The Effects of Inter-Set Recovery Time on Explosive Power, Electromyography Activity, and Tissue Oxygenation during Plyometric Training
Abstract
1. Introduction
2. Materials and Methods
2.1. Subjects
2.2. Procedures
2.3. Measurement
2.3.1. Mechanical Data Collection
2.3.2. Surface EMG Data Collection
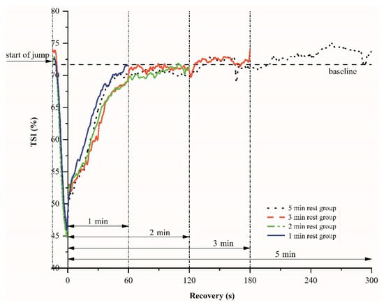
2.3.3. Near-Infrared Spectroscopy (NIRS) Data Collection
2.4. Data Analysis
2.5. Statistics
3. Results
4. Discussion
Limitations
5. Practical Applications
- During the short-duration CMJ explosive training, a 1 min inter-set recovery time could be adopted because no muscle fatigue was observed in terms of EMG activity and muscle blood oxygenation, and the peak power output was well maintained.
- When performing smith squat CMJ jumps at the loads at 30% 1 RM, each training could consist of 3 sets, and 10 repetitions can be performed without inducing muscle fatigue and a significant decrease in CMJ velocity and peak power output.
6. Conclusions
Author Contributions
Funding
Institutional Review Board Statement
Informed Consent Statement
Data Availability Statement
Conflicts of Interest
References
- Markovic, G.; Newton, R.U. Does plyometric training improve vertical jump height? A meta-analytical review. Br. J. Sports Med. 2007, 41, 349–355. [Google Scholar] [CrossRef] [PubMed]
- Behm, D.G.; Young, J.D.; Whitten, J.H.D.; Reid, J.C.; Quigley, P.J.; Low, J.; Li, Y.; Lima, C.D.; Hodgson, D.D.; Chaouachi, A.; et al. Effectiveness of Traditional Strength vs. Power Training on Muscle Strength, Power and Speed with Youth: A Systematic Review and Meta-Analysis. Front. Physiol. 2017, 8, 423. [Google Scholar] [CrossRef] [PubMed]
- Asadi, A.; Ramírez-Campillo, R.; Meylan, C.; Nakamura, F.Y.; Cañas-Jamet, R.; Izquierdo, M. Effects of volume-based overload plyometric training on maximal-intensity exercise adaptations in young basketball players. J. Sports Med. Phys. Fit. 2017, 57, 1557–1563. [Google Scholar]
- Santos, E.J.A.M.; Janeira, M.A.A.S. Effects of Complex Training on Explosive Strength in Adolescent Male Basketball Players. J. Strength Cond. Res. 2008, 22, 903–909. [Google Scholar] [CrossRef]
- Brown, M.E.; Mayhew, J.L.; Boleach, L.W. Effect of plyometric training on vertical jump performance in high school basketball players. J. Sports Med. Phys. Fit. 1986, 26, 1–4. [Google Scholar]
- Asadi, A.; de Villarreal, E.S.; Arazi, H. The Effects of Plyometric Type Neuromuscular Training on Postural Control Performance of Male Team Basketball Players. J. Strength Cond. Res. 2015, 29, 1870–1875. [Google Scholar] [CrossRef]
- Rodríguez-Rosell, D.; Torres-Torrelo, J.; Franco-Márquez, F.; González-Suárez, J.M.; González-Badillo, J.J. Effects of light-load maximal lifting velocity weight training vs. combined weight training and plyometrics on sprint, vertical jump and strength performance in adult soccer players. J. Sci. Med. Sport 2017, 20, 695–699. [Google Scholar] [CrossRef]
- MacDonald, C.J.; Lamont, H.S.; Garner, J.C. A Comparison of the Effects of 6 Weeks of Traditional Resistance Training, Plyometric Training, and Complex Training on Measures of Strength and Anthropometrics. J. Strength Cond. Res. 2012, 26, 422–431. [Google Scholar] [CrossRef]
- Ebben, W.P.; Watts, P.B. A Review of Combined Weight Training and Plyometric Training Modes: Complex Training. Strength Cond. J. 1998, 20, 18–27. [Google Scholar] [CrossRef]
- Lesinski, M.; Muehlbauer, T.; Buesch, D.; Granacher, U. Effects of Complex Training on Strength and Speed Performance in Athletes: A Systematic Review Effects of Complex Training on Athletic Performance. Sportverletz. Sportschaden 2014, 28, 85–107. [Google Scholar]
- Alemdaroğlu, U.; Dündar, U.; Köklü, Y.; Aşci, A.; Findikoğlu, G. The effect of exercise order incorporating plyometric and resistance training on isokinetic leg strength and vertical jump performance: A comparative study. Isokinet. Exerc. Sci. 2013, 21, 211–217. [Google Scholar] [CrossRef]
- Nikolic, D.; Kocic, M.; Beric, D.; Stamenkovic, S.; Velickovic, M. The Effects of Plyometric Training on the Motor Skills of Basketball Players. In Proceedings of the 8th International Scientific Conference on Kinesiology, Opatija, Croatia, 10–14 May 2017; pp. 635–642. [Google Scholar]
- Slimani, M.; Chamari, K.; Miarka, B.; Del Vecchio, F.B.; Chéour, F. Effects of Plyometric Training on Physical Fitness in Team Sport Athletes: A Systematic Review. J. Hum. Kinet. 2016, 53, 231–247. [Google Scholar] [CrossRef] [PubMed]
- Ziv, G.; Lidor, R. Vertical jump in female and male basketball players—A review of observational and experimental studies. J. Sci. Med. Sport 2010, 13, 332–339. [Google Scholar] [CrossRef]
- Kobal, R.; Pereira, L.A.; Zanetti, V.; Ramirez-Campillo, R.; Loturco, I. Effects of Unloaded vs. Loaded Plyometrics on Speed and Power Performance of Elite Young Soccer Players. Front. Physiol. 2017, 8, 742. [Google Scholar] [CrossRef]
- de Villarreal, E.S.; Requena, B.; Cronin, J.B. The Effects of Plyometric Training on Sprint Performance: A Meta-Analysis. J. Strength Cond. Res. 2012, 26, 575–584. [Google Scholar] [CrossRef]
- Ramírez-Campillo, R.; Andrade, D.C.; Izquierdo, M. Effects of Plyometric Training Volume and Training Surface on Explosive Strength. J. Strength Cond. Res. 2013, 27, 2714–2722. [Google Scholar] [CrossRef]
- Chaabene, H.; Negra, Y. The Effect of Plyometric Training Volume on Athletic Performance in Prepubertal Male Soccer Players. Int. J. Sports Physiol. Perform. 2017, 12, 1205–1211. [Google Scholar] [CrossRef]
- Kawamori, N.; Crum, A.J.; Blumert, P.A.; Kulik, J.R.; Childers, J.T.; Wood, J.A.; Stone, M.H.; Haff, G.G. Influence of Different Relative Intensities on Power Output During the Hang Power Clean: Identification of the Optimal Load. J. Strength Cond. Res. 2005, 19, 698–708. [Google Scholar] [CrossRef]
- Kilduff, L.P.; Bevan, H.; Owen, N.; Kingsley, M.I.; Bunce, P.; Bennett, M.; Cunningham, D. Optimal Loading for Peak Power Output During the Hang Power Clean in Professional Rugby Players. Int. J. Sports Physiol. Perform. 2007, 2, 260–269. [Google Scholar] [CrossRef] [PubMed]
- Baker, D.; Nance, S.; Moore, M. The load that maximizes the average mechanical power output during jump squats in power-trained athletes. J. Strength Cond. Res. 2001, 15, 92–97. [Google Scholar]
- Bevan, H.R.; Bunce, P.J.; Owen, N.J.; Bennett, M.A.; Cook, C.J.; Cunningham, D.J.; Newton, R.U.; Kilduff, L.P. Optimal Loading for the Development of Peak Power Output in Professional Rugby Players. J. Strength Cond. Res. 2010, 24, 43–47. [Google Scholar] [CrossRef]
- Cormie, P.; McBride, J.M.; McCaulley, G.O. Power-Time, Force-Time, and Velocity-Time Curve Analysis during the Jump Squat: Impact of Load. J. Appl. Biomech. 2008, 24, 112–120. [Google Scholar] [CrossRef] [PubMed]
- Harris, N.K.; Cronin, J.B.; Hopkins, W.G. Power Outputs of a Machine Squat-Jump Across a Spectrum of Loads. J. Strength Cond. Res. 2007, 21, 1260–1264. [Google Scholar] [CrossRef]
- Stone, M.H.; O’Bryant, H.S.; McCoy, L.; Coglianese, R.; Lehmkuhl, M.; Schilling, B. Power and Maximum Strength Relationships During Performance of Dynamic and Static Weighted Jumps. J. Strength Cond. Res. 2003, 17, 140–147. [Google Scholar] [CrossRef] [PubMed]
- Harris, N.K.; Cronin, J.B.; Hopkins, W.G.; Hansen, K.T. Squat Jump Training at Maximal Power Loads vs. Heavy Loads: Effect on Sprint Ability. J. Strength Cond. Res. 2008, 22, 1742–1749. [Google Scholar] [CrossRef] [PubMed]
- McBride, J.M.; Triplett-McBride, T.; Davie, A.; Newton, R.U. The effect of heavy- vs. light-load jump squats on the development of strength, power, and speed. J. Strength Cond. Res. 2002, 16, 75–82. [Google Scholar] [PubMed]
- Al-Mulla, M.R.; Sepulveda, F.; Colley, M. A Review of Non-Invasive Techniques to Detect and Predict Localised Muscle Fatigue. Sensors 2011, 11, 3545–3594. [Google Scholar] [CrossRef]
- Willardson, J.M. A Brief Review: Factors Affecting the Length of the Rest Interval Between Resistance Exercise Sets. J. Strength Cond. Res. 2006, 20, 978–984. [Google Scholar] [CrossRef]
- de Luca, C.J. The use of surface electromyography in biomechanics. J. Appl. Biomech. 1997, 13, 135–163. [Google Scholar] [CrossRef]
- De Luca, C.J. Myoelectrical manifestations of localized muscular fatigue in humans. Crit. Rev. Biomed. Eng. 1984, 11, 251–279. [Google Scholar] [PubMed]
- Cifrek, M.; Medved, V.; Tonković, S.; Ostojić, S. Surface EMG based muscle fatigue evaluation in biomechanics. Clin. Biomech. 2009, 24, 327–340. [Google Scholar] [CrossRef]
- Sarillee, M.; Hariharan, M.; Anas, M.N.; Omar, M.I.; Aishah, M.N.; Oung, Q.W. Assessment muscle fatigue using statistical study and classification: A review. In Proceedings of the 5th IEEE International Conference on Control System, Computing and Engineering (ICCSCE), Penang, Malaysia, 27–29 November 2015; pp. 206–211. [Google Scholar]
- Sarillee, M.; Hariharan, M.; Anas, M.N.; Omar, M.I.; Aishah, M.N.; Oung, Q.W. Non-invasive techniques to assess muscle fatigue using biosensors: A review. In Proceedings of the 2014 IEEE 5th Control and System Graduate Research Colloquium (ICSGRC), Shah Alam, Malaysia, 11–12 August 2014; pp. 187–192. [Google Scholar]
- Feinberg, J.H. The role of electrodiagnostics in the study of muscle kinesiology, muscle fatigue and peripheral nerve injuries in sports medicine. J. Back Musculoskelet. Rehabilitation 1999, 12, 73–88. [Google Scholar] [CrossRef]
- Lowery, M.M.; O’Malley, M.J. Analysis and simulation of changes in emg amplitude during high-level fatiguing contractions. IEEE Trans. Biomed. Eng. 2003, 50, 1052–1062. [Google Scholar] [CrossRef]
- González-Izal, M.; Malanda, A.; Navarro-Amézqueta, I.; Gorostiaga, E.; Mallor, F.; Ibañez, J.; Izquierdo, M. EMG spectral indices and muscle power fatigue during dynamic contractions. J. Electromyogr. Kinesiol. 2010, 20, 233–240. [Google Scholar] [CrossRef]
- Buchheit, M.; Abbiss, C.; Peiffer, J.J.; Laursen, P.B. Performance and physiological responses during a sprint interval training session: relationships with muscle oxygenation and pulmonary oxygen uptake kinetics. Eur. J. Appl. Physiol. 2012, 112, 767–779. [Google Scholar] [CrossRef]
- Shao, J.; Lin, L.; Niwayama, M.; Kudo, N.; Yamamoto, K. Theoretical and experimental studies on linear and nonlinear algorithms for the measurement of muscle oxygenation using continuous-wave near-infrared spectroscopy. Opt. Eng. 2001, 40, 2293–2301. [Google Scholar]
- Soller, B.R.; Soyemi, O.; Landry, M.; Shear, M.; Wu, J.; Hagan, R.D.; Lawrence, K.M.; Pivarnik, J.M.; Bauer, P.W. Validation of a New NIRS Method for Measuring Muscle Oxygenation during Rhythmic Handgrip Exercise. Med. Sci. Sports Exerc. 2006, 38, S248–S249. [Google Scholar] [CrossRef][Green Version]
- Davis, M.L.; Barstow, T.J. Estimated Influence of Myoglobin on NIRS Signals at Rest and During Exercise. Med. Sci. Sports Exerc. 2008, 40, S267. [Google Scholar] [CrossRef]
- Buchheit, M.; Ufland, P.; Haydar, B.; Laursen, P.B.; Ahmaidi, S. Reproducibility and sensitivity of muscle reoxygenation and oxygen uptake recovery kinetics following running exercise in the field. Clin. Physiol. Funct. Imaging 2011, 31, 337–346. [Google Scholar] [CrossRef]
- Toumi, H.; Best, T.M.; Martin, A.; Poumarat, G. Muscle Plasticity after Weight and Combined (Weight + Jump) Training. Med. Sci. Sports Exerc. 2004, 36, 1580–1588. [Google Scholar] [CrossRef]
- Luebbers, P.E.; Potteiger, J.A.; Hulver, M.W.; Thyfault, J.P.; Carper, M.J.; Lockwood, R.H. Effects of Plyometric Training and Recovery on Vertical Jump Performance and Anaerobic Power. J. Strength Cond. Res. 2003, 17, 704–709. [Google Scholar] [CrossRef]
- Qi, L.P.; Wakeling, J.; Grange, S.; Ferguson-Pell, M. Changes in surface electromyography signals and kinetics associated with progression of fatigue at two speeds during wheelchair propulsion. J. Rehabil. Res. Dev. 2012, 49, 23–34. [Google Scholar] [CrossRef]
- Merletti, R.; Hermens, H. Introduction to the special issue on the SENIAM European Concerted Action. J. Electromyogr. Kinesiol. 2000, 10, 283–286. [Google Scholar] [CrossRef]
- Thomasson, M.L.; Comfort, P. Occurrence of Fatigue During Sets of Static Squat Jumps Performed at a Variety of Loads. J. Strength Cond. Res. 2012, 26, 677–683. [Google Scholar] [CrossRef]
- Moir, G.L. Three Different Methods of Calculating Vertical Jump Height from Force Platform Data in Men and Women. Meas. Phys. Educ. Exerc. Sci. 2008, 12, 207–218. [Google Scholar] [CrossRef]
- Sayers, S.P.; Harackiewicz, D.V.; Harman, E.A.; Frykman, P.N.; Rosenstein, M.T. Cross-validation of three jump power equations. Med. Sci. Sports Exerc. 1999, 31, 572–577. [Google Scholar] [CrossRef]
- Qi, L.P.; Wakeling, J.M.; Ferguson-Pell, M. Spectral properties of electromyographic and mechanomyographic signals during dynamic concentric and eccentric contractions of the human biceps brachii muscle. J. Electromyogr. Kinesiol. 2011, 21, 1056–1063. [Google Scholar] [CrossRef] [PubMed]
- Shao, J.; Lin, L.; Niwayama, M.; Kudo, N.; Yamamoto, K. Determination of a quantitative algorithm for the measurement of muscle oxygenation using CW near-infrared spectroscopy—Mean optical pathlength without the influence of adipose tissue. Optical Sensing, Imaging, and Manipulation for Biological and Biomedical Applications. Int. Soc. Optics Photonics 2000, 4082, 76–86. [Google Scholar]
- Kime, R.; Fujioka, M.; Osawa, T.; Takagi, S.; Niwayama, M.; Kaneko, Y.; Osada, T.; Murase, N.; Katsumura, T. Which Is the Best Indicator of Muscle Oxygen Extraction During Exercise Using NIRS? Evidence that HHb Is Not the Candidate. Oxyg. Transp. Tissue XXXV 2013, 789, 163–169. [Google Scholar]
- Grassi, B.; Rossiter, H.B.; Zoladz, J.A. Skeletal Muscle Fatigue and Decreased Efficiency: Two Sides of the Same Coin? Exerc. Sport Sci. Rev. 2015, 43, 75–83. [Google Scholar] [CrossRef] [PubMed]
- Warren, G.L.; Lowe, D.A.; Armstrong, R.B. Measurement Tools Used in the Study of Eccentric Contraction—Induced Injury. Sports Med. 1999, 27, 43–59. [Google Scholar] [CrossRef] [PubMed]
- Jamaluddin, F.N.; Ahmad, S.A.; Noor, S.B.M.; Hassan, W.Z.W. Future direction of the electromyography based method to evaluate muscle fatigue. In Proceedings of the 2014 4th International Conference on Engineering Technology and Technopreneuship (ICE2T), Kuala Lumpur, Malaysia, 27–29 August 2014; pp. 314–319. [Google Scholar]
- Kallenberg, L.A.; Schulte, E.; Disselhorst-Klug, C.; Hermens, H.J. Myoelectric manifestations of fatigue at low contraction levels in subjects with and without chronic pain. J. Electromyogr. Kinesiol. 2007, 17, 264–274. [Google Scholar] [CrossRef] [PubMed]
- Moritani, T.; Nagata, A.; Muro, M. Electromyographic manifestations of muscular fatigue. Med. Sci. Sports Exerc. 1982, 14, 198–202. [Google Scholar] [CrossRef] [PubMed]
- Rodriguez-Falces, J.; Place, N. Determinants, analysis and interpretation of the muscle compound action potential (M wave) in humans: implications for the study of muscle fatigue. Eur. J. Appl. Physiol. 2018, 118, 501–521. [Google Scholar] [CrossRef] [PubMed]
- Gaitanos, G.C.; Williams, C.; Boobis, L.H.; Brooks, S. Human Muscle Metabolism during Intermittent Maximal Exercise of Brief Duration. J. Physiol. 1993, 467, P76. [Google Scholar]
- Hamaoka, T.; Iwane, H.; Shimomitsu, T.; Katsumura, T.; Murase, N.; Nishio, S.; Osada, T.; Kurosawa, Y.; Chance, B. Noninvasive measures of oxidative metabolism on working human muscles by near-infrared spectroscopy. J. Appl. Physiol. 1996, 81, 1410–1417. [Google Scholar] [CrossRef]
- Kime, R.; Katsumura, T.; Hamaoka, T.; Osada, T.; Sako, T.; Murakami, M.; Bae, S.Y.; Toshinai, K.; Haga, S.; Shimomitsu, T. Muscle reoxygenation rate after isometric exercise at various intensities in relation to muscle oxidative capacity. Oxyg. Transp. Tissue XXIV 2003, 530, 497–507. [Google Scholar] [CrossRef]
- Buchheit, M.; Cormie, P.; Abbiss, C.; Ahmaidi, S.; Nosaka, K.K.; Laursen, P.B. Muscle Deoxygenation during Repeated Sprint Running: Effect of Active vs. Passive Recovery. Int. J. Sports Med. 2009, 30, 418–425. [Google Scholar] [CrossRef] [PubMed]
- Wray, W.; Wary, C.; Dutiel, S.; Hoff, J.; Carlier, P.G.; Richardson, R.S. Skeletal Muscle O(2) Availability Regulates Myoglobin And Phosphocreatine Recovery Following Exercise In Humans. Med. Sci. Sports Exerc. 2005, 37, S59. [Google Scholar]
- Haseler, L.J.; Hogan, M.C.; Richardson, R.S. Skeletal muscle phosphocreatine recovery in exercise-trained humans is dependent on O-2 availability. J. Appl. Physiol. 1999, 86, 2013–2018. [Google Scholar] [CrossRef]
- Newcomer, B.R.; Sirikul, B.; Hunter, G.R.; Larson-Meyer, E.; Bamman, M. Exercise over-stress and maximal muscle oxidative metabolism: a 31P magnetic resonance spectroscopy case report. Br. J. Sports Med. 2005, 39, 302–306. [Google Scholar] [CrossRef] [PubMed]
- Jones, A.M.; Grassi, B.; Christensen, P.M.; Krustrup, P.; Bangsbo, J.; Poole, D.C. Slow Component of VO2 Kinetics: Mechanistic Bases and Practical Applications. Med. Sci. Sports Exerc. 2011, 43, 2046–2062. [Google Scholar] [CrossRef] [PubMed]
- Dupont, G.; Moalla, W.; Guinhouya, C.; Ahmaidi, S.; Berthoin, S. Passive versus Active Recovery during High-Intensity Intermittent Exercises. Med. Sci. Sports Exerc. 2004, 36, 302–308. [Google Scholar] [CrossRef] [PubMed]
- Fisher, J.P.; Ironside, M.; Steele, J. Heavier and lighter load resistance training to momentary failure produce similar increases in strength with differing degrees of discomfort. Muscle Nerve 2017, 56, 797–803. [Google Scholar] [CrossRef]
- Schoenfeld, B.J.; Contreras, B.; Vigotsky, A.D.; Peterson, M. Differential Effects of Heavy Versus Moderate Loads on Measures of Strength and Hypertrophy in Resistance-Trained Men. J. Sports Sci. Med. 2016, 15, 715–722. [Google Scholar]



| Subject Code | Age (Year) | Height (cm) | Weight (kg) | 1 RM (kg) | Training Experience (Year) |
|---|---|---|---|---|---|
| A | 22 | 180 | 77 | 130 | 6 |
| B | 21 | 188 | 90 | 120 | 5 |
| C | 20 | 186 | 90 | 110 | 4 |
| D | 21 | 198 | 97 | 130 | 5 |
| E | 21 | 182 | 85 | 100 | 5 |
| F | 22 | 195 | 80 | 140 | 6 |
| G | 20 | 189 | 101 | 140 | 4 |
| H | 20 | 196 | 86 | 120 | 4 |
| I | 21 | 196 | 90 | 100 | 5 |
| J | 19 | 193 | 80 | 100 | 4 |
| Mean ± SD | 20 ± 1 | 190.3 ± 6.3 | 87.6 ± 7.6 | 119.0 ± 15.1 | 4.8 ± 0.7 |
| Peak Explosive Power (W) | Jump Height (cm) | ||
|---|---|---|---|
| 5 min | Set 1 | 2549.2 ± 463.0 | 19.57 ± 4.27 |
| Set 2 | 2522.6 ± 445.1 | 20.06 ± 4.12 | |
| Set 3 | 2522.7 ± 445.8 | 20.09 ± 3.33 | |
| 3 min | Set 1 | 2522.0 ± 445.3 | 18.90 ± 3.77 |
| Set 2 | 2521.8 ± 445.1 | 18.70 ± 2.96 | |
| Set 3 | 2454.3 ± 386.3 | 19.00 ± 3.41 | |
| 2 min | Set 1 | 2521.6 ± 445.1 | 18.25 ± 2.37 |
| Set 2 | 2521.7 ± 444.9 | 18.47 ± 1.75 | |
| Set 3 | 2521.5 ± 444.8 | 18.06 ± 1.89 | |
| 1 min | Set 1 | 2521.9 ± 445.1 | 18.86 ± 2.62 |
| Set 2 | 2521.9 ± 445.5 | 18.83 ± 2.27 | |
| Set 3 | 2522.3 ± 445.6 | 19.55 ± 1.98 | |
| Normalized Intensity (%) | GM | RF | VM | VL | BF | TA | MG | LG | SO | |
|---|---|---|---|---|---|---|---|---|---|---|
| 5 min | Set 1 | 41.2 ± 6.5 | 45.7 ± 6.5 | 48.6 ± 4.6 | 47.8 ± 6.9 | 35.5 ± 4.4 | 43.4 ± 5.6 | 51.9 ± 6.1 | 47.0 ± 7.0 | 53.8 ± 3.2 |
| Set 2 | 38.4 ± 6.6 | 38.9 ± 5.8 | 39.4 ± 2.7 | 41.9 ± 5.1 | 37.0 ± 5.3 | 33.1 ± 4.4 | 43.7 ± 4.0 | 48.2 ± 7.6 | 45.2 ± 4.6 | |
| Set 3 | 34.2 ± 5.9 | 37.3 ± 6.2 | 38.9 ± 4.6 | 40.3 ± 6.1 | 45.0 ± 7.2 | 36.7 ± 5.5 | 39.4 ± 7.1 | 41.1 ± 5.5 | 33.9 ± 4.3 | |
| 3 min | Set 1 | 46.0 ± 6.3 | 46.3 ± 6.4 | 51.2 ± 4.9 | 49.2 ± 4.5 | 36.7 ± 5.8 | 41.2 ± 5.5 | 39.6 ± 5.9 | 45.4 ± 4.1 | 43.7 ± 5.0 |
| Set 2 | 41.9 ± 5.6 | 40.0 ± 5.1 | 43.0 ± 3.6 | 46.3 ± 3.7 | 38.5 ± 4.1 | 47.5 ± 3.6 | 49.7 ± 7.2 | 44.6 ± 4.3 | 35.9 ± 4.3 | |
| Set 3 | 37.1 ± 3.7 | 43.9 ± 4.2 | 35.0 ± 3.7 | 44.3 ± 5.0 | 37.7 ± 3.0 | 37.8 ± 4.2 | 46.3 ± 4.8 | 44.2 ± 5.8 | 39.8 ± 2.7 | |
| 2 min | Set 1 | 48.2 ± 4.9 | 56.2 ± 4.4 | 49.8 ± 6.3 | 46.7 ± 5.4 | 38.3 ± 4.9 | 39.9 ± 4.5 | 38.3 ± 5.4 | 48.7 ± 4.4 | 47.3 ± 3.8 |
| Set 2 | 43.7 ± 4.2 | 42.9 ± 3.5 | 37.8 ± 4.8 | 36.4 ± 3.5 | 36.8 ± 5.0 | 40.1 ± 4.5 | 46.5 ± 3.8 | 47.1 ± 3.8 | 51.1 ± 6.9 | |
| Set 3 | 39.5 ± 2.0 | 43.4 ± 2.9 | 39.5 ± 4.9 | 42.3 ± 5.3 | 36.3 ± 4.1 | 35.6 ± 4.0 | 43.2 ± 4.9 | 37.6 ± 5.3 | 43.7 ± 5.3 | |
| 1 min | Set 1 | 37.9 ± 2.8 | 38.2 ± 5.5 | 46.6 ± 6.3 | 39.6 ± 4.9 | 42.5 ± 6.3 | 37.5 ± 2.2 | 45.5 ± 3.2 | 45.7 ± 5.0 | 43.2 ± 0.9 |
| Set 2 | 42.8 ± 3.9 | 42.1 ± 3.2 | 52.1 ± 4.9 | 42.6 ± 4.7 | 42.1 ± 5.0 | 41.0 ± 3.0 | 42.3 ± 6.5 | 48.5 ± 5.6 | 37.2 ± 4.0 | |
| Set 3 | 39.2 ± 3.8 | 51.6 ± 4.2 | 50.1 ± 5.0 | 47.8 ± 5.8 | 45.1 ± 4.3 | 43.1 ± 5.0 | 52.5 ± 5.5 | 46.7 ± 4.6 | 42.4 ± 3.9 | |
| MPF(Hz) | GM | RF | VM | VL | BF | TA | MG | LG | SO | |
|---|---|---|---|---|---|---|---|---|---|---|
| 5 min | Set 1 | 43.0 ± 5.3 | 43.9 ± 5.3 | 39.4 ± 3.6 | 47.1 ± 6.7 | 48.1 ± 5.8 | 50.0 ± 5.7 | 51.4 ± 6.8 | 50.4 ± 5.1 | 45.6 ± 2.8 |
| Set 2 | 46.2 ± 3.0 | 50.5 ± 4.0 | 55.0 ± 4.2 | 53.5 ± 5.0 | 45.0 ± 2.8 | 50.4 ± 5.7 | 52.3 ± 4.3 | 53.7 ± 3.8 | 47.8 ± 4.0 | |
| Set 3 | 57.6 ± 5.3 | 54.7 ± 7.8 | 54.5 ± 3.0 | 52.5 ± 6.1 | 44.1 ± 7.1 | 50.9 ± 5.6 | 50.2 ± 5.6 | 57.2 ± 4.1 | 53.3 ± 5.6 | |
| 3 min | Set 1 | 54.0 ± 6.3 | 53.3 ± 4.9 | 38.5 ± 4.7 | 40.5 ± 2.9 | 51.0 ± 3.1 | 64.7 ± 6.8 | 54.7 ± 5.7 | 59.1 ± 6.7 | 49.8 ± 5.6 |
| Set 2 | 49.1 ± 4.1 | 56.5 ± 4.7 | 48.6 ± 3.1 | 49.2 ± 3.1 | 47.3 ± 3.7 | 63.3 ± 5.1 | 44.2 ± 5.2 | 48.6 ± 8.9 | 51.2 ± 5.4 | |
| Set 3 | 43.0 ± 5.7 | 52.6 ± 4.5 | 58.6 ± 3.7 | 51.8 ± 4.2 | 52.2 ± 4.2 | 53.0 ± 5.2 | 50.6 ± 4.2 | 50.6 ± 5.6 | 45.3 ± 4.7 | |
| 2 min | Set 1 | 50.3 ± 3.2 | 54.5 ± 6.0 | 43.2 ± 5.2 | 44.8 ± 2.7 | 54.1 ± 5.7 | 57.8 ±4.3 | 51.8 ± 4.1 | 50.7 ± 5.0 | 54.9 ± 3.0 |
| Set 2 | 49.5 ± 4.0 | 44.2 ± 5.1 | 53.2 ± 4.0 | 52.1 ± 2.7 | 52.9 ± 3.2 | 51.5 ± 3.0 | 53.4 ± 3.1 | 49.9 ± 5.7 | 52.6 ± 2.4 | |
| Set 3 | 47.0 ± 4.1 | 49.9 ± 2.2 | 52.4 ± 2.8 | 47.4 ± 4.6 | 49.9 ± 4.3 | 44.4 ± 4.1 | 49.3 ± 3.1 | 51.4 ± 4.9 | 53.0 ± 4.7 | |
| 1 min | Set 1 | 53.4 ± 4.0 | 48.9 ± 5.1 | 41.7 ± 5.9 | 52.3 ± 3.1 | 50.9 ± 5.0 | 56.6 ± 5.0 | 55.1 ± 4.3 | 51.6 ± 4.2 | 59.1 ± 3.5 |
| Set 2 | 48.1 ± 4.7 | 46.7 ± 3.2 | 45.3 ± 3.0 | 47.6 ± 4.2 | 45.6 ± 3.1 | 53.6 ± 3.4 | 48.0 ± 4.3 | 45.6 ± 4.5 | 50.2 ±2.2 | |
| Set 3 | 51.0 ± 3.3 | 39.3 ± 5.4 | 54.9 ± 5.9 | 42.6 ± 4.0 | 42.1 ± 4.0 | 52.1 ± 4.1 | 50.4 ± 4.9 | 48.1 ± 4.2 | 46.6 ± 3.7 | |
Publisher’s Note: MDPI stays neutral with regard to jurisdictional claims in published maps and institutional affiliations. |
© 2021 by the authors. Licensee MDPI, Basel, Switzerland. This article is an open access article distributed under the terms and conditions of the Creative Commons Attribution (CC BY) license (https://creativecommons.org/licenses/by/4.0/).
Share and Cite
Guan, S.; Lin, N.; Yin, Y.; Liu, H.; Liu, L.; Qi, L. The Effects of Inter-Set Recovery Time on Explosive Power, Electromyography Activity, and Tissue Oxygenation during Plyometric Training. Sensors 2021, 21, 3015. https://doi.org/10.3390/s21093015
Guan S, Lin N, Yin Y, Liu H, Liu L, Qi L. The Effects of Inter-Set Recovery Time on Explosive Power, Electromyography Activity, and Tissue Oxygenation during Plyometric Training. Sensors. 2021; 21(9):3015. https://doi.org/10.3390/s21093015
Chicago/Turabian StyleGuan, Shuo, Nan Lin, Yue Yin, Haibin Liu, Liqing Liu, and Liping Qi. 2021. "The Effects of Inter-Set Recovery Time on Explosive Power, Electromyography Activity, and Tissue Oxygenation during Plyometric Training" Sensors 21, no. 9: 3015. https://doi.org/10.3390/s21093015
APA StyleGuan, S., Lin, N., Yin, Y., Liu, H., Liu, L., & Qi, L. (2021). The Effects of Inter-Set Recovery Time on Explosive Power, Electromyography Activity, and Tissue Oxygenation during Plyometric Training. Sensors, 21(9), 3015. https://doi.org/10.3390/s21093015

