NC-OFDM Satellite Communication Based on Compressed Spectrum Sensing
Abstract
:1. Introduction
2. NC-OFDM Satellite Communication System Model Based on Spectrum Sensing
3. Compressed Spectrum Sensing
4. Subcarrier Power Allocation Algorithm
4.1. The Description of Power Allocation Problem
4.2. Hybrid Genetic Particle Swarm Optimization Algorithm for Power Distribution
| Algorithm 1: HGAPSO. |
|
4.3. Analysis of Algorithm Performance
5. Simulation of NC-OFDM Satellite Communication System
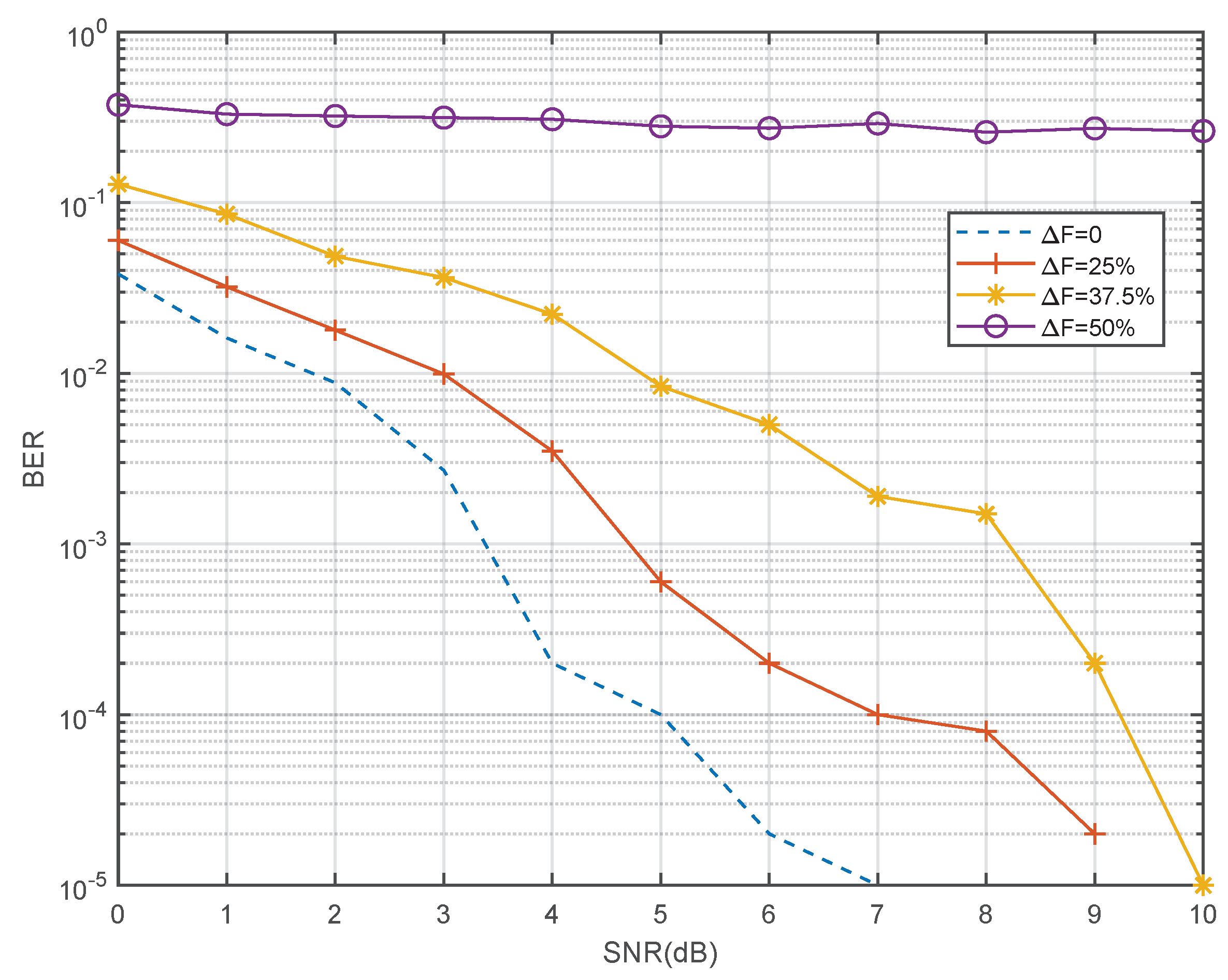
5.1. BER Performance of NC-OFDM Satellite Communication System
5.2. Interference Analysis of NC-OFDM Signal to Authorized Signal
6. Conclusions
Author Contributions
Funding
Conflicts of Interest
References
- Mitola, J.; Maguire, G. Cognitive radio: Making software radios more personal. IEEE Pers. Commun. 2019, 6, 13–18. [Google Scholar] [CrossRef] [Green Version]
- Haykin, S. Cognitive radio: Brain-empowered wireless communications. IEEE J. Sel. Areas Commun. 2005, 23, 201–220. [Google Scholar] [CrossRef]
- Jamoos, A.; Abdou, A. Spectrum measurements and analysis for cognitive radio applications in palestine. In Proceedings of the 2019 6th International Conference on Electrical and Electronics Engineering (ICEEE), Istanbul, Turkey, 16–17 April 2019; pp. 180–185. [Google Scholar]
- Lin, Z.; Niu, H.; An, K.; Wang, Y.; Zheng, G.; Chatzinotas, S.; Hu, Y. Refracting RIS aided hybrid satellite-terrestrial relay networks: Joint beamforming design and optimization. IEEE Trans. Aerosp. Electron. Syst. 2022, 1. [Google Scholar] [CrossRef]
- Lin, Z.; Lin, M.; de Cola, T.; Wang, J.-B.; Zhu, W.-P.; Cheng, J. Supporting IoT with rate-splitting multiple access in satellite and aerial-integrated networks. IEEE Internet Things J. 2021, 8, 11123–11134. [Google Scholar] [CrossRef]
- Lin, Z.; Lin, M.; Wang, J.-B.; de Cola, T.; Wang, J. Joint beamforming and power allocation for satellite-terrestrial integrated networks with non-orthogonal multiple access. IEEE J. Sel. Top. Signal Process. 2019, 13, 657–670. [Google Scholar] [CrossRef] [Green Version]
- Lin, Z.; Lin, M.; Champagne, B.; Zhu, W.-P.; Al-Dhahir, N. Secure and energy efficient transmission for RSMA-based cognitive satellite-terrestrial networks. IEEE Wirel. Commun. Lett. 2021, 10, 251–255. [Google Scholar] [CrossRef]
- Lin, Z.; Lin, M.; Champagne, B.; Zhu, W.-P.; Al-Dhahir, N. Secure beamforming for cognitive satellite terrestrial networks with unknown eavesdroppers. IEEE Syst. J. 2021, 15, 2186–2189. [Google Scholar] [CrossRef]
- Lin, Z.; Lin, M.; Wang, J.-B.; Huang, Y.; Zhu, W.-P. Robust secure beamforming for 5G cellular networks coexisting with satellite networks. IEEE J. Sel. Areas Commun. 2018, 36, 932–945. [Google Scholar] [CrossRef]
- Lin, Z.; Lin, M.; Champagne, B.; Zhu, W.-P.; Al-Dhahir, N. Secrecy-energy efficient hybrid beamforming for satellite-terrestrial integrated networks. IEEE Trans. Commun. 2021, 69, 6345–6360. [Google Scholar] [CrossRef]
- An, K.; Lin, M.; Ouyang, J.; Zhu, W.-P. Secure transmission in cognitive satellite terrestrial networks. IEEE J. Sel. Areas Commun. 2016, 34, 3025–3037. [Google Scholar] [CrossRef]
- An, K.; Liang, T.; Zheng, G.; Yan, X.; Li, Y.; Chatzinotas, S. Performance limits of cognitive-uplink FSS and terrestrial FS for Ka-band. IEEE Trans. Aerosp. Electron. Syst. 2019, 55, 2604–2611. [Google Scholar] [CrossRef]
- Guidotti, A.; Vanelli-Coralli, A.; Conti, M. Facilitating opportunities for flexible, efficient, and reliable spectrum use employing cognitive radio technologies. NPRM Order ET Docker 2003, 03-108, FCC03-322. [Google Scholar]
- Rajbanshi, R.; Wyglinski, A.M.; Minden, G.J. An efficient implementation of NC-OFDM transceivers for cognitive radios. In Proceedings of the 1st International Coference on Cognitive Radio Oriented Wireless Networks and Communications, Mykonos, Greece, 8–10 June 2006; pp. 4–5. [Google Scholar]
- Van, J.; Berggren, F. N-continuous OFDM. IEEE Commun. Lett. 2009, 13, 1–3. [Google Scholar]
- Shamani, F.; Airoldi, R.; Sevom, V.F.; Ahonen, T.; Nurmi, J. FPGA implementation issues of a flexible synchronizer suitable for NC-OFDM-based cognitive radios. J. Syst. Archit. 2017, 76, 102–116. [Google Scholar] [CrossRef]
- Ma, D.; Shi, Y.; Zhang, W.; Guozhen, L. Design of acoustic transmission along drill strings for logging while drilling data based on adaptive NC-OFDM. Aeu Int. J. Electron. Commun. 2018, 83, 329–338. [Google Scholar] [CrossRef]
- Liu, X.; Zhang, L.; Xiong, J.; Zhang, X.; Zhou, L.; Wei, J. Peak-to-average power ratio analysis for OFMD-based mixed-numerology transmissions. IEEE Trans. Veh. Technol. 2020, 69, 1802–1812. [Google Scholar] [CrossRef]
- Na, Z.; Guan, Q.; Fu, C.; Cui, Y.; Guo, Q. Channel model and throughput analysis for LEO OFDM satellite communication system. Int. J. Future Gener. Commun. Netw. 2013, 6, 109–112. [Google Scholar] [CrossRef]
- Shirmohammadi, M.; Damavandi, A. Blind channel estimation of MIMO-OFDM systems in satellite communication. In Proceedings of the 2015 International Conference on IEEE Information and Communication Technology Convergence (ICTC), Jeju Island, Korea, 28–30 October 2015; pp. 704–709. [Google Scholar]
- Bai, X.; Zhu, W.; Liu, B. A Ku band satellite spectrum signal detection method based on bottom noise fitting. J. Nanjing Univ. Posts Telecommun. (Nat. Sci. Ed.) 2019, 39, 51–57. [Google Scholar]
- Wang, Y.; Zhao, Q.; Ma, S.; Jiang, Y.; Wang, L. Satellite communication based on non-continuous orthogonal frequency division multiplexing. In Proceedings of the 2020 IEEE 20th International Conference on Communication Technology (ICCT), Nanning, China, 28–31 October 2020; pp. 638–642. [Google Scholar]
- Qi, Y.; Tao, P.; Qian, R.; Rongrong, Q. Cyclostationarity-based spectrum sensing in cognitive radio. J. Nanjing Univ. Posts Telecommun. (Nat. Sci. Ed.) 2009, 21, 353–357. [Google Scholar]
- Yang, J.; Song, Z.; Gao, Y.; Gu, X.; Feng, Z. Adaptive compressed spectrum sensing for multiband signals. IEEE Trans. Wirel. Commun. 2021, 14, 7642–7654. [Google Scholar] [CrossRef]
- Song, Z.; Gao, Y.; Tafazolli, R. A survey on spectrum sensing and learning technologies for 6G. IEICE Trans. Commun. 2021, 104, 1207–1216. [Google Scholar] [CrossRef]
- Song, Z.; Qi, H.; Gao, Y. Real-time multi-gigahertz sub-Nyquist spectrum sensing system for mmwave. In Proceedings of the 3rd ACM Workshop on Millimeter-Wave Networks and Sensing Systems, Los Cabos, Mexico, 25 October 2019; pp. 33–38. [Google Scholar]
- Barbarossa, S.; Sardellitti, S.; Scutari, G. Joint optimization of detection thresholds and power allocation for opportunistic access in multicarrier cognitive radio networks. In Proceedings of the 2009 3rd IEEE International Workshop on Computational Advances in Multi-Sensor Adaptive Processing (CAMSAP), Aruba, Netherland Antilles, 13–16 December 2009. [Google Scholar]
- Ma, N.; Yang, M.; Shin, Y. A distributed power allocation algorithm for OFDM-based cognitive radio networks. In Proceedings of the 2013 IEEE International Conference of IEEE Region 10 (TENCON 2013), Xi’an, China, 22–25 October 2013. [Google Scholar]
- Zhan, W.; Zhou, X.; Liu, Y. Radio resource allocation based on case-reasoning in NC-OFDM systems for cognitive radio. Mob. Commun. 2017, 41, 82–88. [Google Scholar]










| Subcarrier Division Parameters | Definition |
|---|---|
| number of data subcarriers | 100 |
| number of pilot subcarriers | 12 |
| number of guard subcarriers | 10 |
| total number of subcarriers | 122 |
| subcarrier frequency spacing | 4.125 MHz |
| Spectrum Hole Number | Start Frequency (MHz) | Cut-Off Frequency (MHz) | Bandwidth (MHz) | Assign Sub-Carrier Number |
|---|---|---|---|---|
| 1 | 12,325 | 12,395 | 70 | 7–23 |
| 2 | 12,445 | 12,465 | 20 | 36–39 |
| 3 | 12,475 | 12,510 | 35 | 43–50 |
| 4 | 12,568 | 12,582 | 14 | 66–68 |
| 5 | 12,615 | 12,700 | 85 | 77–96 |
| 6 | 12,728 | 12,800 | 72 | 106–122 |
| Subcarrier Number | SNR (dB) | Subcarrier Number | SNR (dB) |
|---|---|---|---|
| 8 | 12 | 67 | 7 |
| 9–19 | 13 | 78–79 | 7 |
| 20 | 13 | 80–90 | 10 |
| 21 | 12 | 91–95 | 7 |
| 22 | 11 | 107 | 7 |
| 37 | 9 | 108 | 8 |
| 38 | 8 | 109 | 9 |
| 44–46 | 7 | 110–119 | 10 |
| 47–49 | 9 | 120–121 | 9 |
| Algorithm | Parameters |
|---|---|
| GA | Evolutionary algebra: 200, population size: 300, crossover probability: 0.3, mutation probability: 0.05 |
| PSO | Number of iterations: 200, population size: 60, particle speed: 2, weight factor : 0.5, weight factor : 1.5 |
| HGAPSO | Evolutionary algebra: 200, population size: 100, particle velocity: 2, weight factor : 0.5, weight factor : 1.5, crossover probability: 0.3, mutation probability: 0.05 |
Publisher’s Note: MDPI stays neutral with regard to jurisdictional claims in published maps and institutional affiliations. |
© 2022 by the authors. Licensee MDPI, Basel, Switzerland. This article is an open access article distributed under the terms and conditions of the Creative Commons Attribution (CC BY) license (https://creativecommons.org/licenses/by/4.0/).
Share and Cite
Wang, Y.; Niu, H.; Zhao, Q.; Wang, L.; Gao, Y.; Lin, Z. NC-OFDM Satellite Communication Based on Compressed Spectrum Sensing. Sensors 2022, 22, 3800. https://doi.org/10.3390/s22103800
Wang Y, Niu H, Zhao Q, Wang L, Gao Y, Lin Z. NC-OFDM Satellite Communication Based on Compressed Spectrum Sensing. Sensors. 2022; 22(10):3800. https://doi.org/10.3390/s22103800
Chicago/Turabian StyleWang, Yong, Hehao Niu, Qingsong Zhao, Lei Wang, Yue Gao, and Zhi Lin. 2022. "NC-OFDM Satellite Communication Based on Compressed Spectrum Sensing" Sensors 22, no. 10: 3800. https://doi.org/10.3390/s22103800
APA StyleWang, Y., Niu, H., Zhao, Q., Wang, L., Gao, Y., & Lin, Z. (2022). NC-OFDM Satellite Communication Based on Compressed Spectrum Sensing. Sensors, 22(10), 3800. https://doi.org/10.3390/s22103800

