Design of a SIMO Deep Learning-Based Chaos Shift Keying (DLCSK) Communication System
Abstract
:1. Introduction
1.1. Background
1.2. Contributions
- We train a LSTM-based classifier that enables online classification of the received chaotic signals. Implementing this method can mitigate the chaotic synchronization problem in the existing CSK receivers;
- The DLCSK modulation/demodulation scheme does not need any reference transmission for basis functions recovery, unlike reference-based non-coherent modulations. According to the above advantages, the BER performance of a single antenna DLCSK is close to the performance of the antipodal CSK under a Rayleigh fading channel that shows an outstanding BER performance among all chaotic modulations [10].
- We have proposed a Multi-Antenna architecture of the DLCSK system. Multiple LSTMs are used at the receiver end to obtain a diversity gain. We numerically simulate the SIMO DLCSK structure and state the advantages of fusing the hard outputs of the LSTMs to come to a decision.
- □
- In Section 2, a statistical study on the existing CSK systems and correlation receivers is presented;
- □
- In Section 3, the structure of the proposed SIMO DLCSK system and the basics of the LSTM-based classifier are described;
- □
- In Section 4, simulation results and discussions are explained;
- □
- In Section 5, the conclusions are explained.
2. Traditional Correlation Receivers
3. SIMO DLCSK System Model
3.1. Chaotic Signals
3.2. Transmitter
3.3. Channel Model and Estimation
3.4. Receiver
| Algorithm 1: Training of receiver. |
> At the Transmitter side: 1: Input parameters: Number of generated signals (), Spread factor (). 2: Generate two sets of the chaotic signals, each with length N, using the Chebyshev and the Logistic maps, i.e., and . 3: Normalize chaotic signals. 4: Transmit all generated signals over the channel: Generate a random ; Generate a random ; Transmit symbol; . > At the receiver side: 5: The antenna receives altered signals {, with known labels . 6: Separate into real and imaginary parts to form the training set: . 7: Train NN-based receiver including: - Sequence input layer; - LSTM/BiLSTM layer; - Fully connected layer; - Softmax layer; - Classification layer; 8: End of Training. |
3.5. Decision Combining Rule
4. Simulation Results
4.1. Training Convergence
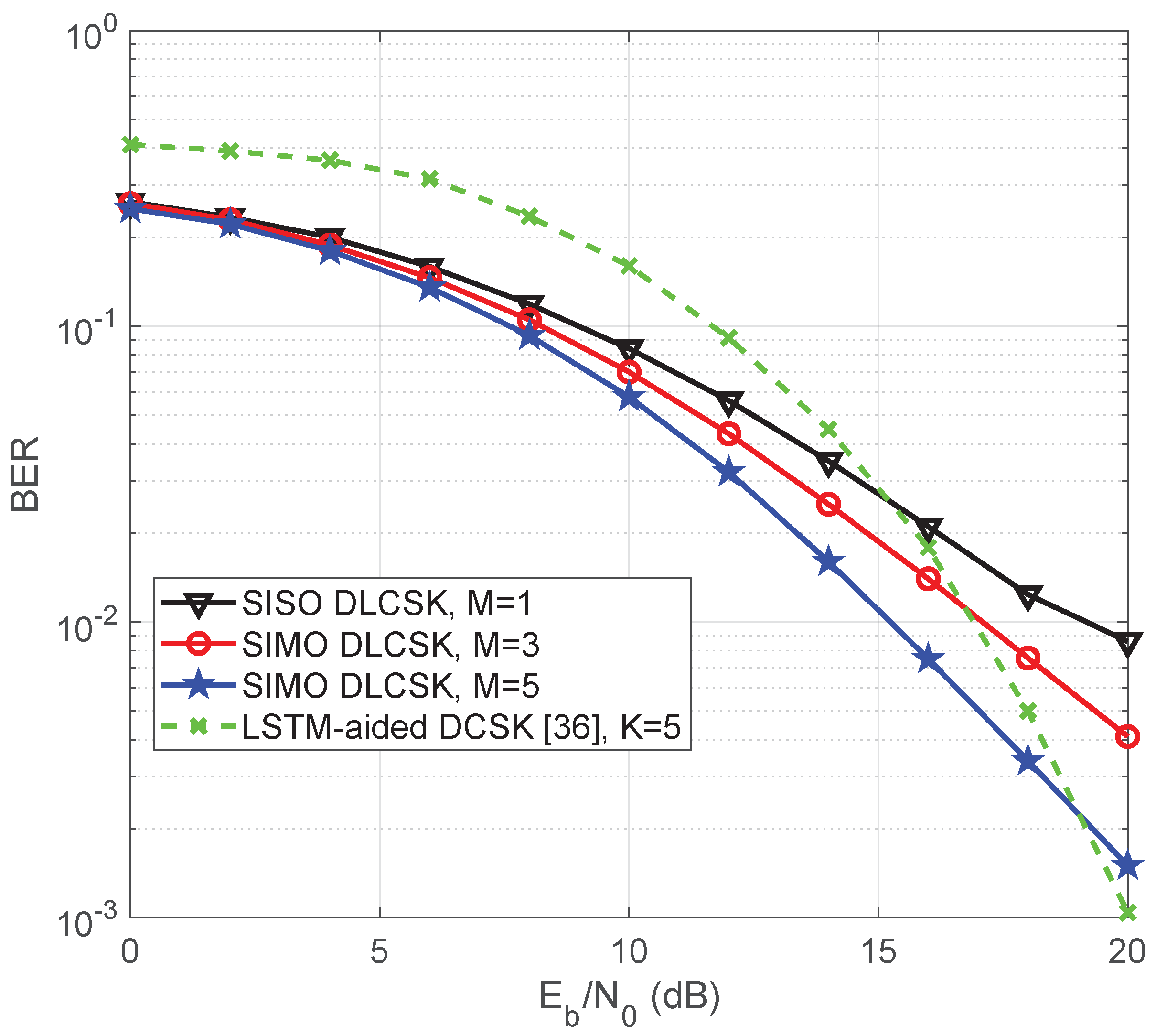
4.2. BER Performance under AWGN Channel
4.3. Confusion Matrix, Sensitivity, and Specificity
4.4. BER Performance under Multi-Path Rayleigh Fading Channels
5. Conclusions
Author Contributions
Funding
Institutional Review Board Statement
Informed Consent Statement
Conflicts of Interest
References
- Harikrishnan, N.B.; Nagaraj, N. When Noise meets Chaos: Stochastic Resonance in Neurochaos Learning. Neural Netw. 2021, 143, 425–435. [Google Scholar]
- Vuong, D.P.; Le, D.K.; Nguyen, K.K.; Van Nguyen, B. Correlation receiver with nonlinearity blanking for DCSK systems under pulse jamming attack. IEEE Access 2019, 7, 25037–25045. [Google Scholar] [CrossRef]
- Cai, G.; Song, Y. Closed-form BER expressions of M-ary DCSK systems over multipath Rayleigh fading channels. IEEE Commun. Lett. 2020, 24, 1192–1196. [Google Scholar] [CrossRef]
- Chen, P.; Fang, Y.; Su, K.; Chen, G. Design of a capacity-approaching chaos-based multi-access transmission system. IEEE Trans. Veh. Technol. 2017, 66, 10806–10816. [Google Scholar] [CrossRef]
- Mazzini, G.; Setti, G.; Rovatti, R. Chaotic complex spreading sequences for asynchronous DS-CDMA—Part I: System modeling and results. IEEE Trans. Circuits Syst. I Fundam. Theory Appl. 1997, 44, 937–947. [Google Scholar] [CrossRef] [Green Version]
- Dedieu, H.; Kennedy, M.P.; Hasler, M. Chaos shift keying: Modulation and demodulation of a chaotic carrier using self-synchronizing Chua’s circuits. IEEE Trans. Circuits Syst. II Analog Digit. Signal Process. 1993, 40, 634–642. [Google Scholar] [CrossRef]
- Parlitz, U.; Chua, L.O.; Kocarev, L.; Halle, K.S.; Shang, A. Transmission of digital signals by chaotic synchronization. Int. J. Bifurc. Chaos 1992, 2, 973–977. [Google Scholar] [CrossRef]
- Kolumbán, G.; Kennedy, M.P.; Chua, L.O. The role of synchronization in digital communications using chaos. I. Fundamentals of digital communications. IEEE Trans. Circuits Syst. I Fundam. Theory Appl. 1997, 44, 927–936. [Google Scholar] [CrossRef] [Green Version]
- Kennedy, M.P.; Kolumbán, G.; Kis, G.; Jákó, Z. Performance evaluation of FM-DCSK modulation in multipath environments. IEEE Trans. Circuits Syst. I Fundam. Theory Appl. 2000, 47, 1702–1711. [Google Scholar] [CrossRef] [Green Version]
- Kennedy, M.P.; Kolumbán, G.; Jákó, Z.; Kis, G. Chaotic communications with correlator receivers: Theory and performance limits. Proc. IEEE 2002, 90, 711–732. [Google Scholar]
- Schweizer, J.; Schimming, T. Symbolic dynamics for processing chaotic signal—II. Communication and coding. IEEE Trans. Circuits Syst. I Fundam. Theory Appl. 2001, 48, 1283–1295. [Google Scholar] [CrossRef]
- Mazzini, G.; Rovatti, R.; Setti, G. Sequence synchronization in chaos-based DS-CDMA systems. Proc. IEEE Int. Symp. Circuits Syst. (Iscas) 1998, 44, 937–947. [Google Scholar]
- Jovic, B.; Unsworth, C.P.; Sandhu, G.S.; Berber, S.M. A robust sequence synchronization unit for multi-user DS-CDMA chaos-based communication systems. Signal Process. 2007, 87, 1692–1708. [Google Scholar] [CrossRef]
- Kaddoum, G.; Roviras, D.; Chargé, P.; Fournier-Prunaret, D. Robust synchronization for asynchronous multi-user chaos-based DS-CDMA. Signal Process. 2009, 89, 807–818. [Google Scholar] [CrossRef]
- Yeo, K.; Melnyk, I. Deep learning algorithm for data-driven simulation of noisy nonlinear dynamical system. J. Comput. Phys. 2019, 376, 1212. [Google Scholar] [CrossRef] [Green Version]
- Burel, G.; Bouder, C. Blind estimation of the pseudo-random sequence of a direct sequence spread spectrum signal. In Proceedings of the 21st Century Military Century Military Communication (MILCOM), Los Angeles, CA, USA, 22–25 October 2000; Volume 2, pp. 967–970. [Google Scholar]
- Tam, W.M.; Lau, F.C.M.; Tse, C.K.; Lawrance, A.J. Exact analytical bit error rates for multiple access chaos-based communication systems. IEEE Trans. Circuits Syst. I Fundam. Theory Appl. 2004, 376, 473–481. [Google Scholar]
- Kolumbán, G.; Vizvári, G.K.; Schwarz, W.; Abel, A. Differential chaos shift keying: A robust coding for chaos communication. In Proceedings of the Workshop Non-Linear Dynamics Electronic Systems (NDES), Seville, Spain, 27–28 June 1996; pp. 92–97. [Google Scholar]
- Kis, G.; Jákó, Z.; Kennedy, M.P.; Kolumbán, G. Chaotic communications without synchronization. In Proceedings of the 6th IEE Conference on Telecommunications, 29 March–1 April 1998; pp. 49–53. [Google Scholar]
- Kennedy, M.P.; Rovatti, R.; Setti, G. Chaotic Electronics in Telecommunications; RC Press: London, UK, 2000. [Google Scholar]
- Mazzini, G.; Rovatti, R.; Setti, G. Interference minimisation by autocorrelation shaping in asynchronous DS-CDMA systems: Chaos-based spreading is nearly optimal. Electron. Lett. 1999, 35, 1054–1055. [Google Scholar] [CrossRef]
- Galias, Z.; Maggio, G.M. Quadrature chaos shift keying: Theory and performance analysis. IEEE Trans. Circuits Syst. I Fundam. Theory Appl. 2001, 48, 1510–1519. [Google Scholar] [CrossRef]
- Yang, H.; Jiang, G.-P. High-efficiency differential-chaos-shift-keying scheme for chaos-based noncoherent communication. IEEE Trans. Circuits Syst. II Exp. Briefs 2012, 59, 312–316. [Google Scholar] [CrossRef]
- Kaddoum, G.; Shokraneh, F. High-efficiency Analog network coding for multiuser multi-carrier differential chaos shift keying communication system. IEEE Trans. Wireless Commun. 2015, 14, 1492–1505. [Google Scholar] [CrossRef] [Green Version]
- Kaddoum, G. Design and performance analysis of a multi-user OFDM based differential chaos shift keying communication system. IEEE Trans. Commun. 2015, 64, 1–12. [Google Scholar]
- Taleb, F.; Bendimerad, F.T.; Roviras, D. Very high efficiency differential chaos shift keying system. IET Commun. 2016, 10, 2300–2307. [Google Scholar] [CrossRef]
- Cao, X.; Liu, L.; Cheng, Y.; Shen, X. Towards energy-efficient wireless networking in the big data era: A survey. IEEE Commun. Surveys Tuts. 2018, 20, 303–332. [Google Scholar] [CrossRef]
- Dai, L.; Jiao, R.; Adachi, F.; Vincent Poor, H.; Hanzo, L. Deep learning for wireless communications: An emerging interdisciplinary paradigm. IEEE Wirel. Commun. 2020, 27, 133–139. [Google Scholar] [CrossRef]
- Merima, K.; Kazaz, T.; Moerman, I.; De Poorter, E. End-to-end learning from spectrum data: A deep learning approach for wireless signal identification in spectrum monitoring applications. IEEE Access 2018, 6, 18484–18501. [Google Scholar]
- Nariman, F.; Goldsmith, A. Neural network detection of data sequences in communication systems. IEEE Trans. Signal Process. 2018, 66, 5663–5678. [Google Scholar]
- Ye, H.; Li, G.Y.; Juang, B.H. Power of Deep Learning for Channel Estimation and Signal Detection in OFDM Systems. IEEE Wirel. Commun. Lett. 2018, 7, 114–117. [Google Scholar] [CrossRef]
- Zha, X.; Peng, H.; Qin, X.; Li, G.; Yang, S. A deep learning framework for signal detection and modulation classification. Sensors 2019, 19, 4042. [Google Scholar] [CrossRef] [Green Version]
- Liu, C.; Wei, Z.; Ng, D.W.K.; Yuan, J.; Liang, Y.C. Deep Transfer Learning for Signal Detection in Ambient Backscatter Communications. IEEE Trans. Wirel. Commun. 2020, 20, 1624–1638. [Google Scholar] [CrossRef]
- Weiss, K.; Khoshgoftaar, T.M.; Wang, D. A survey of transfer learning. J. Big Data 2016, 3, 1–40. [Google Scholar] [CrossRef] [Green Version]
- Tan, C.; Sun, F.; Kong, T.; Zhang, W.; Yang, C.; Liu, C. A survey on deep transfer learning. In Proceedings of theInternational Conference on Artificial Neural Networks (ICANN), Rhodes, Greece, 4–7 October 2018; Springer: Berlin/Heidelberg, Germany, 2018; pp. 270–279. [Google Scholar]
- Pathak, J.; Hunt, B.; Girvan, M.; Lu, Z.; Ott, E. Model-Free Prediction of Large Spatiotemporally Chaotic Systems from Data: A Reservoir Computing Approach. Phys. Rev. Lett. 2018, 120, 024102. [Google Scholar] [CrossRef] [Green Version]
- Mobini, M.; Kaddoum, G. Deep Chaos Synchronization. IEEE Open J. Commun. Soc. 2020, 1, 1571–1582. [Google Scholar] [CrossRef]
- Zhang, H.; Zhang, L.; Cheng, J.; Jiang, Y.; Wu, Z. An Intelligent Detection Based on Deep Learning for Multilevel Code Shifted Differential Chaos Shift Keying System With M-ary Modulation. IEEE Trans. Cogn. Commun. 2021, 66, 1451–1455. [Google Scholar] [CrossRef]
- Chen, B.; Zhang, L.; Wu, Z. General iterative receiver design for enhanced reliability in multi-carrier differential chaos shift keying systems. IEEE Trans. Commun. 2020, 67, 7824–7839. [Google Scholar] [CrossRef]
- Zhang, L.; Zhang, C.; Jiang, Y.; Wu, Z. Intelligent and Reliable Deep Learning LSTM Neural Networks-based OFDM-DCSK Demodulation Design. IEEE Trans. Veh. Technol. 2020, 69, 16163–16167. [Google Scholar] [CrossRef]
- Kaddoum, G.; Soujeri, E.; Arcila, C.; Eshteiwi, K. I-DCSK: An improved non-coherent communication system architecture. IEEE Trans. Circuits Syst. II Exp. Briefs 2015, 62, 1–5. [Google Scholar]
- Wang, S.; Lu, S.; Zhang, E. MIMO-DCSK communication scheme and its performance analysis over multipath fading channels. J. Syst. Eng. Electron. 2013, 24, 729–733. [Google Scholar] [CrossRef]
- Fang, Y.; Xu, J.; Wang, L.; Chen, G. Performance of MIMO relay DCSK-CD systems over Nakagami fading channels. IEEE Trans. Circuits Syst. I Reg. Papers 2013, 3, 757–767. [Google Scholar] [CrossRef] [Green Version]
- Kumar, A.; Sahu, P.R. Performance analysis of DCSK-SR systems based on best relay selection in multiple MIMO relay environment. AEU Int. J. Electron. Commun. 2016, 70, 18–24. [Google Scholar] [CrossRef]
- Zhang, G.; Zhao, C.; Zhang, T. Performance analysis of MISO-MU-OHE-DCSK system over Rayleigh fading channels. AEU Int. J. Electron. Commun. 2020, 115, 153048. [Google Scholar] [CrossRef]
- Ahmadinejad, A.; Talebi, S. Performance evaluation of chaotic spreading sequences in a multi-user MIMO-OFDM system. Phys Commun. 2016, 19, 7–11. [Google Scholar] [CrossRef]
- Kaddoum, G.; Vu, M.; Gagnon, F. Performance analysis of differential chaotic shift keying communications in MIMO systems. In Proceedings of the 2011 IEEE International Symposium of Circuits and Systems (ISCAS), Rio de Janeiro, Brazil, 15–18 May 2011; pp. 1580–1583. [Google Scholar]
- Ma, M.A.; Kan, H.B. Space-time coding and processing with differential chaos shift keying scheme. In Proceedings of the IEEE International Conference on Communications (ICC), Dresden, Germany, 14–18 June 2009; pp. 1–5. [Google Scholar]
- Wang, L.; Min, X.; Chen, G. Performance of SIMO FM-DCSK UWB system based on chaotic pulse cluster signals. IEEE Trans. Circuits Syst. I Reg. Papers 2011, 58, 2259–2268. [Google Scholar] [CrossRef]
- Karim, F.; Majumdar, S.; Darabi, H.; Chen, S. LSTM fully convolutional networks for time series classification. IEEE Access 2017, 6, 1662–1669. [Google Scholar] [CrossRef]
- Ma, H.; Cai, G.; Fang, Y.; Wen, J.; Chen, P.; Akhtar, S. A new enhanced energy-detector-based FM-DCSK UWB system for tactile Internet. IEEE Trans. Ind. Inform. 2019, 15, 3028–3039. [Google Scholar] [CrossRef]
- Chen, P.; Shi, L.; Fang, Y.; Cai, G.; Wang, L.; Chen, G. A coded DCSK modulation system over Rayleigh fading channels. IEEE Trans. Commun. 2018, 66, 3930–3942. [Google Scholar] [CrossRef]
- Xu, W.; Tan, Y.; Lau, F.C.M.; Kolumbán, G. Design and optimization of differential chaos shift keying scheme with code index modulation. IEEE Trans. Commun. 2018, 66, 1970–1980. [Google Scholar] [CrossRef]
- Chen, P.; Wang, L.; Lau, F.C.M. One Analog STBC-DCSK Transmission Scheme not Requiring Channel State Information. IEEE Trans. Circuits Syst. I Reg. Papers 2013, 60, 1027–1037. [Google Scholar] [CrossRef]
- Rodriguez, J.J.; Kuncheva, L.I.; Alonso, C.J. Rotation forest: A new classifier ensemble method. IEEE Trans. Pattern Anal. Mach. Intell. 2006, 28, 1619–1630. [Google Scholar] [CrossRef] [PubMed]
- Ke, R.; Li, Z.; Tang, J.; Pan, Z.; Wang, Y. Real-time traffic flow parameter estimation from UAV video based on ensemble classifier and optical flow. IEEE Trans. Intell. Transp. Syst. 2018, 20, 54–64. [Google Scholar] [CrossRef]
- Saqlain, M.; Jargalsaikhan, B.; Lee, J.Y. A voting ensemble classifier for wafer map defect patterns identification in semiconductor manufacturing. IEEE Trans. Semicond. Manuf. 2019, 32, 171–182. [Google Scholar] [CrossRef]
- Sadeghi, M.; Larsson, E.G.; Lee, J.Y. Physical adversarial attacks against end-to-end autoencoder communication systems. IEEE Commun. Lett. 2019, 23, 847–850. [Google Scholar] [CrossRef] [Green Version]
- Mobini, M.; Zahabi, M.R. Masking communication using Sprott94 case A chaotic system in AWGN channel. J. World’s Electr. Eng. Technol. 2018, 7, 9–16. [Google Scholar]
- Fu, J.S.; Liu, Y.; Chao, H.C.; Bhargava, B.K.; Zhang, Z.J. Secure data storage and searching for industrial IoT by integrating fog computing and cloud computing. IEEE Trans. Ind. Inform. 2018, 14, 4519–4528. [Google Scholar] [CrossRef]
- Ye, H.; Li, G.Y.; Juang, B.H.F. Deep reinforcement learning based resource allocation for V2V communications. IEEE Trans. Ind. Inform. 2019, 68, 3163–3173. [Google Scholar] [CrossRef] [Green Version]
- Liang, L.; Peng, H.; Li, G.Y.; Shen, X. Vehicular communications: A physical layer perspective. IEEE Trans. Veh. Technol. 2017, 66, 10647–10659. [Google Scholar] [CrossRef]
- Feng, D.; Lu, L.; Yuan-Wu, Y.; Li, G.Y.; Li, S.; Feng, G. Device to-device communications in cellular networks. IEEE Commun. Mag. 2014, 52, 49–55. [Google Scholar] [CrossRef]
- Kim, K.; Lee, J.; Choi, J. Deep learning based pilot allocation scheme (DL-PAS) for 5G massive MIMO system. IEEE Commun. Lett. 2018, 22, 828–831. [Google Scholar] [CrossRef]
- Liu, Z.; Zhang, L.; Wu, Z.; Bian, J. A secure and robust frequency and time diversity aided OFDM–DCSK modulation system not requiring channel state information. IEEE Trans. Commun. 2019, 68, 1684–1697. [Google Scholar] [CrossRef]
- Sanguinetti, L.; Björnson, E.; Hoydis, J. Toward massive MIMO 2.0: Understanding spatial correlation, interference suppression, and pilot contamination. IEEE Trans. Commun. 2019, 68, 232–257. [Google Scholar] [CrossRef] [Green Version]
- Chen-Hu, K.; Liu, Y.; Armada, Y. Toward Non-Coherent Massive MIMO-OFDM Down-Link based on Differential Modulation. IEEE Trans. Veh. Technol. 2020, 69, 11281–11294. [Google Scholar] [CrossRef]
- Teng, L.; Iu, H.H.; Wang, X.; Wang, X. Novel chaotic behavior in the Muthuswamy–Chua system using Chebyshev polynomials. Int. J. Numer. Model. Electron. Netw. Devices Fields 2015, 28, 275–286. [Google Scholar] [CrossRef]
- Wang, Y.; Liu, Z.; Ma, J.; He, H. A pseudorandom number generator based on piecewise logistic map. Nonlinear Dyn. 2016, 83, 2373–2391. [Google Scholar] [CrossRef]
- Heidari-bateni, G.; McGillem, C.D. Chaotic directsequence spread-spectrum communication system. IEEE Trans. Commun. 1994, 42, 1524–1527. [Google Scholar] [CrossRef]
- Miliou, A.N.; Antoniades, I.P.; Stavrinides, S.G.; Anagnostopoulos, A.N. Secure communication by chaotic synchronization: Robustness under noisy conditions. Nonlinear Anal. Real World Appl. 2007, 8, 1003–1012. [Google Scholar] [CrossRef]
- Herceg, M.; Kaddoum, G.; Vranješ, D.; Soujeri, E. Permutation index DCSK modulation technique for secure multiuser high-data-rate communication systems. IEEE Trans. Veh. Technol. 2017, 67, 2997–3011. [Google Scholar] [CrossRef]
- Wang, T.; Wen, C.K.; Wang, H.; Gao, F.; Jiang, T.; Jin, S. Deep learning for wireless physical layer: Opportunities and challenges. China Commun. 2017, 14, 92–111. [Google Scholar] [CrossRef]
- Liu, C.; Liu, X.; Ng, D.W.K.; Yuan, J. Deep residual learning for channel estimation in intelligent reflecting surface-assisted multi-user communications. IEEE Trans. Wirel. Commun. 2021. [Google Scholar] [CrossRef]
- Soltani, M.; Pourahmadi, V.; Mirzaei, A.; Sheikhzadeh, H.; Jin, S. Deep Learning-Based Channel Estimation. IEEE Commun. Lett. 2019, 23, 652–655. [Google Scholar] [CrossRef] [Green Version]
- Rappaport, T.S. Wireless Communications: Principles and Practice; IEEE Press: Piscataway, NJ, USA, 1996; pp. 210–214. [Google Scholar]
- Hochreiter, S.; Schmidhuber, J. Long short-term memory. Neural Comput. 1997, 9, 1735–1780. [Google Scholar] [CrossRef]
- Erpek, T.; O’Shea, T.J.; Sagduyu, Y.E.; Shi, Y.; Clancy, T.C. Deep learning for wireless communications. In Development and Analysis of Deep Learning Architectures; Springer: Cham, Switzerland, 2020; pp. 223–266. [Google Scholar]
- O’Shea, T.J.; Erpek, T.; Clancy, T.C. “Physical layer deep learning of encodings for the MIMO fading channel. In Proceedings of the 2017 55th Annual Allerton Conference on Communication, Control, and Computing (Allerton), Monticello, IL, USA, 3–6 October 2017; pp. 76–80. [Google Scholar]
- Chen, Z.; Yuan, J.; Vucetic, B. Analysis of transmit antenna selection/maximal-ratio combining in Rayleigh fading channels. IEEE Trans. Veh. Technol. 2005, 54, 1312–1321. [Google Scholar] [CrossRef]
- Webb, A.R.; Copsey, K.D.; Vucetic, B. Ensemble methods. Stat. Pattern Recognit. 2011, 361–403. [Google Scholar] [CrossRef]
- Mohandes, M.; Deriche, M.; Aliyu, S.O. Classifiers combination techniques: A comprehensive review. IEEE Access 2018, 6, 19626–19639. [Google Scholar] [CrossRef]
- Kaddoum, G. Wireless chaos-based communication systems: A comprehensive survey. IEEE Access 2016, 4, 2621–2648. [Google Scholar] [CrossRef]
- Zhang, W.; Zhang, Z. Belief function based decision fusion for decentralized target classification in wireless sensor networks. Sensors 2015, 15, 20524–20540. [Google Scholar] [CrossRef] [PubMed] [Green Version]
- Ekbiyik, K.; Akbunar, Ö.; Ekti, A.R.; Kurt, G.K.; Görçin, A. On the investigation of wireless signal identification using spectral correlation function and SVMs. In Proceedings of the 2019 IEEE Wireless Communications and Networking Conference (WCNC), Marrakesh, Morocco, 15–18 April 2019; pp. 1–5. [Google Scholar]
- Whang, J.; Whang, Y.; Li, W.; Gui, G.; Gacanin, H.; Adachi, F. Automatic Modulation Recognition Method for Multiple Antenna System Based on Convolutional Neural Network. In Proceedings of the 2020 IEEE 92nd Vehicular Technology Conference (VTC2020-Fall), Victoria, BC, Canada, 4–7 October 2020; pp. 1–5. [Google Scholar]











| Variable | Description | Case 1 | Case 2 |
|---|---|---|---|
| S | Number of training samples (for each class) | ||
| N | Number of training signals (for each class) | 2000 | 200 |
| Length of chaotic signals | 50 | 50 | |
| Number of validation samples (for each class) | |||
| Z | Number of test signals | ||
| Mini-batch size | 200 | 200 | |
| H | Number of hidden units | 100 | 10 |
| E | Number of epochs | 20 | 500 |
| Learning Rate |
Publisher’s Note: MDPI stays neutral with regard to jurisdictional claims in published maps and institutional affiliations. |
© 2022 by the authors. Licensee MDPI, Basel, Switzerland. This article is an open access article distributed under the terms and conditions of the Creative Commons Attribution (CC BY) license (https://creativecommons.org/licenses/by/4.0/).
Share and Cite
Mobini, M.; Kaddoum, G.; Herceg, M. Design of a SIMO Deep Learning-Based Chaos Shift Keying (DLCSK) Communication System. Sensors 2022, 22, 333. https://doi.org/10.3390/s22010333
Mobini M, Kaddoum G, Herceg M. Design of a SIMO Deep Learning-Based Chaos Shift Keying (DLCSK) Communication System. Sensors. 2022; 22(1):333. https://doi.org/10.3390/s22010333
Chicago/Turabian StyleMobini, Majid, Georges Kaddoum, and Marijan Herceg. 2022. "Design of a SIMO Deep Learning-Based Chaos Shift Keying (DLCSK) Communication System" Sensors 22, no. 1: 333. https://doi.org/10.3390/s22010333
APA StyleMobini, M., Kaddoum, G., & Herceg, M. (2022). Design of a SIMO Deep Learning-Based Chaos Shift Keying (DLCSK) Communication System. Sensors, 22(1), 333. https://doi.org/10.3390/s22010333

