Advanced Feature Extraction and Selection Approach Using Deep Learning and Aquila Optimizer for IoT Intrusion Detection System
Abstract
:1. Introduction
- Using the combination of deep learning and Aquila optimizer (AQU) to enhance IoT security.
- A feature extractor technique based on CNN is applied to extract relevant features from the datasets,
- A binary version of the Aquila optimizer is adopted as an FS technique that is used to select optimal features and enhance the classification accuracy.
- Extensive evaluation is carried out with four public datasets and extensive comparisons to other methods to confirm the quality of the developed approach.
2. Related Works
3. Background
Aquila Optimizer (AQU)
4. Proposed Model
4.1. Representation of Collect IoT Dataset
4.2. Convolutional Neural Network for Feature Extraction
4.3. Feature Selection
4.3.1. Generation Initial Population
4.3.2. Updating Population
4.3.3. Terminal Criteria
4.3.4. Validation Stage
| Algorithm 1 Proposed FS For IoT security. |
|
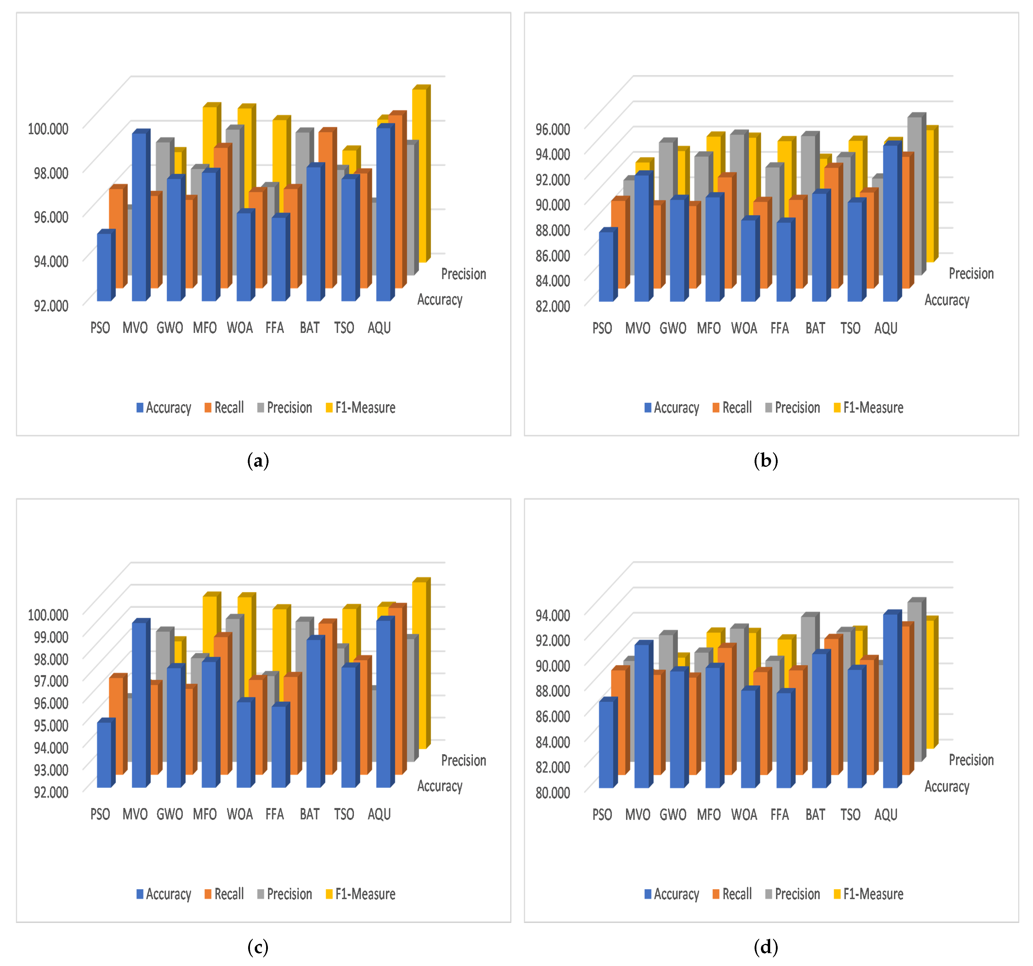
5. Experiment Results and Discussion
5.1. Performance Measures
- Average accuracy : The accuracy metric represents the rate of correct detection of the intrusion, and it is formulated as:in which refers to the iteration number(number of runs).
- Average Recall : or true positive rate (TPR), represents the percentage of predicting positive intrusion. It can be computed as:
- Average Precision : this illustrates the percentage of true positive cases among all the the positive cases. The can be calculated as:
- Performance Improvement Rate (PIR): This measure is applied to estimate the improvement rates obtained by the proposed technique. it can be computed as:where and refer to the value of measure (i.e., Precision, Accuracy, Recall, and F1-measure) of the proposed AQU and other algorithms, respectively.
5.2. Experimental Setup
5.3. Dataset Description
- KDDCup-99 and NSL-KDD: The two datasets are described in Figure 4 with their detailed statistics. The first dataset is KDDCup-99, collected from the DARPA intrusion detection challenge (1998), incorporating 100’s users after monitoring the network traffic on 1000’s machines using UNIX operating system. The challenge period lasts for ten weeks by the MIT Lincon laboratory to store the collected traffic data in TCP dump format. Our experiments used 10% of the collected traffic data to build the KDDCup-99 dataset, which contains five attack types and 41 features. The KDDCup-99 dataset features are classified into three categories, including basic, content, and time-based traffic features. The second dataset is NSL-KDD, a derived copy from the full KDDCup-99 dataset after performing deduplication of the duplicated traffic records.
- BoT-IoT: the Bot-IoT dataset [60] was collected in The center of UNSW Canberra Cyber using smart home appliances in a laboratory environment (the Cyber Range Lab). The dataset contains Industrial IoT (IIoT) traffic samples collected for IIoT experiments. The smart home appliances include weather monitoring systems, thermostats, kitchen appliances, and freezers and motion-controlled lights to record the traffic data. In our experiments, we used the 5% of the full Bot-IoT dataset, which consists of 3.6 million records, where the full dataset contains over 72 million records. The 5% of the entire dataset contains the best ten features extracted from the raw data and categorized into five main classes as described in Figure 5.
- CICIDS-2017: The CICIDS-2017 [61] dataset is a collection of network traffic samples collected in CIC (The Canadian Institute for Cybersecurity at the University of New Brunswick.) for the intrusion detection task. The dataset consists of more than 1.5M PCAPs data simulating traffic data transferred in real-world using the CICFlowMeter software after analyzing 25 user behaviors covering various network protocols such as HTTP and SSH protocols. The collected data were categorized into eight main attack classes as described in Figure 6. Our experiments used the following collected CSV files: Tuesday-working hours, Friday-WorkingHours-Afternoon-PortScan, Friday-WorkingHours-Afternoon-DDos, and Thursday-WorkingHours-Morning-WebAttacks.
5.4. Results and Discussion
6. Conclusions
Author Contributions
Funding
Institutional Review Board Statement
Informed Consent Statement
Data Availability Statement
Conflicts of Interest
References
- Zhou, Y.; Cheng, G.; Jiang, S.; Dai, M. Building an efficient intrusion detection system based on feature selection and ensemble classifier. Comput. Netw. 2020, 174, 107247. [Google Scholar] [CrossRef] [Green Version]
- Zhao, X.; Zhang, W. An anomaly intrusion detection method based on improved k-means of cloud computing. In Proceedings of the 2016 Sixth International Conference on Instrumentation & Measurement, Computer, Communication and Control (IMCCC), Harbin, China, 21–23 July 2016; pp. 284–288. [Google Scholar]
- Kumar, G.R.; Mangathayaru, N.; Narasimha, G. An improved k-Means Clustering algorithm for Intrusion Detection using Gaussian function. In Proceedings of the The International Conference on Engineering & MIS 2015, Istanbul, Turkey, 24–26 September 2015; pp. 1–7. [Google Scholar]
- Modi, C.; Patel, D.; Borisanya, B.; Patel, A.; Rajarajan, M. A novel framework for intrusion detection in cloud. In Proceedings of the fifth International Conference on Security of Information and Networks, Jaipur, India, 25–27 October 2012; pp. 67–74. [Google Scholar]
- Peng, K.; Leung, V.; Zheng, L.; Wang, S.; Huang, C.; Lin, T. Intrusion detection system based on decision tree over big data in fog environment. Wirel. Commun. Mob. Comput. 2018, 2018, 4680867. [Google Scholar] [CrossRef] [Green Version]
- Ghosh, P.; Mandal, A.K.; Kumar, R. An efficient cloud network intrusion detection system. In Information Systems Design and Intelligent Applications; Springer: Berlin/Heidelberg, Germany, 2015; pp. 91–99. [Google Scholar]
- Deshpande, P.; Sharma, S.C.; Peddoju, S.K.; Junaid, S. HIDS: A host based intrusion detection system for cloud computing environment. Int. J. Syst. Assur. Eng. Manag. 2018, 9, 567–576. [Google Scholar] [CrossRef]
- Wei, J.; Long, C.; Li, J.; Zhao, J. An intrusion detection algorithm based on bag representation with ensemble support vector machine in cloud computing. Concurr. Comput. Pract. Exp. 2020, 32, e5922. [Google Scholar] [CrossRef]
- Schueller, Q.; Basu, K.; Younas, M.; Patel, M.; Ball, F. A hierarchical intrusion detection system using support vector machine for SDN network in cloud data center. In Proceedings of the 2018 28th International Telecommunication Networks and Applications Conference (ITNAC), Sydney, NSW, Australia, 21–23 November 2018; pp. 1–6. [Google Scholar]
- Hodo, E.; Bellekens, X.; Hamilton, A.; Dubouilh, P.L.; Iorkyase, E.; Tachtatzis, C.; Atkinson, R. Threat analysis of IoT networks using artificial neural network intrusion detection system. In Proceedings of the 2016 International Symposium on Networks, Computers and Communications (ISNCC), Yasmine Hammamet, Tunisia, 11–13 May 2016; pp. 1–6. [Google Scholar]
- Wu, K.; Chen, Z.; Li, W. A novel intrusion detection model for a massive network using convolutional neural networks. IEEE Access 2018, 6, 50850–50859. [Google Scholar] [CrossRef]
- Almiani, M.; AbuGhazleh, A.; Al-Rahayfeh, A.; Atiewi, S.; Razaque, A. Deep recurrent neural network for IoT intrusion detection system. Simul. Model. Pract. Theory 2020, 101, 102031. [Google Scholar] [CrossRef]
- Al-qaness, M.A. Device-free human micro-activity recognition method using WiFi signals. Geo-Spat. Inf. Sci. 2019, 22, 128–137. [Google Scholar] [CrossRef]
- Seth, J.K.; Chandra, S. MIDS: Metaheuristic based intrusion detection system for cloud using k-NN and MGWO. In Proceedings of the International Conference on Advances in Computing and Data Sciences, Dehradun, India, 20–21 April 2018; Springer: Berlin/Heidelberg, Germany, 2018; pp. 411–420. [Google Scholar]
- RM, S.P.; Maddikunta, P.K.R.; Parimala, M.; Koppu, S.; Gadekallu, T.R.; Chowdhary, C.L.; Alazab, M. An effective feature engineering for DNN using hybrid PCA-GWO for intrusion detection in IoMT architecture. Comput. Commun. 2020, 160, 139–149. [Google Scholar]
- SaiSindhuTheja, R.; Shyam, G.K. An efficient metaheuristic algorithm based feature selection and recurrent neural network for DoS attack detection in cloud computing environment. Appl. Soft Comput. 2021, 100, 106997. [Google Scholar] [CrossRef]
- Nguyen, M.T.; Kim, K. Genetic convolutional neural network for intrusion detection systems. Future Gener. Comput. Syst. 2020, 113, 418–427. [Google Scholar] [CrossRef]
- Raman, M.G.; Somu, N.; Kirthivasan, K.; Liscano, R.; Sriram, V.S. An efficient intrusion detection system based on hypergraph-Genetic algorithm for parameter optimization and feature selection in support vector machine. Knowl.-Based Syst. 2017, 134, 1–12. [Google Scholar] [CrossRef]
- Malhotra, S.; Bali, V.; Paliwal, K. Genetic programming and K-nearest neighbour classifier based intrusion detection model. In Proceedings of the 2017 7th International Conference on Cloud Computing, Data Science & Engineering-Confluence, Noida, India, 12–13 January 2017; pp. 42–46. [Google Scholar]
- Al-qaness, M.A.; Ewees, A.A.; Abd Elaziz, M. Modified whale optimization algorithm for solving unrelated parallel machine scheduling problems. Soft Comput. 2021, 25, 9545–9557. [Google Scholar] [CrossRef]
- Mayuranathan, M.; Murugan, M.; Dhanakoti, V. Best features based intrusion detection system by RBM model for detecting DDoS in cloud environment. J. Ambient. Intell. Humaniz. Comput. 2019, 12, 3609–3619. [Google Scholar] [CrossRef]
- Ghosh, P.; Karmakar, A.; Sharma, J.; Phadikar, S. CS-PSO based intrusion detection system in cloud environment. In Emerging Technologies in Data Mining and Information Security; Springer: Berlin/Heidelberg, Germany, 2019; pp. 261–269. [Google Scholar]
- Abualigah, L.; Yousri, D.; Abd Elaziz, M.; Ewees, A.A.; Al-qaness, M.A.; Gandomi, A.H. Aquila Optimizer: A novel meta-heuristic optimization Algorithm. Comput. Ind. Eng. 2021, 157, 107250. [Google Scholar] [CrossRef]
- Wang, S.; Jia, H.; Abualigah, L.; Liu, Q.; Zheng, R. An Improved Hybrid Aquila Optimizer and Harris Hawks Algorithm for Solving Industrial Engineering Optimization Problems. Processes 2021, 9, 1551. [Google Scholar] [CrossRef]
- Abd Elaziz, M.; Dahou, A.; Alsaleh, N.A.; Elsheikh, A.H.; Saba, A.I.; Ahmadein, M. Boosting COVID-19 Image Classification Using MobileNetV3 and Aquila Optimizer Algorithm. Entropy 2021, 23, 1383. [Google Scholar] [CrossRef]
- AlRassas, A.M.; Al-qaness, M.A.; Ewees, A.A.; Ren, S.; Abd Elaziz, M.; Damaševičius, R.; Krilavičius, T. Optimized ANFIS model using Aquila Optimizer for oil production forecasting. Processes 2021, 9, 1194. [Google Scholar] [CrossRef]
- Shafiq, M.; Tian, Z.; Bashir, A.K.; Du, X.; Guizani, M. IoT malicious traffic identification using wrapper-based feature selection mechanisms. Comput. Secur. 2020, 94, 101863. [Google Scholar] [CrossRef]
- Haddadpajouh, H.; Mohtadi, A.; Dehghantanaha, A.; Karimipour, H.; Lin, X.; Choo, K.K.R. A Multikernel and Metaheuristic Feature Selection Approach for IoT Malware Threat Hunting in the Edge Layer. IEEE Internet Things J. 2020, 8, 4540–4547. [Google Scholar] [CrossRef]
- Shafiq, M.; Tian, Z.; Bashir, A.K.; Du, X.; Guizani, M. CorrAUC: A malicious bot-IoT traffic detection method in IoT network using machine-learning techniques. IEEE Internet Things J. 2020, 8, 3242–3254. [Google Scholar] [CrossRef]
- Davahli, A.; Shamsi, M.; Abaei, G. A lightweight Anomaly detection model using SVM for WSNs in IoT through a hybrid feature selection algorithm based on GA and GWO. J. Comput. Secur. 2020, 7, 63–79. [Google Scholar]
- Mafarja, M.; Heidari, A.A.; Habib, M.; Faris, H.; Thaher, T.; Aljarah, I. Augmented whale feature selection for IoT attacks: Structure, analysis and applications. Future Gener. Comput. Syst. 2020, 112, 18–40. [Google Scholar] [CrossRef]
- Sekhar, R.; Sasirekha, K.; Raja, P.; Thangavel, K. A novel GPU based intrusion detection system using deep autoencoder with Fruitfly optimization. SN Appl. Sci. 2021, 3, 1–16. [Google Scholar] [CrossRef]
- Dwivedi, S.; Vardhan, M.; Tripathi, S. Building an efficient intrusion detection system using grasshopper optimization algorithm for anomaly detection. Clust. Comput. 2021, 24, 1881–1900. [Google Scholar] [CrossRef]
- Kan, X.; Fan, Y.; Fang, Z.; Cao, L.; Xiong, N.N.; Yang, D.; Li, X. A novel IoT network intrusion detection approach based on Adaptive Particle Swarm Optimization Convolutional Neural Network. Inf. Sci. 2021, 568, 147–162. [Google Scholar] [CrossRef]
- Alimi, O.A.; Ouahada, K.; Abu-Mahfouz, A.M.; Rimer, S.; Alimi, K.O.A. Intrusion Detection for Water Distribution Systems based on an Hybrid Particle Swarm Optimization with Back Propagation Neural Network. In Proceedings of the 2021 IEEE AFRICON, Arusha, Tanzania, 13–15 September 2021; pp. 1–5. [Google Scholar]
- HajKacem, M.A.B.; Moslah, M.; Essoussi, N. Spark Based Intrusion Detection System Using Practical Swarm Optimization Clustering. In Artificial Intelligence and Blockchain for Future Cybersecurity Applications; Springer: Berlin/Heidelberg, Germany, 2021; pp. 197–216. [Google Scholar]
- Nandy, S.; Adhikari, M.; Khan, M.A.; Menon, V.G.; Verma, S. An intrusion detection mechanism for secured IoMT framework based on swarm-neural network. IEEE J. Biomed. Health Inform. 2021. [Google Scholar] [CrossRef]
- Talita, A.; Nataza, O.; Rustam, Z. Naïve Bayes Classifier and Particle Swarm Optimization Feature Selection Method for Classifying Intrusion Detection System Dataset. J. Phys. Conf. Ser. 2021, 1752, 012021. [Google Scholar] [CrossRef]
- Angel, J.; Aroyehun, S.T.; Tamayo, A.; Gelbukh, A. NLP-CIC at SemEval-2020 Task 9: Analysing sentiment in code-switching language using a simple deep-learning classifier. In Proceedings of the Fourteenth Workshop on Semantic Evaluation, Barcelona, Spain, 12–13 December 2020; pp. 957–962. [Google Scholar]
- Fan, H.; Du, W.; Dahou, A.; Ewees, A.A.; Yousri, D.; Elaziz, M.A.; Elsheikh, A.H.; Abualigah, L.; Al-qaness, M.A. Social Media Toxicity Classification Using Deep Learning: Real-World Application UK Brexit. Electronics 2021, 10, 1332. [Google Scholar] [CrossRef]
- Xu, L.; Ma, A. Coarse-to-fine waterlogging probability assessment based on remote sensing image and social media data. Geo-Spat. Inf. Sci. 2021, 24, 279–301. [Google Scholar] [CrossRef]
- AL-Alimi, D.; Shao, Y.; Feng, R.; Al-qaness, M.A.; Elaziz, M.A.; Kim, S. Multi-scale geospatial object detection based on shallow-deep feature extraction. Remote Sens. 2019, 11, 2525. [Google Scholar] [CrossRef] [Green Version]
- Sahlol, A.T.; Yousri, D.; Ewees, A.A.; Al-Qaness, M.A.; Damasevicius, R.; Abd Elaziz, M. COVID-19 image classification using deep features and fractional-order marine predators algorithm. Sci. Rep. 2020, 10, 15364. [Google Scholar] [CrossRef]
- Okewu, E.; Misra, S.; Maskeliūnas, R.; Damaševičius, R.; Fernandez-Sanz, L. Optimizing green computing awareness for environmental sustainability and economic security as a stochastic optimization problem. Sustainability 2017, 9, 1857. [Google Scholar] [CrossRef] [Green Version]
- Okewu, E.; Misra, S.; Fernandez, S.L.; Ayeni, F.; Mbarika, V.; Damaševičius, R. Deep neural networks for curbing climate change-induced farmers-herdsmen clashes in a sustainable social inclusion initiative. Probl. Ekorozwoju 2019, 14, 143–155. [Google Scholar]
- Heipke, C.; Rottensteiner, F. Deep learning for geometric and semantic tasks in photogrammetry and remote sensing. Geo-Spat. Inf. Sci. 2020, 23, 10–19. [Google Scholar] [CrossRef]
- Qi, Y.; Chodron Drolma, S.; Zhang, X.; Liang, J.; Jiang, H.; Xu, J.; Ni, T. An investigation of the visual features of urban street vitality using a convolutional neural network. Geo-Spat. Inf. Sci. 2020, 23, 341–351. [Google Scholar] [CrossRef]
- Al-qaness, M.A.; Abbasi, A.A.; Fan, H.; Ibrahim, R.A.; Alsamhi, S.H.; Hawbani, A. An improved YOLO-based road traffic monitoring system. Computing 2021, 103, 211–230. [Google Scholar] [CrossRef]
- Bochkovskiy, A.; Wang, C.Y.; Liao, H.Y.M. YOLOv4: Optimal Speed and Accuracy of Object Detection. arXiv 2020, arXiv:2004.10934. [Google Scholar]
- Nair, V.; Hinton, G.E. Rectified linear units improve restricted boltzmann machines. In Proceedings of the 27th International Conference on Machine Learning (ICML-10), Haifa, Israel, 21–24 June 2010; pp. 807–814. [Google Scholar]
- McFee, B.; Salamon, J.; Bello, J.P. Adaptive pooling operators for weakly labeled sound event detection. IEEE/ACM Trans. Audio Speech Lang. Process. 2018, 26, 2180–2193. [Google Scholar] [CrossRef] [Green Version]
- Kingma, D.P.; Ba, J. Adam: A method for stochastic optimization. arXiv 2014, arXiv:1412.6980. [Google Scholar]
- Yang, X.S.; He, X. Firefly algorithm: Recent advances and applications. Int. J. Swarm Intell. 2013, 1, 36–50. [Google Scholar] [CrossRef] [Green Version]
- Kennedy, J.; Eberhart, R. Particle swarm optimization. In Proceedings of the ICNN’95-International Conference on Neural Networks, Perth, WA, Australia, 27 November–1 December 1995; Volume 4, pp. 1942–1948. [Google Scholar]
- Mirjalili, S.; Lewis, A. The whale optimization algorithm. Adv. Eng. Softw. 2016, 95, 51–67. [Google Scholar] [CrossRef]
- Mirjalili, S. Moth-flame optimization algorithm: A novel nature-inspired heuristic paradigm. Knowl.-Based Syst. 2015, 89, 228–249. [Google Scholar] [CrossRef]
- Mirjalili, S.; Mirjalili, S.M.; Hatamlou, A. Multi-verse optimizer: A nature-inspired algorithm for global optimization. Neural Comput. Appl. 2016, 27, 495–513. [Google Scholar] [CrossRef]
- Yang, X.S. A new metaheuristic bat-inspired algorithm. In Nature Inspired Cooperative Strategies for Optimization (NICSO 2010); Springer: Berlin/Heidelberg, Germany, 2010; pp. 65–74. [Google Scholar]
- Mirjalili, S.; Mirjalili, S.M.; Lewis, A. Grey wolf optimizer. Adv. Eng. Softw. 2014, 69, 46–61. [Google Scholar] [CrossRef] [Green Version]
- Koroniotis, N.; Moustafa, N.; Sitnikova, E.; Turnbull, B. Towards the development of realistic botnet dataset in the internet of things for network forensic analytics: Bot-iot dataset. Future Gener. Comput. Syst. 2019, 100, 779–796. [Google Scholar] [CrossRef] [Green Version]
- Sharafaldin, I.; Lashkari, A.H.; Ghorbani, A.A. Toward generating a new intrusion detection dataset and intrusion traffic characterization. ICISSp 2018, 1, 108–116. [Google Scholar]
- Friedman, M. A comparison of alternative tests of significance for the problem of m rankings. Ann. Math. Stat. 1940, 11, 86–92. [Google Scholar] [CrossRef]









| Predicted Label | ||
|---|---|---|
| Actual Label | Positive | Negative |
| Postive | TP | FN |
| Negative | FP | TN |
| Training | Testing | ||||||||
|---|---|---|---|---|---|---|---|---|---|
| F1 | F1 | ||||||||
| KDD99 | PSO | 90.447 | 93.458 | 90.358 | 90.358 | 82.783 | 85.793 | 84.640 | 83.109 |
| WOA | 92.275 | 93.126 | 92.414 | 97.304 | 84.375 | 85.225 | 82.501 | 87.351 | |
| BAT | 98.007 | 98.247 | 94.847 | 97.337 | 90.347 | 90.587 | 89.134 | 90.093 | |
| TSO | 95.439 | 94.919 | 91.027 | 97.437 | 87.536 | 87.016 | 80.791 | 87.479 | |
| GWO | 95.513 | 92.383 | 94.062 | 98.482 | 87.618 | 84.488 | 84.131 | 88.533 | |
| FFA | 91.988 | 93.368 | 97.328 | 91.538 | 84.318 | 85.698 | 91.609 | 84.285 | |
| MVO | 99.515 | 92.835 | 96.483 | 94.433 | 91.615 | 84.935 | 86.649 | 84.480 | |
| MFO | 96.073 | 97.123 | 97.631 | 98.371 | 88.175 | 89.225 | 87.763 | 88.420 | |
| AQU | 99.920 | 99.917 | 97.542 | 99.920 | 99.919 | 92.042 | 89.824 | 89.987 | |
| BIoT | PSO | 99.483 | 99.483 | 99.483 | 99.483 | 98.942 | 98.972 | 98.941 | 98.940 |
| WOA | 99.472 | 99.472 | 99.472 | 99.472 | 98.956 | 98.964 | 98.957 | 99.005 | |
| BAT | 99.475 | 99.475 | 99.475 | 99.474 | 99.019 | 99.021 | 98.987 | 99.012 | |
| TSO | 99.460 | 99.460 | 99.459 | 99.459 | 98.986 | 98.981 | 98.941 | 99.005 | |
| GWO | 99.477 | 99.477 | 99.476 | 99.476 | 98.990 | 98.959 | 98.975 | 99.019 | |
| FFA | 99.479 | 99.479 | 99.478 | 99.478 | 98.954 | 98.968 | 99.007 | 98.949 | |
| MVO | 99.468 | 99.468 | 99.468 | 99.468 | 99.031 | 98.964 | 99.000 | 98.980 | |
| MFO | 99.480 | 99.480 | 99.480 | 99.480 | 98.998 | 99.009 | 99.013 | 99.020 | |
| AQU | 98.925 | 98.925 | 98.904 | 98.925 | 98.926 | 98.904 | 98.905 | 98.904 | |
| NSL-KDD | PSO | 90.118 | 93.128 | 90.020 | 90.019 | 66.092 | 69.102 | 68.913 | 61.940 |
| WOA | 91.947 | 92.797 | 92.080 | 96.968 | 67.951 | 68.801 | 71.131 | 68.907 | |
| BAT | 97.669 | 97.909 | 94.501 | 96.989 | 73.671 | 73.911 | 73.501 | 68.905 | |
| TSO | 95.078 | 94.558 | 90.657 | 97.067 | 71.330 | 70.810 | 71.298 | 69.697 | |
| GWO | 95.182 | 92.052 | 93.724 | 98.143 | 71.066 | 67.936 | 72.151 | 69.948 | |
| FFA | 91.660 | 93.040 | 96.991 | 91.201 | 67.437 | 68.817 | 75.873 | 62.944 | |
| MVO | 99.182 | 92.502 | 96.145 | 94.093 | 75.224 | 68.544 | 75.200 | 66.098 | |
| MFO | 95.745 | 96.795 | 97.297 | 98.035 | 71.626 | 72.676 | 76.122 | 69.844 | |
| AQU | 99.344 | 99.344 | 99.298 | 99.315 | 76.002 | 76.002 | 81.719 | 71.602 | |
| CIC2017 | PSO | 99.650 | 99.370 | 99.590 | 99.750 | 99.380 | 99.100 | 99.320 | 99.480 |
| WOA | 99.690 | 99.690 | 99.490 | 99.450 | 99.430 | 99.430 | 99.240 | 99.190 | |
| BAT | 99.490 | 99.640 | 99.630 | 99.440 | 99.230 | 99.380 | 99.360 | 99.180 | |
| TSO | 99.680 | 99.710 | 99.750 | 99.680 | 99.420 | 99.450 | 99.480 | 99.420 | |
| GWO | 99.370 | 99.560 | 99.430 | 99.380 | 99.110 | 99.300 | 99.180 | 99.120 | |
| FFA | 99.450 | 99.740 | 99.480 | 99.600 | 99.200 | 99.490 | 99.220 | 99.350 | |
| MVO | 99.530 | 99.370 | 99.390 | 99.410 | 99.270 | 99.110 | 99.120 | 99.150 | |
| MFO | 99.360 | 99.430 | 99.370 | 99.480 | 99.100 | 99.170 | 99.120 | 99.220 | |
| AQU | 99.911 | 99.909 | 99.889 | 99.910 | 99.911 | 99.910 | 99.910 | 99.888 | |
| Training | Testing | ||||||||
|---|---|---|---|---|---|---|---|---|---|
| F1 | F1 | ||||||||
| KDD99 | PSO | 90.449 | 93.459 | 90.359 | 90.359 | 82.775 | 85.785 | 84.638 | 92.702 |
| WOA | 92.278 | 93.128 | 92.418 | 97.308 | 84.608 | 85.458 | 86.699 | 92.705 | |
| BAT | 94.992 | 98.662 | 92.922 | 91.782 | 87.384 | 91.055 | 87.280 | 92.751 | |
| TSO | 95.298 | 94.592 | 90.825 | 97.332 | 87.593 | 87.090 | 85.280 | 92.541 | |
| GWO | 95.518 | 92.388 | 94.068 | 98.488 | 87.860 | 84.730 | 88.357 | 92.716 | |
| FFA | 91.987 | 93.367 | 97.327 | 91.537 | 84.327 | 85.707 | 91.614 | 92.713 | |
| MVO | 99.519 | 92.839 | 96.489 | 94.439 | 91.844 | 85.164 | 90.765 | 92.701 | |
| MFO | 96.079 | 97.129 | 97.639 | 98.379 | 88.413 | 89.463 | 91.922 | 92.710 | |
| AQU | 99.922 | 99.922 | 92.256 | 99.922 | 99.922 | 92.256 | 94.283 | 92.683 | |
| BIoT | PSO | 99.899 | 99.929 | 99.898 | 99.898 | 99.898 | 99.928 | 99.896 | 99.896 |
| WOA | 99.918 | 99.926 | 99.919 | 99.967 | 99.916 | 99.924 | 99.916 | 99.965 | |
| BAT | 99.975 | 99.977 | 99.943 | 99.968 | 99.973 | 99.975 | 99.941 | 99.966 | |
| TSO | 99.949 | 99.944 | 99.905 | 99.969 | 99.947 | 99.942 | 99.903 | 99.967 | |
| GWO | 99.950 | 99.919 | 99.935 | 99.979 | 99.948 | 99.917 | 99.933 | 99.977 | |
| FFA | 99.915 | 99.928 | 99.968 | 99.910 | 99.913 | 99.927 | 99.966 | 99.908 | |
| MVO | 99.990 | 99.923 | 99.959 | 99.939 | 99.989 | 99.922 | 99.958 | 99.937 | |
| MFO | 99.956 | 99.966 | 99.971 | 99.978 | 99.954 | 99.964 | 99.969 | 99.976 | |
| AQU | 99.995 | 99.994 | 99.993 | 99.995 | 99.994 | 99.993 | 99.992 | 99.992 | |
| NSL-KDD | PSO | 90.133 | 93.143 | 90.043 | 90.043 | 67.575 | 70.585 | 73.882 | 67.163 |
| WOA | 91.959 | 92.809 | 92.099 | 96.989 | 69.409 | 70.259 | 75.972 | 74.115 | |
| BAT | 97.693 | 97.933 | 94.533 | 97.023 | 75.192 | 75.432 | 78.473 | 74.197 | |
| TSO | 95.091 | 94.571 | 90.681 | 97.091 | 72.078 | 71.558 | 73.656 | 73.786 | |
| GWO | 95.202 | 92.072 | 93.753 | 98.172 | 72.944 | 69.814 | 77.801 | 75.609 | |
| FFA | 91.673 | 93.053 | 97.013 | 91.223 | 69.218 | 70.598 | 80.944 | 68.451 | |
| MVO | 99.197 | 92.517 | 96.167 | 94.117 | 76.466 | 69.786 | 79.835 | 71.059 | |
| MFO | 95.760 | 96.810 | 97.320 | 98.060 | 73.187 | 74.237 | 81.176 | 75.162 | |
| AQU | 99.348 | 99.348 | 99.350 | 99.348 | 77.382 | 77.382 | 83.692 | 77.077 | |
| CIC2017 | PSO | 99.687 | 99.407 | 99.627 | 99.387 | 99.687 | 99.407 | 99.627 | 99.787 |
| WOA | 99.730 | 99.531 | 99.537 | 99.470 | 99.737 | 99.737 | 99.537 | 99.497 | |
| BAT | 99.537 | 99.647 | 99.667 | 99.472 | 99.537 | 99.687 | 99.667 | 99.487 | |
| TSO | 99.724 | 99.654 | 99.744 | 99.436 | 99.725 | 99.755 | 99.785 | 99.725 | |
| GWO | 99.417 | 99.607 | 99.477 | 99.427 | 99.417 | 99.607 | 99.477 | 99.427 | |
| FFA | 99.497 | 99.601 | 99.517 | 99.470 | 99.497 | 99.787 | 99.517 | 99.647 | |
| MVO | 99.577 | 99.417 | 99.427 | 99.457 | 99.577 | 99.417 | 99.427 | 99.457 | |
| MFO | 99.407 | 99.477 | 99.417 | 99.427 | 99.407 | 99.477 | 99.417 | 99.527 | |
| AQU | 99.996 | 99.996 | 99.996 | 99.996 | 99.997 | 99.997 | 99.997 | 99.997 | |
| PSO | MVO | GWO | MFO | WOA | FFA | BAT | AQU | TSO | |
|---|---|---|---|---|---|---|---|---|---|
| Binary classification | |||||||||
| Accuracy | 1 | 8 | 5.33 | 6.33 | 3 | 2 | 6 | 9 | 4.33 |
| Recall | 4.66 | 1.66 | 1.33 | 7 | 3 | 4.33 | 8 | 9 | 6 |
| Precision | 1.33 | 6 | 4.33 | 8 | 3 | 7 | 4.66 | 9 | 1.66 |
| F1-Measure | 1.66 | 2.66 | 7.66 | 6.33 | 4.33 | 3.33 | 6.33 | 9 | 3.66 |
| Multi classification | |||||||||
| Accuracy | 1 | 8 | 4.66 | 6 | 3 | 2 | 7 | 9 | 4.33 |
| Recall | 5 | 2.16 | 1 | 7 | 2.83 | 4 | 8 | 9 | 6 |
| Precision | 2.16 | 5.66 | 3.66 | 7.33 | 2.33 | 7.66 | 5.66 | 8.66 | 1.83 |
| F1-Measure | 1 | 3 | 7.33 | 7 | 4.33 | 2 | 6.5 | 8.66 | 5.16 |
Publisher’s Note: MDPI stays neutral with regard to jurisdictional claims in published maps and institutional affiliations. |
© 2021 by the authors. Licensee MDPI, Basel, Switzerland. This article is an open access article distributed under the terms and conditions of the Creative Commons Attribution (CC BY) license (https://creativecommons.org/licenses/by/4.0/).
Share and Cite
Fatani, A.; Dahou, A.; Al-qaness, M.A.A.; Lu, S.; Abd Elaziz, M. Advanced Feature Extraction and Selection Approach Using Deep Learning and Aquila Optimizer for IoT Intrusion Detection System. Sensors 2022, 22, 140. https://doi.org/10.3390/s22010140
Fatani A, Dahou A, Al-qaness MAA, Lu S, Abd Elaziz M. Advanced Feature Extraction and Selection Approach Using Deep Learning and Aquila Optimizer for IoT Intrusion Detection System. Sensors. 2022; 22(1):140. https://doi.org/10.3390/s22010140
Chicago/Turabian StyleFatani, Abdulaziz, Abdelghani Dahou, Mohammed A. A. Al-qaness, Songfeng Lu, and Mohamed Abd Elaziz. 2022. "Advanced Feature Extraction and Selection Approach Using Deep Learning and Aquila Optimizer for IoT Intrusion Detection System" Sensors 22, no. 1: 140. https://doi.org/10.3390/s22010140
APA StyleFatani, A., Dahou, A., Al-qaness, M. A. A., Lu, S., & Abd Elaziz, M. (2022). Advanced Feature Extraction and Selection Approach Using Deep Learning and Aquila Optimizer for IoT Intrusion Detection System. Sensors, 22(1), 140. https://doi.org/10.3390/s22010140

