Active Model-Based Hysteresis Compensation and Tracking Control of Pneumatic Artificial Muscle
Abstract
:1. Introduction
2. Bouc–Wen Hysteresis Modeling
2.1. Hysteretic Nonlinearity of the PAM
2.2. Bouc–Wen Hysteresis Model
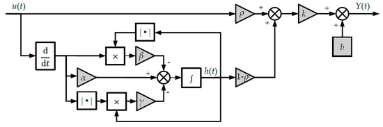
3. Active Modeling for PAM
4. Active-Model-Based Control Strategy
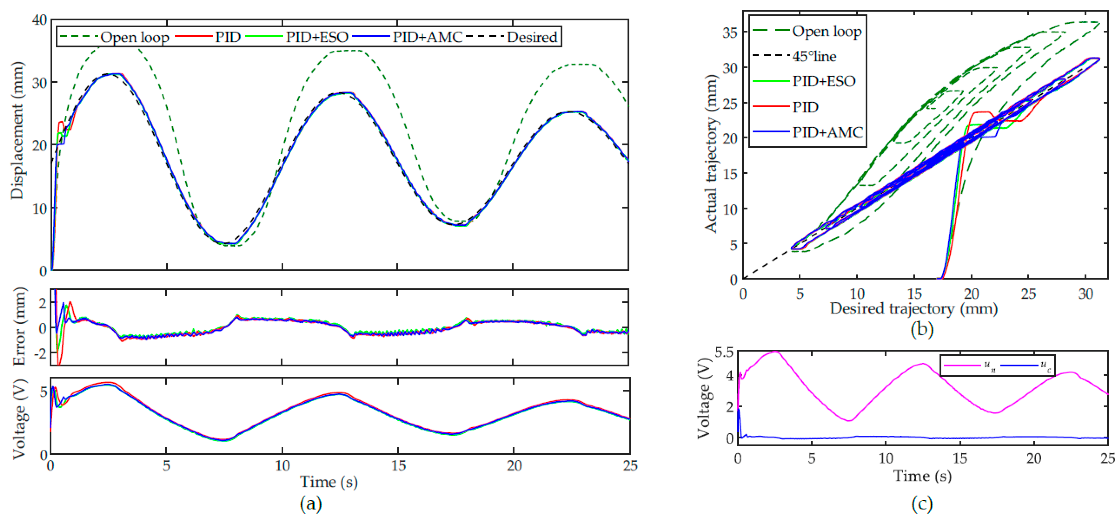
5. Experimental Results and Analyses
5.1. Experimental Setup
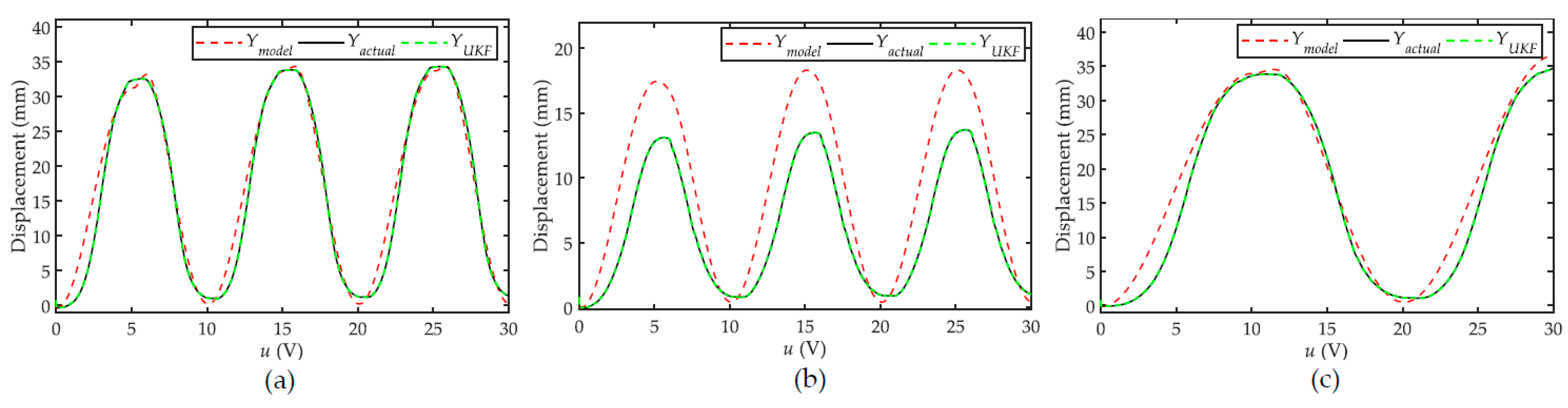
5.2. Identification of the Bouc–Wen Model
5.3. Active Model Error Estimation
5.4. Extended State Observer Based Controller for Comparison
5.5. Experimental Results
6. Conclusions
Author Contributions
Funding
Institutional Review Board Statement
Informed Consent Statement
Data Availability Statement
Conflicts of Interest
References
- Zhao, Z.; Hao, L.; Liu, M.; Gao, H.; Li, X. Prescribed performance model-free adaptive terminal sliding mode control for the pneumatic artificial muscles elbow exoskeleton. J. Mech. Sci. Technol. 2021, 35, 3183–3197. [Google Scholar] [CrossRef]
- Xiaocong, Z.; Guoliang, T.; Bin, Y.; Jian, C. Integrated Direct/Indirect Adaptive Robust Posture Trajectory Tracking Control of a Parallel Manipulator Driven by Pneumatic Muscles. IEEE Trans. Control Syst. Technol. 2009, 17, 576–588. [Google Scholar] [CrossRef] [Green Version]
- Wu, J.; Huang, J.; Wang, Y.; Xing, K. Nonlinear Disturbance Observer-Based Dynamic Surface Control for Trajectory Tracking of Pneumatic Muscle System. IEEE Trans. Control Syst. Technol. 2014, 22, 440–455. [Google Scholar] [CrossRef]
- Chang, M.-K.; Liou, J.-J.; Chen, M.-L. T–S fuzzy model-based tracking control of a one-dimensional manipulator actuated by pneumatic artificial muscles. Control Eng. Pract. 2011, 19, 1442–1449. [Google Scholar] [CrossRef]
- Chen, Y.; Sun, N.; Liang, D.; Qin, Y.; Fang, Y. A neuroadaptive control method for pneumatic artificial muscle systems with hardware experiments. Mech. Syst. Signal Process. 2021, 146, 106976. [Google Scholar] [CrossRef]
- Qin, Y.; Xu, Y.; Han, J. Hysteresis Compensation of Pneumatic Artificial Muscle Actuated Assistive Robot for the Elbow Joint. Robot 2021, 43, 453–462. [Google Scholar] [CrossRef]
- Cheng, L.; Liu, W.; Hou, Z.; Yu, J.; Tan, M. Neural-Network-Based Nonlinear Model Predictive Control for Piezoelectric Actuators. IEEE Trans. Ind. Electron. 2015, 62, 7717–7727. [Google Scholar] [CrossRef]
- Kothera, C.S.; Jangid, M.; Sirohi, J.; Wereley, N.M. Experimental Characterization and Static Modeling of McKibben Actuators. J. Mech. Des. 2009, 131, 091010. [Google Scholar] [CrossRef]
- Colbrunn, R.W.; Nelson, G.M.; Quinn, R.D. Modeling of braided pneumatic actuators for robotic control. In Proceedings of the 2001 IEEE/RSJ International Conference on Intelligent Robots and Systems. Expanding the Societal Role of Robotics in the the Next Millennium (Cat. No.01CH37180), Maui, HI, USA, 29 October–3 November 2001; Volume 1964, pp. 1964–1970. [Google Scholar]
- Tri Vo, M.; Tjahjowidodo, T.; Ramon, H.; Brussel, H.V. Control of a pneumatic artificial muscle (PAM) with model-based hysteresis compensation. In Proceedings of the 2009 IEEE/ASME International Conference on Advanced Intelligent Mechatronics, Singapore, 14–17 July 2009; pp. 1082–1087. [Google Scholar]
- Lin, C.-J.; Lin, C.-R.; Yu, S.-K.; Chen, C.-T. Hysteresis modeling and tracking control for a dual pneumatic artificial muscle system using Prandtl–Ishlinskii model. Mechatronics 2015, 28, 35–45. [Google Scholar] [CrossRef]
- Qin, Y.; Duan, H.; Han, J. Direct Inverse Hysteresis Compensation of Piezoelectric Actuators Using Adaptive Kalman Filter. IEEE Trans. Ind. Electron. 2021, 1. [Google Scholar] [CrossRef]
- Wen, Z.; Ding, Y.; Liu, P.; Ding, H. An Efficient Identification Method for Dynamic Systems with Coupled Hysteresis and Linear Dynamics: Application to Piezoelectric-Actuated Nanopositioning Stages. IEEE/ASME Trans. Mechatron. 2019, 24, 326–337. [Google Scholar] [CrossRef]
- Liu, Y.-T.; Chang, K.-M.; Li, W.-Z. Model reference adaptive control for a piezo-positioning system. Precis. Eng. 2010, 34, 62–69. [Google Scholar] [CrossRef]
- Zaman, M.A.; Sikder, U. Bouc–Wen hysteresis model identification using Modified Firefly Algorithm. J. Magn. Magn. Mater. 2015, 395, 229–233. [Google Scholar] [CrossRef]
- Zhu, W.; Wang, D.-H. Non-symmetrical Bouc–Wen model for piezoelectric ceramic actuators. Sens. Actuators A Phys. 2012, 181, 51–60. [Google Scholar] [CrossRef]
- Nuchkrua, T.; Leephakpreeda, T. Fuzzy Self-Tuning PID Control of Hydrogen-Driven Pneumatic Artificial Muscle Actuator. J. Bionic Eng. 2013, 10, 329–340. [Google Scholar] [CrossRef]
- Thanh, T.U.D.C.; Ahn, K.K. Nonlinear PID control to improve the control performance of 2 axes pneumatic artificial muscle manipulator using neural network. Mechatronics 2006, 16, 577–587. [Google Scholar] [CrossRef]
- Zhao, W.; Song, A.; Cao, Y. An Extended Proxy-Based Sliding Mode Control of Pneumatic Muscle Actuators. Appl. Sci. 2019, 9, 1571. [Google Scholar] [CrossRef] [Green Version]
- Ai, Q.; Ke, D.; Zuo, J.; Meng, W.; Liu, Q.; Zhang, Z.; Xie, S.Q. High-Order Model-Free Adaptive Iterative Learning Control of Pneumatic Artificial Muscle With Enhanced Convergence. IEEE Trans. Ind. Electron. 2020, 67, 9548–9559. [Google Scholar] [CrossRef]
- Qin, Y.; Duan, H. Single-Neuron Adaptive Hysteresis Compensation of Piezoelectric Actuator Based on Hebb Learning Rules. Micromachines 2020, 11, 84. [Google Scholar] [CrossRef] [Green Version]
- Wang, X.; Bie, D.; Han, J.; Fang, Y. Active Modeling and Compensation for the Hysteresis of a Robotic Flexible Ureteroscopy. IEEE Access 2020, 8, 100620–100630. [Google Scholar] [CrossRef]
- Wan, E.A.; Merwe, R.V.D. The unscented Kalman filter for nonlinear estimation. In Proceedings of the IEEE 2000 Adaptive Systems for Signal Processing, Communications, and Control Symposium (Cat. No.00EX373), Lake Louise, AB, Canada, 1–4 October 2000; pp. 153–158. [Google Scholar]
- Julier, S.J.; Uhlmann, J.K. Unscented filtering and nonlinear estimation. Proc. IEEE 2004, 92, 401–422. [Google Scholar] [CrossRef] [Green Version]
- Rakotondrabe, M. Bouc–Wen modeling and inverse multiplicative structure to compensate hysteresis nonlinearity in piezoelectric actuators. IEEE Trans. Autom. Sci. Eng. 2011, 8, 428–431. [Google Scholar] [CrossRef] [Green Version]
- Dao, Q.T.; Le, H.T.; Nguyen, M.L.; Do, T.H.; Duong, M.D. A Modified Bouc–Wen Model of Pneumatic Artificial Muscles in Antagonistic Configuration. In Proceedings of the 2020 International Conference on Advanced Mechatronic Systems (ICAMechS), Hanoi, Vietnam, 10–13 December 2020; pp. 157–161. [Google Scholar]
- Zhang, D.; Zhao, X.; Han, J. Active Model-Based Control for Pneumatic Artificial Muscle. IEEE Trans. Ind. Electron. 2017, 64, 1686–1695. [Google Scholar] [CrossRef]
- Julier, S.; Uhlmann, J.; Durrant-Whyte, H.F. A new method for the nonlinear transformation of means and covariances in filters and estimators. IEEE Trans. Autom. Control 2000, 45, 477–482. [Google Scholar] [CrossRef] [Green Version]
- Yao, J.; Jiao, Z.; Ma, D. Adaptive Robust Control of DC Motors with Extended State Observer. IEEE Trans. Ind. Electron. 2014, 61, 3630–3637. [Google Scholar] [CrossRef]











| u0(t) | u1(t) | u2(t) | |
|---|---|---|---|
| Reference model | 2.012 | 3.687 | 2.284 |
| With active model | 1.482 × 10−4 | 1.379 × 10−4 | 1.397 × 10−4 |
| Open-Loop (Max/RMSE) | PID (Max/RMSE) | PID + ESO (Max/RMSE) | PID + AMC (Max/RMSE) | |
|---|---|---|---|---|
| 0.05 Hz triangular | 10.978/6.395 | 1.097/0.3461 | 1.100/0.3243 | 0.924/0.3209 |
| 0.05 Hz sinusoidal | 10.357/6.873 | 3.769/0.2450 | 2.322/0.2005 | 1.323/0.1934 |
| 0.1 Hz sinusoidal | 10.046/6.592 | 3.272/0.4670 | 2.010/0.3911 | 1.922/0.3803 |
Publisher’s Note: MDPI stays neutral with regard to jurisdictional claims in published maps and institutional affiliations. |
© 2022 by the authors. Licensee MDPI, Basel, Switzerland. This article is an open access article distributed under the terms and conditions of the Creative Commons Attribution (CC BY) license (https://creativecommons.org/licenses/by/4.0/).
Share and Cite
Qin, Y.; Zhang, H.; Wang, X.; Han, J. Active Model-Based Hysteresis Compensation and Tracking Control of Pneumatic Artificial Muscle. Sensors 2022, 22, 364. https://doi.org/10.3390/s22010364
Qin Y, Zhang H, Wang X, Han J. Active Model-Based Hysteresis Compensation and Tracking Control of Pneumatic Artificial Muscle. Sensors. 2022; 22(1):364. https://doi.org/10.3390/s22010364
Chicago/Turabian StyleQin, Yanding, Haoqi Zhang, Xiangyu Wang, and Jianda Han. 2022. "Active Model-Based Hysteresis Compensation and Tracking Control of Pneumatic Artificial Muscle" Sensors 22, no. 1: 364. https://doi.org/10.3390/s22010364
APA StyleQin, Y., Zhang, H., Wang, X., & Han, J. (2022). Active Model-Based Hysteresis Compensation and Tracking Control of Pneumatic Artificial Muscle. Sensors, 22(1), 364. https://doi.org/10.3390/s22010364

