Comparative Study on Estimation Methods of Dynamic Resistance Using Dynamic Cone Penetrometer
Abstract
1. Introduction
2. Dynamic Cone Penetrometers
2.1. Standard DCP
2.2. Instrumented DCP
3. Experimental Study
3.1. Cone Resistance Profiles
3.2. Dynamic Resistance at Cone Tip
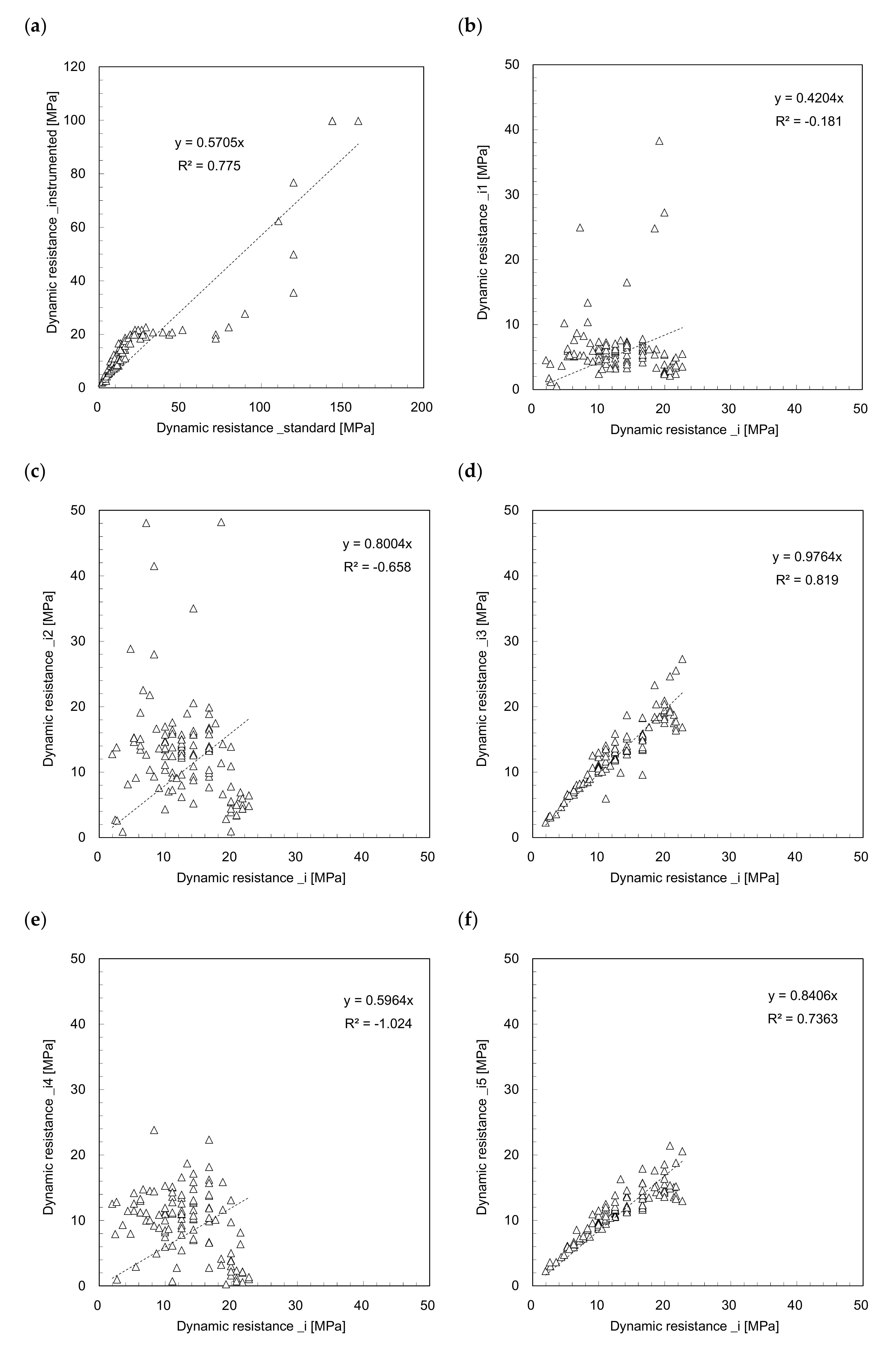
3.3. Comparison
4. Summary and Conclusions
- Dynamic cone resistances, considering the potential energy from the DCP and IDCP, showed a similar trend with a slight difference. Particularly, the dynamic resistance continuously increased with increase in penetration depth owing to the confining stress effect, whereas the DCPI decreased. Thus, for higher strength at deeper penetration depth, dynamic resistance is more efficient in distinguishing the profiles than DCPI;
- For the relationships between dynamic resistances determined using potential energy and dynamic response at the cone tip, the F–V and F methods for longer time periods present a linear trend with a high coefficient of determination;
- Among the dynamic resistances estimated by using the dynamic responses at the cone tip, the relationships between short and long time periods with the same integration methods showed an insignificant trend. Meanwhile, the relationship between the F2 and F–V methods was more reliable than that between the F2 and F methods for a short time period. However, for long time periods, the relationship between the F–V and F methods was the most reliable than the other relationships;
- Consequently, the F–V and F methods for long time periods are efficient for obtaining reliable estimations. Furthermore, considering the limitation of accelerometers, the force-based dynamic resistance for long time periods could be a promising approach for soil characterization.
Author Contributions
Funding
Data Availability Statement
Conflicts of Interest
References
- Sawangsuriya, A.; Edil, T.B. Evaluating stiffness and strength of pavement materials. Proc. Inst. Civ. Eng. Geotech. Eng. 2005, 158, 217–230. [Google Scholar] [CrossRef]
- Byun, Y.H.; Lee, J.S. Instrumented dynamic cone penetrometer corrected with transferred energy into a cone tip: A laboratory study. Geotech. Test. J. 2013, 36, 533–542. [Google Scholar] [CrossRef]
- Nazzal, M.; Abu-Farsakh, M.; Alshibli, K.; Mohammad, L. Evaluating the Potential Use of a Portable LFWD for Characterizing Pavement Layers and Subgrades. In Geotechnical Engineering for Transportation Projects; ASCE: Reston, VA, USA, 2004; pp. 915–924. [Google Scholar]
- Mohammadi, S.D.; Nikoudel, M.R.; Rahimi, H.; Khamehchiyan, M. Application of the Dynamic Cone Penetrometer (DCP) for determination of the engineering parameters of sandy soils. Eng. Geol. 2008, 101, 195–203. [Google Scholar] [CrossRef]
- Du, Y.J.; Jiang, N.J.; Liu, S.Y.; Horpibulsuk, S.; Arulrajah, A. Field evaluation of soft highway subgrade soil stabilized with calcium carbide residue. Soils Found. 2016, 56, 301–314. [Google Scholar] [CrossRef]
- Putri, E.E.; Rao, N.S.V.K.; Mannan, M.A. Evaluation of modulus of elasticity and modulus of subgrade reaction of soils using CBR test. J. Civ. Eng. Res. 2012, 2, 34–40. [Google Scholar] [CrossRef]
- Sujatha, E.R.; Geetha, A.R.; Jananee, R.; Karunya, S.R. Strength and mechanical behaviour of coir reinforced lime stabilized soil. Geomech. Eng. 2018, 16, 627–634. [Google Scholar]
- Gabr, M.A.; Hopkins, K.; Coonse, J.; Hearne, T. DCP criteria for performance evaluation of pavement layers. J. Perform. Constr. Facil. 2000, 14, 141–148. [Google Scholar] [CrossRef]
- George, V.; Rao, N.C.; Shivashankar, R. PFWD, DCP and CBR correlations for evaluation of lateritic subgrades. Int. J. Pavement Eng. 2009, 10, 189–199. [Google Scholar] [CrossRef]
- Byun, Y.H.; Yoon, H.K.; Kim, Y.S.; Hong, S.S.; Lee, J.S. Active layer characterization by instrumented dynamic cone penetrometer in Ny-Alesund, Svalbard. Cold Reg. Sci. Technol. 2014, 104, 45–53. [Google Scholar] [CrossRef]
- Kim, S.Y.; Lee, J.S. Energy correction of dynamic cone penetration index for reliable evaluation of shear strength in frozen sand–silt mixtures. Acta Geotech. 2020, 15, 947–961. [Google Scholar] [CrossRef]
- Herrick, J.E.; Jones, T.L. A dynamic cone penetrometer for measuring soil penetration resistance. Soil Sci. Soc. Am. J. 2002, 66, 1320–1324. [Google Scholar] [CrossRef]
- Sun, Y.; Cheng, Q.; Lin, J.; Lammers, P.S.; Berg, A.; Meng, F.; Li, L. Energy-based comparison between a dynamic cone penetrometer and a motor-operated static cone penetrometer. Soil Till. Res. 2011, 115, 105–109. [Google Scholar] [CrossRef]
- Odebrecht, E.; Schnaid, F.; Rocha, M.M.; de Paula Bernardes, G. Energy efficiency for standard penetration tests. J. Geotech. Geoenviron. Eng. 2005, 131, 1252–1263. [Google Scholar] [CrossRef]
- Meshalkina, J.L.; Stein, A.; Dmitriev, Y.A. Spatial variability of penetration data on Russian plots in different land use. Soil Technol. 1995, 8, 43–59. [Google Scholar] [CrossRef]
- Vaz, C.M.P.; Hopmans, J.W. Simultaneous measurement of soil penetration resistance and water content with a combined penetrometer–TDR moisture probe. Soil Sci. Soc. Am. J. 2001, 65, 4–12. [Google Scholar] [CrossRef]
- Lee, J.S.; Kim, S.Y.; Hong, W.T.; Byun, Y.H. Assessing subgrade strength using an instrumented dynamic cone penetrometer. Soils Found. 2019, 59, 930–941. [Google Scholar] [CrossRef]
- Kianirad, E.; Gamache, R.W.; Brady, D.; Alshawabkeh, A.N. Equivalent Quasi-Static Estimation of Dynamic Penetration Force for Near Surface Soil Characterization. In Geo-Frontiers 2011: Advances in Geotechnical Engineering; ASCE: Reston, VA, USA, 2011; pp. 2325–2334. [Google Scholar]
- Kim, S.Y.; Hong, W.T.; Lee, J.S. Role of the coefficient of uniformity on the California bearing ratio, penetration resistance, and small strain stiffness of coarse arctic soils. Cold Reg. Sci. Technol. 2019, 160, 230–241. [Google Scholar] [CrossRef]
- ASTM D6951. Standard Test Method for Use of the Dynamic Cone Penetrometer in Shallow Pavement Applications; ASTM International: West Conshohocken, PA, USA, 2009. [Google Scholar]
- Yoon, H.K.; Lee, J.S. Microcones configured with full-bridge circuits. Soil Dyn. Earthq. Eng. 2012, 41, 119–127. [Google Scholar] [CrossRef]
- Siekmeier, J.; Pinta, C.; Merth, S.; Jensen, J.; Davich, P.; Camargo, F.F.; Beyer, M. Using the Dynamic Cone Penetrometer and Light Weight Deflectometer for Construction Quality Assurance (No. MN/RC 2009-12); Minnesota Department of Transportation, Office of Materials and Road Research: Saint Paul, MN, USA, 2009.
- Vanags, C.; Minasny, B.; McBratney, A.B. The dynamic penetrometer for assessment of soil mechanical resistance. In Proceedings of the 3rd Australian New Zealand Soils Conference, Sydney, Australia, 5–9 December 2004. [Google Scholar]
- Nazarian, S.; Tandon, V.; Crain, K.; Yuan, D. Use of Instrumented Dynamic Cone Penetrometer in Pavement Characterization. In Nondestructive Testing of Pavements and Backcalculation of Moduli: Third Volume; ASTM International: West Conshohocken, PA, USA, 2000. [Google Scholar]
- Lee, J.S.; Byun, Y.H. Instrumented Cone Penetrometer for Dense Layer Characterization. Sensors 2020, 20, 5782. [Google Scholar] [CrossRef]
- Kim, S.Y.; Lee, J.S.; Tutumluer, E.; Byun, Y.H. Interpretation of Dynamic Response and Transferred Energy on Drill Rod. Sensors 2021. (under review). [Google Scholar]
- Fan, F.; Parteli, E.J.; Pöschel, T. Origin of granular capillarity revealed by particle-based simulations. Phys. Rev. Lett. 2017, 118, 218001. [Google Scholar] [CrossRef] [PubMed]
- Miyai, S.; Kobayakawa, M.; Tsuji, T.; Tanaka, T. Influence of particle size on vertical plate penetration into dense cohesionless granular materials (large-scale DEM simulation using real particle size). Granul. Matter 2019, 21, 1–21. [Google Scholar] [CrossRef]










| Publisher’s Note: MDPI stays neutral with regard to jurisdictional claims in published maps and institutional affiliations. | 
© 2021 by the authors. Licensee MDPI, Basel, Switzerland. This article is an open access article distributed under the terms and conditions of the Creative Commons Attribution (CC BY) license (https://creativecommons.org/licenses/by/4.0/).
Share and Cite
Kim, S.Y.; Lee, J.-S.; Kim, D.-J.; Byun, Y.-H. Comparative Study on Estimation Methods of Dynamic Resistance Using Dynamic Cone Penetrometer. Sensors 2021, 21, 3085. https://doi.org/10.3390/s21093085
Kim SY, Lee J-S, Kim D-J, Byun Y-H. Comparative Study on Estimation Methods of Dynamic Resistance Using Dynamic Cone Penetrometer. Sensors. 2021; 21(9):3085. https://doi.org/10.3390/s21093085
Chicago/Turabian StyleKim, Sang Yeob, Jong-Sub Lee, Dong-Ju Kim, and Yong-Hoon Byun. 2021. "Comparative Study on Estimation Methods of Dynamic Resistance Using Dynamic Cone Penetrometer" Sensors 21, no. 9: 3085. https://doi.org/10.3390/s21093085
APA StyleKim, S. Y., Lee, J.-S., Kim, D.-J., & Byun, Y.-H. (2021). Comparative Study on Estimation Methods of Dynamic Resistance Using Dynamic Cone Penetrometer. Sensors, 21(9), 3085. https://doi.org/10.3390/s21093085
 
         
                                                

