, Germany, 2013; ISBN 978-3-642-29954-4. [Google Scholar]
- Sogutlu, C. Determination of the Effect of Surface Roughness on the Bonding Strength of Wooden Materials. BioResources 2017, 12, 1417–1429. [Google Scholar] [CrossRef]
- Cheng, E.; Sun, X. Effects of Wood-Surface Roughness, Adhesive Viscosity and Processing Pressure on Adhesion Strength of Protein Adhesive. J. Adhes. Sci. Technol. 2006, 20, 997–1017. [Google Scholar] [CrossRef]
- Bustos, C.; Hernández, R.; Beauregard, R.; Mohammad, M. Influence of Machining Parameters on the Structural Performance of Finger-Joined Black Spruce. Wood Fiber Sci. 2004, 36, 359–367. [Google Scholar]
- Modzel, G.; Kamke, F.A.; De Carlo, F. Comparative Analysis of a Wood: Adhesive Bondline. Wood Sci. Technol. 2011, 45, 147–158. [Google Scholar] [CrossRef]
- Paris, J.L.; Kamke, F.A. Quantitative Wood–Adhesive Penetration with X-Ray Computed Tomography. Int. J. Adhes. Adhes. 2015, 61, 71–80. [Google Scholar] [CrossRef]
- Paris, J.L.; Kamke, F.A.; Xiao, X. X-Ray Computed Tomography of Wood-Adhesive Bondlines: Attenuation and Phase-Contrast Effects. Wood Sci. Technol. 2015, 49, 1185–1208. [Google Scholar] [CrossRef]
















| Test Liquid | Density [g cm−3] 1 Viscosity [mPa s] | Device | Method |
|---|---|---|---|
| Water | 1.0 0.9 (at 23 °C) | Mobile Surface Analyzer One-Click SFE | Automatic dosing with 1 µL, Fitmethod Ellipse (Tang.-1) |
| Melamine-Urea-Formaldehyde resin 1 (MUF1) | 1.27 10,000–25,000 (at 25 °C) | Drop Shape Analyzer 100 | Manual syringe dosing, Fitmethod Ellipse (Tang.-1) |
| Melamine-Urea-Formaldehyde resin 2 (MUF2) | 1.28 2000–3500 (at 20 °C) | Drop Shape Analyzer 100 | Manual syringe dosing, Fitmethod Ellipse (Tang.-1) |
| (a) contact angle with 24 parameter settings | |||||
| Wood (W) | Cutter (Cu) | Feed rate (FR) | Adhesive (A) | ||
| Beech | Cutter1 | FR1 (1) | MUF1 | ||
| Birch | Cutter2 | FR2 (−1) | MUF2 | ||
| Cutter3 | |||||
| No. | N | W | Cu | FR | A |
| 1 | 16 | Beech | Cu1 | FR1 (−1) | MUF1 |
| 2 | 16 | Beech | Cu2 | FR1 (−1) | MUF1 |
| 3 | 13 | Beech | Cu3 | FR1 (−1) | MUF1 |
| 4 | 14 | Beech | Cu1 | FR2 (1) | MUF1 |
| 5 | 16 | Beech | Cu2 | FR2 (1) | MUF1 |
| 6 | 16 | Beech | Cu3 | FR2 (1) | MUF1 |
| 7 | 16 | Beech | Cu1 | FR1 (−1) | MUF2 |
| 8 | 16 | Beech | Cu2 | FR1 (−1) | MUF2 |
| 9 | 15 | Beech | Cu3 | FR1 (−1) | MUF2 |
| 10 | 16 | Beech | Cu1 | FR2 (1) | MUF2 |
| 11 | 15 | Beech | Cu2 | FR2 (1) | MUF2 |
| 12 | 15 | Beech | Cu3 | FR2 (1) | MUF2 |
| 13 | 15 | Birch | Cu1 | FR1 (−1) | MUF1 |
| 14 | 16 | Birch | Cu2 | FR1 (−1) | MUF1 |
| 15 | 16 | Birch | Cu3 | FR1 (−1) | MUF1 |
| 16 | 15 | Birch | Cu1 | FR2 (1) | MUF1 |
| 17 | 16 | Birch | Cu2 | FR2 (1) | MUF1 |
| 18 | 16 | Birch | Cu3 | FR2 (1) | MUF1 |
| 19 | 16 | Birch | Cu1 | FR1 (−1) | MUF2 |
| 20 | 16 | Birch | Cu2 | FR1 (−1) | MUF2 |
| 21 | 16 | Birch | Cu3 | FR1 (−1) | MUF2 |
| 22 | 16 | Birch | Cu1 | FR2 (1) | MUF2 |
| 23 | 14 | Birch | Cu2 | FR2 (1) | MUF2 |
| 24 | 11 | Birch | Cu3 | FR2 (1) | MUF2 |
| (b) roughness with 24 parameter settings | |||||
| Wood (W) | Cutter (Cu) | Feed rate (FR) | E-/L-wood (E/L) | ||
| Beech | Cutter1 | FR1 (−1) | E (E/L) | ||
| Birch | Cutter2 | FR2 (1) | L (E/L) | ||
| Cutter3 | |||||
| No. | N | W | Cu | FR | E/L |
| 1 | 8 | Beech | Cu1 | FR1 (−1) | E |
| 2 | 8 | Beech | Cu2 | FR1 (−1) | E |
| 3 | 8 | Beech | Cu3 | FR1 (−1) | E |
| 4 | 8 | Beech | Cu1 | FR2 (1) | E |
| 5 | 8 | Beech | Cu2 | FR2 (1) | E |
| 6 | 8 | Beech | Cu3 | FR2 (1) | E |
| 7 | 8 | Beech | Cu1 | FR1 (−1) | L |
| 8 | 8 | Beech | Cu2 | FR1 (−1) | L |
| 9 | 8 | Beech | Cu3 | FR1 (−1) | L |
| 10 | 8 | Beech | Cu1 | FR2 (1) | L |
| 11 | 8 | Beech | Cu2 | FR2 (1) | L |
| 12 | 8 | Beech | Cu3 | FR2 (1) | L |
| 13 | 8 | Birch | Cu1 | FR1 (−1) | E/L |
| 14 | 8 | Birch | Cu2 | FR1 (−1) | E/L |
| 15 | 8 | Birch | Cu3 | FR1 (−1) | E/L |
| 16 | 8 | Birch | Cu1 | FR2 (1) | E/L |
| 17 | 8 | Birch | Cu2 | FR2 (1) | E/L |
| 18 | 8 | Birch | Cu3 | FR2 (1) | E/L |
| 19 | 8 | Birch | Cu1 | FR1 (−1) | E/L |
| 20 | 8 | Birch | Cu2 | FR1 (−1) | E/L |
| 21 | 8 | Birch | Cu3 | FR1 (−1) | E/L |
| 22 | 8 | Birch | Cu1 | FR2 (1) | E/L |
| 23 | 8 | Birch | Cu2 | FR2 (1) | E/L |
| 24 | 8 | Birch | Cu3 | FR2 (1) | E/L |
| (c) penetration depth with 12 parameter settings | |||||
| Wood (W) | Cutter (Cu) | Feed rate (FR) | Adhesive (A) | ||
| Beech | Cutter1 | FR1 (1) | MUF2 | ||
| Birch | Cutter2 | FR2 (−1) | |||
| Cutter3 | |||||
| No. | N | W | Cu | FR | A |
| 1 | 59 | Beech | Cu1 | FR1 (−1) | MUF2 |
| 2 | 133 | Beech | Cu2 | FR1 (−1) | MUF2 |
| 3 | 221 | Beech | Cu3 | FR1 (−1) | MUF2 |
| 4 | 65 | Beech | Cu1 | FR2 (1) | MUF2 |
| 5 | 122 | Beech | Cu2 | FR2 (1) | MUF2 |
| 6 | 227 | Beech | Cu3 | FR2 (1) | MUF2 |
| 7 | 47 | Birch | Cu1 | FR1 (−1) | MUF2 |
| 8 | 44 | Birch | Cu2 | FR1 (−1) | MUF2 |
| 9 | 77 | Birch | Cu3 | FR1 (−1) | MUF2 |
| 10 | 32 | Birch | Cu1 | FR2 (1) | MUF2 |
| 11 | 69 | Birch | Cu2 | FR2 (1) | MUF2 |
| 12 | 108 | Birch | Cu3 | FR2 (1) | MUF2 |
| Contact Angle ANOVA—[a] | Roughness ANOVA—[b] | Penetration Depth ANOVA—[c] | ||||
|---|---|---|---|---|---|---|
| Main Effect/ 2W-Interaction | F-Value | Prob > F | F-Value | Prob > F | F-Value | Prob > F |
| Wood | 52.011 | 3.589 × 10−12 | 128.642 | 1.491 × 10−24 | 135.650 | 1.031 × 10−29 |
| Cutter | 204.809 | 3.764 × 10−59 | 102.813 | 9.558 × 10−34 | 70.457 | 1.369 × 10−29 |
| Feed rate | 96.586 | 3.106 × 10−20 | 78.592 | 1.164 × 10−16 | 14.017 | 1.901 × 10−4 |
| Adhesive | 82.063 | 1.043 × 10−17 | 47.373 | 4.261 × 10−11 | - | - |
| Wood × Cutter | 7.034 | 0.001 | 1.118 | 0.328 | 6.44502 | 0.00165 |
| Wood × Feed rate | 33.083 | 1.963 × 10−8 | 3.909 | 0.049 | 0.14685 * | 0.70163 * |
| Wood × Adhesive | 0.001 * | 0.971 * | 94.746 | 2.484 × 10−19 | - | - |
| Cutter × Feed rate | 36.010 | 6.477 × 10−15 | 18.029 | 4.575 × 10−8 | 9.102 | 1.195 × 10−4 |
| Cutter × Adhesive | 8.533 | 2.419 × 10−4 | 1.583 | 0.207 | - | - |
| Feed rate × Adhesive | 6.552 | 0.010 | 2.103 | 0.148 | - | - |
Publisher’s Note: MDPI stays neutral with regard to jurisdictional claims in published maps and institutional affiliations. |
© 2022 by the authors. Licensee MDPI, Basel, Switzerland. This article is an open access article distributed under the terms and conditions of the Creative Commons Attribution (CC BY) license (https://creativecommons.org/licenses/by/4.0/).
Share and Cite
Stolze, H.; Gurnik, M.; Koddenberg, T.; Kröger, J.; Köhler, R.; Viöl, W.; Militz, H. Non-Destructive Evaluation of the Cutting Surface of Hardwood Finger Joints. Sensors 2022, 22, 3855. https://doi.org/10.3390/s22103855
Stolze H, Gurnik M, Koddenberg T, Kröger J, Köhler R, Viöl W, Militz H. Non-Destructive Evaluation of the Cutting Surface of Hardwood Finger Joints. Sensors. 2022; 22(10):3855. https://doi.org/10.3390/s22103855
Chicago/Turabian StyleStolze, Hannes, Michael Gurnik, Tim Koddenberg, Jonas Kröger, Robert Köhler, Wolfgang Viöl, and Holger Militz. 2022. "Non-Destructive Evaluation of the Cutting Surface of Hardwood Finger Joints" Sensors 22, no. 10: 3855. https://doi.org/10.3390/s22103855
APA StyleStolze, H., Gurnik, M., Koddenberg, T., Kröger, J., Köhler, R., Viöl, W., & Militz, H. (2022). Non-Destructive Evaluation of the Cutting Surface of Hardwood Finger Joints. Sensors, 22(10), 3855. https://doi.org/10.3390/s22103855

