Frequency Response of Pressure-Sensitive Paints under Low-Pressure Conditions
Abstract
1. Introduction
2. Experimental Setup and Analytic Method
2.1. Materials and Preparation
2.1.1. Polymer-Ceramic PSP
2.1.2. Anodized-Aluminum PSP
2.1.3. Thin-Layer Chromatography PSP
2.2. Static Calibration
2.3. Dynamic Calibration
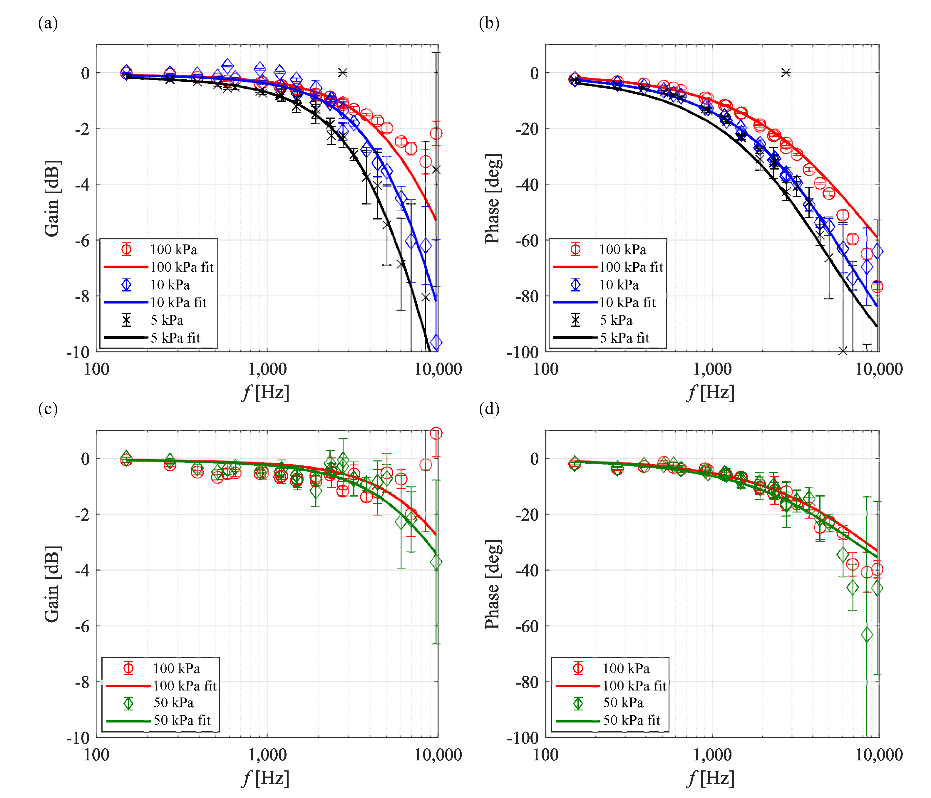
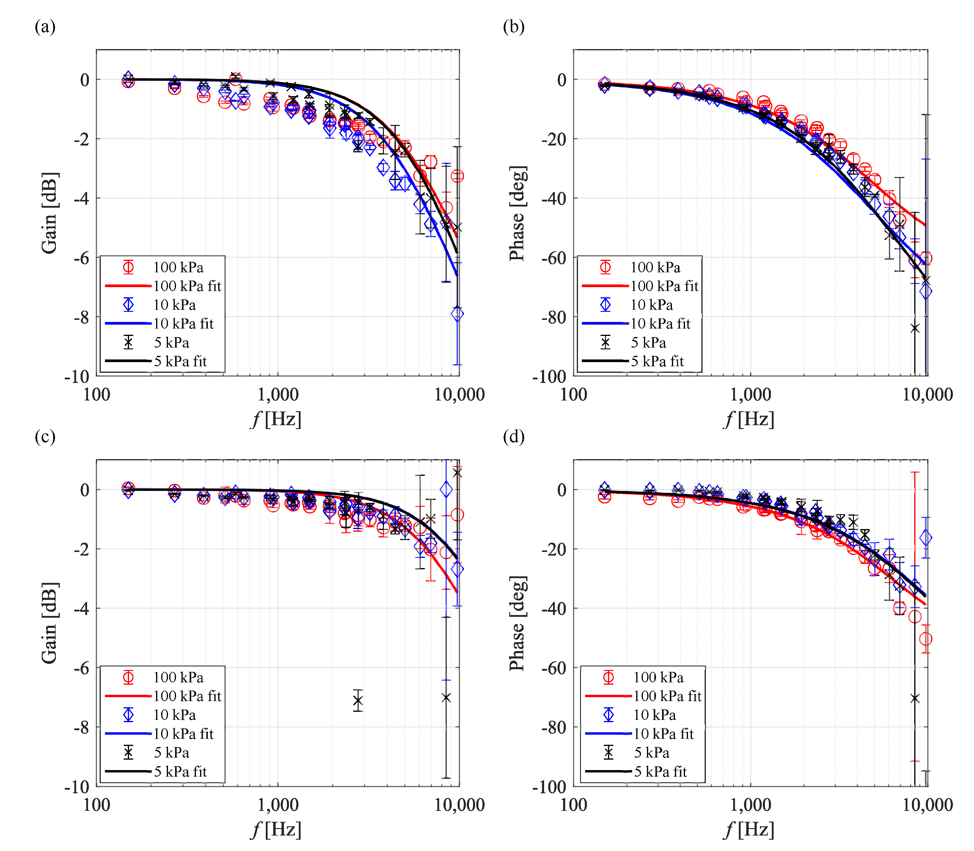
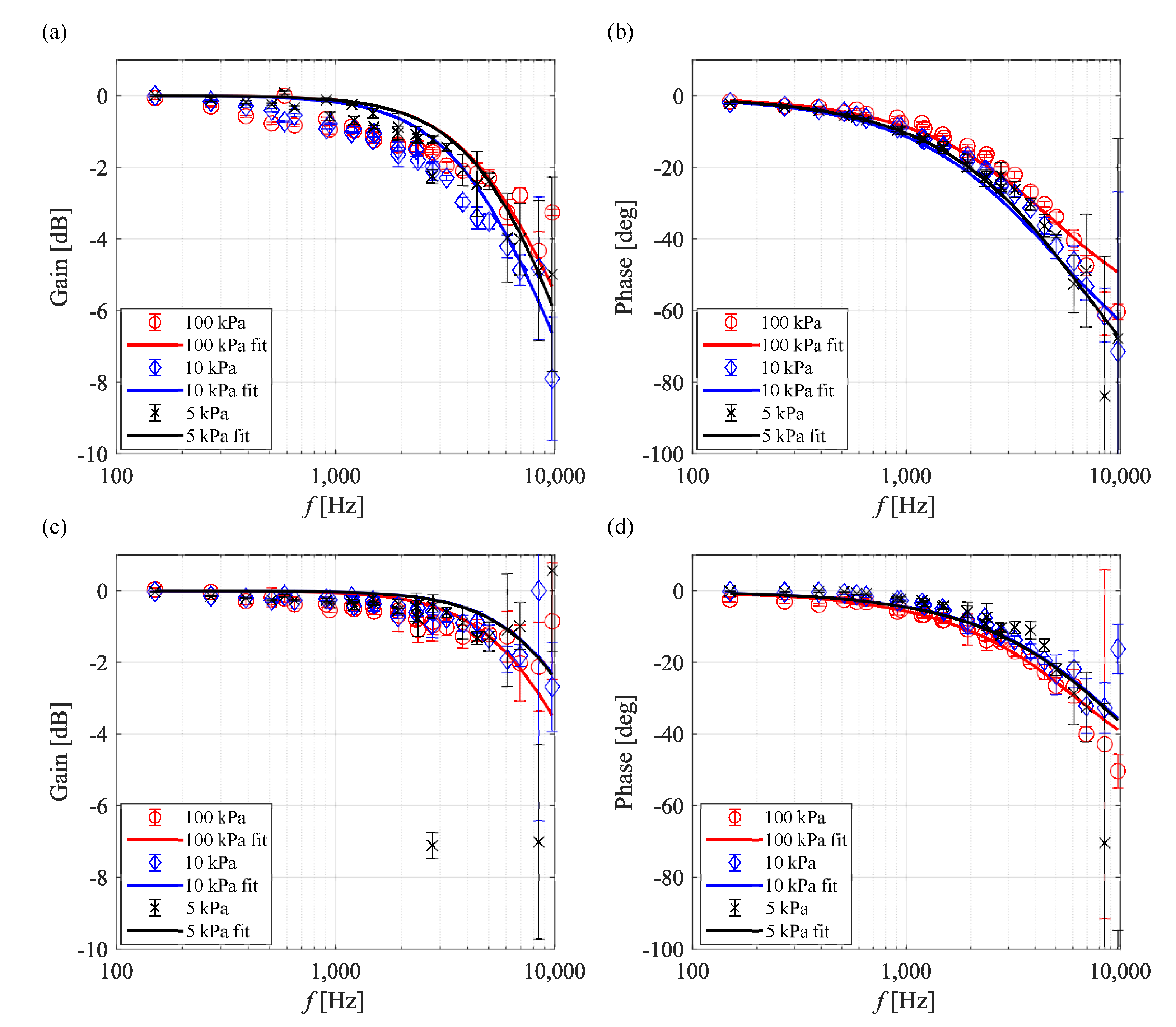
3. Results
3.1. Static Characteristics
3.2. Dynamic Characteristics
4. Discussion
5. Conclusions
Author Contributions
Funding
Institutional Review Board Statement
Informed Consent Statement
Data Availability Statement
Acknowledgments
Conflicts of Interest
References
- Barlow, J.B.; Rae, W.H.; Pope, A. Low-Speed Wind Tunnel Testing; John Wiley & Sons: Hoboken, NJ, USA, 1999. [Google Scholar]
- Liu, T.; Sullivan, J.P. Pressure and Temperature Sensitive Paints; Springer: Berlin/Heidelberg, Germany, 2005. [Google Scholar]
- Asai, K.; Amao, Y.; Iijima, Y.; Okura, I.; Nishide, H. Novel pressure-sensitive paint for cryogenic and unsteady wind-tunnel testing. J. Thermophys. Heat Transf. 2002, 16, 109–115. [Google Scholar] [CrossRef]
- Nagai, K.; Masuda, T.; Nakagawa, T.; Freeman, B.D.; Pinnau, I. Poly [1-(trimethylsilyl)-1-propyne] and related polymers: Synthesis, properties and functions. Prog. Polym. Sci. 2001, 26, 721–798. [Google Scholar] [CrossRef]
- Ono, T.; Anyoji, M.; Ida, S.; Nose, K.; Numata, D.; Nagai, H.; Asai, K. Development of pressure-sensitive paint technique for surface pressure measurement in a Mars wind tunnel. In Proceedings of the 14th ISFV (ISFV14-4D-5), Daegu, Korea, 21–24 June 2010. [Google Scholar]
- Tsuchiya, T.; Numata, D.; Suwa, T.; Asai, K. Influence of turbulence intensity on aerodynamic characteristics of an NACA 0012 at low Reynolds numbers. In Proceedings of the 51st AIAA Aerospace Sciences Meeting including the New Horizons Forum and Aerospace Exposition, Grapevine, TX, USA, 7–10 January 2013. Number AIAA 2013-0065. [Google Scholar]
- Munday, P.M.; Taira, K.; Suwa, T.; Numata, D.; Asai, K. Nonlinear lift on a triangular airfoil in low-Reynolds-number compressible flow. J. Aircr. 2015, 52, 924–931. [Google Scholar] [CrossRef]
- Gregory, J.; Asai, K.; Kameda, M.; Liu, T.; Sullivan, J. A review of pressure-sensitive paint for high-speed and unsteady aerodynamics. Proc. Inst. Mech. Eng. G J. Aerosp. Eng. 2008, 222, 249–290. [Google Scholar] [CrossRef]
- Gregory, J.W.; Sakaue, H.; Liu, T.; Sullivan, J.P. Fast pressure-sensitive paint for flow and acoustic diagnostics. Annu. Rev. Fluid Mech. 2014, 46, 303–330. [Google Scholar] [CrossRef]
- Peng, D.; Liu, Y. Fast pressure-sensitive paint for understanding complex flows: From regular to harsh environments. Exp. Fluids 2020, 61, 8. [Google Scholar] [CrossRef]
- Baron, A.E.; Danielson, J.; Gouterman, M.; Wan, J.R.; Callis, J.B.; McLachlan, B. Submillisecond response times of oxygen-quenched luminescent coatings. Rev. Sci. Instrum. 1993, 64, 3394–3402. [Google Scholar] [CrossRef]
- Sakamura, Y.; Suzuki, T.; Matsumoto, M.; Masuya, G.; Ikeda, Y. Optical measurements of high-frequency pressure fluctuations using a pressure-sensitive paint and Cassegrain optics. Meas. Sci. Technol. 2002, 13, 1591. [Google Scholar] [CrossRef]
- Sakamura, Y.; Matsumoto, M.; Suzuki, T. High frame-rate imaging of surface pressure distribution using a porous pressure-sensitive paint. Meas. Sci. Technol. 2005, 16, 759. [Google Scholar] [CrossRef]
- Quinn, M.K.; Kontis, K. Pressure-sensitive paint measurements of transient shock phenomena. Sensors 2013, 13, 4404–4427. [Google Scholar] [CrossRef]
- Asai, K. Luminescent coating with an extremely high oxygen sensitivity at low temperatures. Patent Pending H9-207351, 1997. [Google Scholar]
- Sakaue, H. Anodized aluminum pressure sensitive paint in a cryogenic wind tunnel. In ISA, Proceedings of the 45th International International Symposium, Albuquerque, NM, USA, 2–6 May 1999; Elsevier: Amsterdam, The Netherlands, 1999; pp. 345–354. [Google Scholar]
- Numata, D.; Fujii, S.; Nagai, H.; Asai, K. Ultrafast-response anodized-aluminum pressure-sensitive paints for unsteady flow measurement. AIAA J. 2017, 55, 1118–1125. [Google Scholar] [CrossRef]
- Nakakita, K.; Takama, Y.; Imagawa, K.; Kato, H. Unsteady PSP measurement of transonic unsteady flow field around a rocket fairing model. In Proceedings of the 28th Aerodynamic Measurement Technology, Ground Testing, and Flight Testing Conference including the Aerospace T&E Days Forum, New Orleans, LA, USA, 25–28 June 2012; p. 2758. [Google Scholar]
- Merienne, M.C.; Le Sant, Y.; Lebrun, F.; Deleglise, B.; Sonnet, D. Transonic buffeting investigation using unsteady pressure-sensitive paint in a large wind tunnel. In Proceedings of the 51st AIAA Aerospace Sciences Meeting including the New Horizons Forum and Aerospace Exposition, Grapevine, TX, USA, 7–10 January 2013; p. 1136. [Google Scholar]
- Merienne, M.C.; Molton, P.; Bur, R.; Le Sant, Y. Pressure-sensitive paint application to an oscillating shock wave in a transonic flow. AIAA J. 2015, 53, 3208–3220. [Google Scholar] [CrossRef]
- Nagata, T.; Noguchi, A.; Kusama, K.; Nonomura, T.; Komuro, A.; Ando, A.; Asai, K. Experimental investigation on compressible flow over a circular cylinder at Reynolds number of between 1000 and 5000. J. Fluid Mech. 2020, 893. [Google Scholar] [CrossRef]
- Scroggin, A.; Slamovich, E.; Crafton, J.; Lachendro, N.; Sullivan, J. Porous polymer/ceramic composites for luminescence-based temperature and pressure measurement. MRS Online Proc. Libr. Arch. 1999, 560. [Google Scholar] [CrossRef]
- Gregory, J.W.; Sakaue, H.; Sullivan, J.P.; Raghu, S. Characterization of miniature fluidic oscillator flowfields using porous pressure sensitive paint. In Proceedings of the ASME Fluids Engineering Division Summer Meeting, New Orleans, LA, USA, 29 May–1 June 2001. [Google Scholar]
- Sugioka, Y.; Koike, S.; Nakakita, K.; Numata, D.; Nonomura, T.; Asai, K. Experimental analysis of transonic buffet on a 3D swept wing using fast-response pressure-sensitive paint. Exp. Fluids 2018, 59, 108. [Google Scholar] [CrossRef]
- Sugioka, Y.; Nakakita, K.; Koike, S.; Nakajima, T.; Nonomura, T.; Asai, K. Characteristic unsteady pressure field on a civil aircraft wing related to the onset of transonic buffet. Exp. Fluids 2021, 62, 1–18. [Google Scholar] [CrossRef]
- Peng, D.; Gu, F.; Li, Y.; Liu, Y. A novel sprayable fast-responding pressure-sensitive paint based on mesoporous silicone dioxide particles. Sens. Actuator A Phys. 2018, 279, 390–398. [Google Scholar] [CrossRef]
- Egami, Y.; Sato, Y.; Konishi, S. Development of Sprayable Pressure-Sensitive Paint with a Response Time of Less Than 10 μs. AIAA J. 2019, 57, 2198–2203. [Google Scholar] [CrossRef]
- Egami, Y.; Hasegawa, Y.; Matsuda, Y.; Ikami, T.; Nagai, H. Ruthenium-based fast-responding pressure-sensitive paint for measuring small pressure fluctuation in low-speed flow field. Meas. Sci. Technol. 2020, 32, 024003. [Google Scholar] [CrossRef]
- Nagata, T.; Kasai, M.; Okudera, T.; Sato, H.; Nonomura, T.; Asai, K. Optimum pressure range evaluation toward aerodynamic measurements using PSP in low-pressure conditions. Meas. Sci. Technol. 2020, 31, 085303. [Google Scholar] [CrossRef]
- Okudera, T.; Nagata, T.; Kasai, M.; Saito, Y.; Nonomura, T.; Asai, K. Effect of Oxygen Mole Fraction on Static Properties of Pressure-Sensitive Paint. Sensors 2021, 21, 1062. [Google Scholar] [CrossRef]
- Gregory, J.W.; Sullivan, J.P. Effect of quenching kinetics on unsteady response of pressure-sensitive paint. AIAA J. 2006, 44, 634–645. [Google Scholar] [CrossRef]
- Sugimoto, T.; Sugioka, Y.; Numata, D.; Nagai, H.; Asai, K. Characterization of frequency response of pressure-sensitive paints. AIAA J. 2017, 55, 1460–1464. [Google Scholar] [CrossRef]
- Kameda, M.; Seki, H.; Makoshi, T.; Amao, Y.; Nakakita, K. A fast-response pressure sensor based on a dye-adsorbed silica nanoparticle film. Sens. Actuators B Chem. 2012, 171, 343–349. [Google Scholar] [CrossRef]
- Pandey, A.; Gregory, J.W. Frequency-response characteristics of polymer/ceramic pressure-sensitive paint. AIAA J. 2016, 54, 174–185. [Google Scholar] [CrossRef]
- Nonomura, T.; Asai, K. Simple Estimation of Frequency Response of Two-layer Pressure-sensitive-paint Model. Trans. Jpn. Soc. Aeronaut. Space Sci. 2019, 62, 112–115. [Google Scholar] [CrossRef]
- Sakaue, H.; Ishii, K. Optimization of anodized-aluminum pressure-sensitive paint by controlling luminophore concentration. Sensors 2010, 10, 6836–6847. [Google Scholar] [CrossRef]
- Sugioka, Y.; Arakida, K.; Kasai, M.; Nonomura, T.; Asai, K.; Egami, Y.; Nakakita, K. Evaluation of the characteristics and coating film structure of polymer/ceramic pressure-sensitive paint. Sensors 2018, 18, 4041. [Google Scholar] [CrossRef]
- Gregory, J.; Sakaue, H.; Sullivan, J. Unsteady pressure measurements in turbomachinery using porous pressure sensitive paint. In Proceedings of the 40th AIAA Aerospace Sciences Meeting & Exhibit, Reno, NV, USA, 14–17 June 2002; p. 84. [Google Scholar]
- Sakaue, H.; Sullivan, J. Time Response of Anodized Alminum Pressure-Sensitive Paint. AIAA J. 2001, 39, 1944–1949. [Google Scholar] [CrossRef]
- Carraway, E.; Demas, J.; DeGraff, B.; Bacon, J. Photophysics and photochemistry of oxygen sensors based on luminescent transition-metal complexes. Anal. Chem. 1991, 63, 337–342. [Google Scholar] [CrossRef]
- Gregory, J.W.; Sullivan, J.P.; Wanis, S.S.; Komerath, N.M. Pressure-sensitive paint as a distributed optical microphone array. J. Acoust. Soc. Am. 2006, 119, 251–261. [Google Scholar] [CrossRef] [PubMed]















| Order of Porous Structure | PC-PSP | AA-PSP | TLC-PSP |
|---|---|---|---|
| Pore size (nm) | - | – | |
| Particle size (nm) | – | - |
| Binder | Dye | Solvent | Dye Coating Type | Thickness (µm) |
|---|---|---|---|---|
| PC-PSP | PtTFPP | Toluene | Spray | 57.5 |
| Ru(dpp) | Hexane | 61.5 | ||
| AA-PSP | PtTFPP | Toluene | Dipping | 10.0 |
| Ru(dpp) | Dichloromethane | 10.2 | ||
| TLC-PSP | PtTFPP | Toluene | Spray | 177.6 |
| Ru(dpp) | Dichloromethane | 154.8 |
| Binder | Dye | Thickness (µm) | Diffusivity (m/s) | Hiding Factor c (1/m) | ||
|---|---|---|---|---|---|---|
| Top | Bottom | Top, | Bottom, | |||
| PC-PSP | PtTFPP | 20.4 | 37.1 | 3.29 × | 5.15 × | 5.21 × |
| Ru(dpp) | 21.0 | 41.5 | 6.98 × | 1.12 × | ||
| AA-PSP | PtTFPP | 10.0 | - | 1.54 × | - | 0 |
| Ru(dpp) | 10.2 | |||||
| TLC-PSP | PtTFPP | 177.6 | 4.54 × | |||
| Ru(dpp) | 154.8 | |||||
| Binder | PC-PSP | AA-PSP | TLC-PSP | ||||
|---|---|---|---|---|---|---|---|
| Dye | PtTFPP | Ru(dpp) | PtTFPP | Ru(dpp) | PtTFPP | Ru(dpp) | |
(%/kPa) | 1–10 kPa | 6.1 | 0.20 | 2.9 | 4.9 | 4.5 | 2.2 |
| 10–100 kPa | 0.55 | 0.085 | 0.41 | 0.59 | 0.54 | 0.50 | |
(%/K) | 1 kPa | 0.28 | 0.30 | 0.18 | 0.37 | 0.33 | 0.44 |
| 10 kPa | 0.63 | 0.31 | 0.39 | 0.60 | 0.51 | 0.77 | |
| 100 kPa | 0.97 | 0.35 | 0.55 | 0.89 | 0.89 | 0.89 | |
(%/min) | 1 kPa | −9.6 | −5.5 | −7.6 | −2.8 | −30 | −8.9 |
| 10 kPa | −3.2 | −0.71 | −2.0 | 1.6 | −7.4 | −2.4 | |
| 100 kPa | 0.87 | −0.71 | 0.44 | 1.1 | 0.41 | −3.4 | |
Publisher’s Note: MDPI stays neutral with regard to jurisdictional claims in published maps and institutional affiliations. |
© 2021 by the authors. Licensee MDPI, Basel, Switzerland. This article is an open access article distributed under the terms and conditions of the Creative Commons Attribution (CC BY) license (https://creativecommons.org/licenses/by/4.0/).
Share and Cite
Kasai, M.; Sasaki, D.; Nagata, T.; Nonomura, T.; Asai, K. Frequency Response of Pressure-Sensitive Paints under Low-Pressure Conditions. Sensors 2021, 21, 3187. https://doi.org/10.3390/s21093187
Kasai M, Sasaki D, Nagata T, Nonomura T, Asai K. Frequency Response of Pressure-Sensitive Paints under Low-Pressure Conditions. Sensors. 2021; 21(9):3187. https://doi.org/10.3390/s21093187
Chicago/Turabian StyleKasai, Miku, Daisuke Sasaki, Takayuki Nagata, Taku Nonomura, and Keisuke Asai. 2021. "Frequency Response of Pressure-Sensitive Paints under Low-Pressure Conditions" Sensors 21, no. 9: 3187. https://doi.org/10.3390/s21093187
APA StyleKasai, M., Sasaki, D., Nagata, T., Nonomura, T., & Asai, K. (2021). Frequency Response of Pressure-Sensitive Paints under Low-Pressure Conditions. Sensors, 21(9), 3187. https://doi.org/10.3390/s21093187

