Development of a Numerical Model to Predict the Dielectric Properties of Heterogeneous Asphalt Concrete
Abstract
1. Introduction
2. Background on AC Pavement Density Prediction
2.1. Pavement Dielectric Constant Calculation
2.1.1. Reflection Amplitude Method
2.1.2. TWTT Method
2.2. Theoretic EM Mixing Models and Pavement Density Prediction
3. Methodology
3.1. Finite-Difference Time-Domain Simulation
3.2. Generating Three-Phase Structure of Asphalt Mixture Models
- Choose a mean size between adjoining sieve sizes as aggregate size in each level.
- Calculate the number of aggregates in each level from aggregate gradation data.
- Randomly place the generated particles into a predefined sample with no aggregate overlapping. The generated circles in each level should not overlap with circles in other levels.
- Approximate the generated circles using unit squares and check aggregate gradation. Complement fine aggregates using unit squares.
- After all particles are completed, the region within the sample boundary, but not occupied by aggregate, is set as asphalt binder. Air voids are generated by deleting the asphalt binder elements randomly. It should be noted that the actual volume of aggregate is greater than the one used in the model because of the adsorbed portion of the asphalt binder by the aggregate.
3.3. FDTD Simulation Models
3.4. Generating Heterogeneous Asphalt Mixture Models
- Generate a three-phase AC mixture model in accordance with the proposed three-phase AC generation algorithm. The air voids of the model can be set at any value between the maximum and minimum air voids of the heterogeneous model.
- Divide the model into sections. To analyze the effect of longitudinal heterogeneity, the model is divided along the distance/traffic direction. To analyze the effect of the vertical heterogeneity, the model is divided along the pavement depth, as shown in Figure 5.
- According to the new AC mixture information, binder-coated aggregates were replaced with air void inclusions (i.e., particles) if a higher air void content was required and vice versa.
4. Simulation Results and Discussion
4.1. Comparison between One- and Three-Phase AC Models
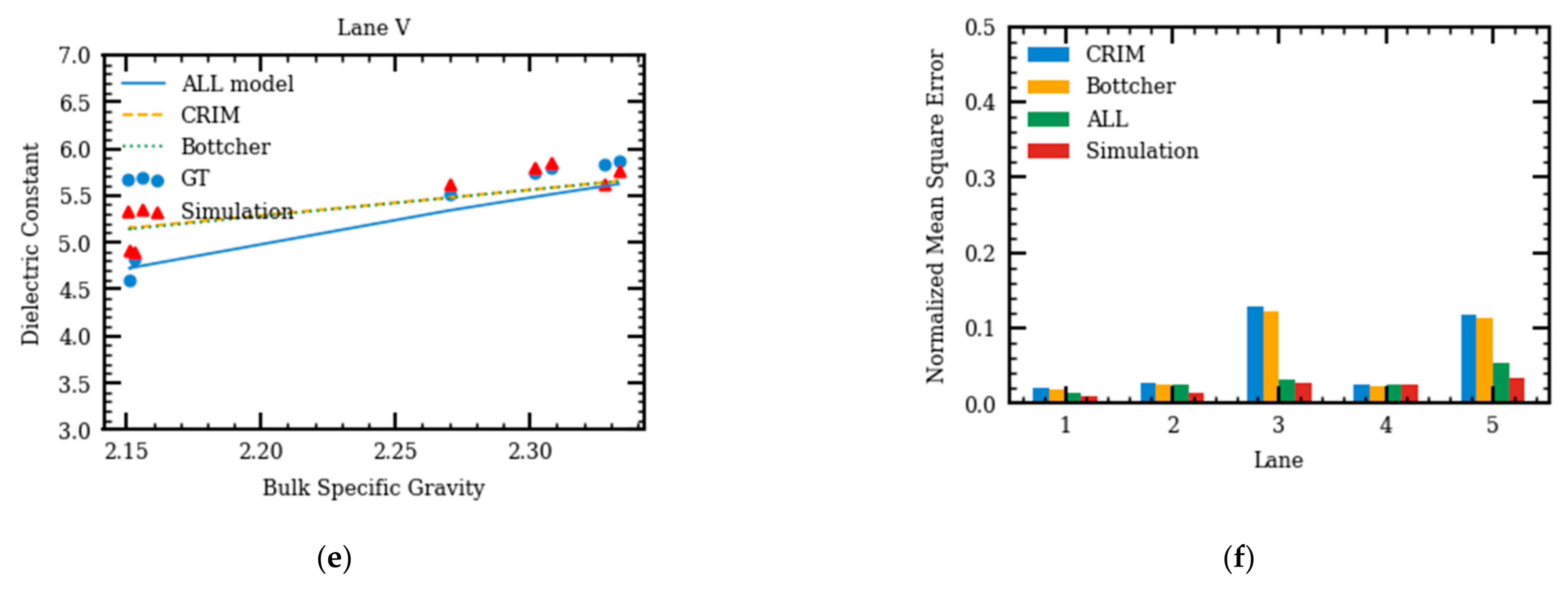
4.2. Field Validation
4.3. Sensitivity Analysis
4.4. Effect of Material Heterogeneity
4.4.1. Vertical Air-Void Changing
4.4.2. Longitudinal Air-Void Changing
5. Conclusions
- A three-phase heterogeneous model was introduced to simulate the GPR reflected signal utilizing the dielectric constant and volumetric properties of the AC components: air, asphalt binder, and aggregates. The model predicts the AC density profile, while capturing the AC heterogeneity and its components’ effects.
- Sensitivity analysis shows that an increase in AC air voids and/or asphalt content would decrease the AC’s dielectric constant, similarly when the aggregate dielectric constant decreases. Aggregate gradation has no effect on the calculated dielectric constant at the GPR frequency and the aggregate sizes used.
- The calculated method of AC dielectric constant is important. The proposed numerical model is able to simulate uneven air-void distribution in the AC pavement layer. For vertical heterogeneity, the dielectric constant, calculated using reflection amplitude and two-way travel time (TWTT) methods, can differ by 1. The reflection amplitude method is more sensitive to AC density in the shallow layer, while the TWTT method, calculates the average dielectric constants throughout the depth. Hence, the TWTT method is suitable for thick AC pavement layers.
Author Contributions
Funding
Institutional Review Board Statement
Informed Consent Statement
Data Availability Statement
Acknowledgments
Conflicts of Interest
References
- Al-Qadi, I.L.; Lahouar, S. Measuring Layer Thicknesses with GPR–Theory to Practice. Constr. Build. Mater. 2005, 19, 763–772. [Google Scholar] [CrossRef]
- Wai-Lok Lai, W.; Dérobert, X.; Annan, P. A Review of Ground Penetrating Radar Application in Civil Engineering: A 30-Year Journey from Locating and Testing to Imaging and Diagnosis. NDT E Int. 2018, 96, 58–78. [Google Scholar] [CrossRef]
- Maser, K.; Carmichael, A. Ground Penetrating Radar Evaluation of New Pavement Density; Report No. WA-RD 839.1; Washington Department of Transportation: Olympia, WA, USA, 2015. [Google Scholar]
- Al-Qadi, I.L.; Lahouar, S.; Loulizi, A. In Situ Measurements of Hot-Mix Asphalt Dielectric Properties. NDT E Int. 2001, 34, 427–434. [Google Scholar] [CrossRef]
- Al-Qadi, I.L.; Lahouar, S.; Loulizi, A. GPR: From the State-of-the-Art to the State-of-the-Practice. In International Symposium of Non-Destructive Testing in Civil Engineering; Proceedings BB85-CD; The German Society for Non-Destructive Testing (DGZfp): Berlin, Germany, 2003; pp. 16–19. [Google Scholar]
- Hoegh, K.; Dai, S. Asphalt Pavement Compaction Assessment Using Ground Penetrating Radar-Arrays. In Proceedings of the Congress on Technical Advancement, Deluth, MN, USA, 10–13 September 2017; American Society of Civil Engineers: Reston, VA, USA, 2017; pp. 118–126. [Google Scholar]
- Leng, Z.; Al-Qadi, I.L.; Lahouar, S. Development and Validation for In Situ Asphalt Mixture Density Prediction Models. NDT E Int. 2011, 44, 369–375. [Google Scholar] [CrossRef]
- Shangguan, P.; Al-Qadi, I.L. Calibration of FDTD Simulation of GPR Signal for Asphalt Pavement Compaction Monitoring. IEEE Trans. Geosci. Remote Sens. 2015, 53, 1538–1548. [Google Scholar] [CrossRef]
- Gedney, S.D. Introduction to the Finite-Difference Time-Domain (FDTD) Method for Electromagnetics; Morgan & Claypool Publishers: San Rafael, CA, USA, 2011; pp. 7–10. [Google Scholar]
- Hu, R.; Lu, L.; Wang, S. The Numerical Simulation Study on Ground Penetrating Radar Detection of the Typical Adverse Geological Structure. In Proceedings of the 14th International Conference on Ground Penetrating Radar (GPR), Shanghai, China, 4–8 June 2012; IEEE: Piscataway, NJ, USA, 2012; pp. 243–247. [Google Scholar]
- He, X.; Zhu, Z.; Lu, G.; Lu, Q. The FDTD Modeling of GPR for Tunnel Inspection. In Proceedings of the International Conference on Information Engineering and Computer Science, Wuhan, China, 19–20 December 2009; IEEE: Piscataway, NJ, USA, 2009; pp. 1–4. [Google Scholar]
- Diamanti, N.; Giannopoulos, A. Employing ADI-FDTD Subgrids for GPR Numerical Modelling and Their Application to Study Ring Separation in Brick Masonry Arch Bridges. Surf. Geophys. 2011, 9, 245–256. [Google Scholar] [CrossRef]
- Giannakis, I.; Giannopoulos, A.; Warren, C. A Realistic FDTD Numerical Modeling Framework of Ground Penetrating Radar for Landmine Detection. IEEE J. Sel. Top. Appl. Earth Obs. Remote Sens. 2016, 9, 37–51. [Google Scholar] [CrossRef]
- Belli, K.; Rappaport, C.M.; Zhan, H.; Wadia-Fascetti, S. Effectiveness of 2-D and 2.5-D FDTD Ground-Penetrating Radar Modeling for Bridge-Deck Deterioration Evaluated by 3-D FDTD. IEEE Trans. Geosci. Remote Sens. 2009, 47, 3656–3663. [Google Scholar] [CrossRef]
- Zhan, H.; Belli, K.; Wadia-Fascetti, S.; Rappaport, C. Effectiveness of 2D FDTD Ground Penetrating Radar Modeling for Bridge Deck Deterioration. Evaluated by 3D FDTD. In Proceedings of the IEEE International Geoscience and Remote Sensing Symposium, Boston, MA, USA, 8–11 July 2008; IEEE: Piscataway, NJ, USA, 2008; Volume 3, pp. III-1330–III-1333. [Google Scholar]
- Shangguan, P.; Al-Qadi, I.; Coenen, A.; Zhao, S. Algorithm Development for the Application of Ground-Penetrating Radar on Asphalt Pavement Compaction Monitoring. Int. J. Pavement Eng. 2016, 17, 189–200. [Google Scholar] [CrossRef]
- Klysz, G.; Balayssac, J.P.; Ferrières, X. Evaluation of Dielectric Properties of Concrete by a Numerical FDTD Model of a GPR Coupled Antenna—Parametric Study. NDT E Int. 2008, 41, 621–631. [Google Scholar] [CrossRef]
- Solla, M.; González-Jorge, H.; Álvarez, M.X.; Arias, P. Application of Non-Destructive Geomatic Techniques and FDTD Modeling to Metrical Analysis of Stone Blocks in a Masonry Wall. Constr. Build. Mater. 2012, 36, 14–19. [Google Scholar] [CrossRef]
- Diamanti, N.; Giannopoulos, A.; Forde, M.C. Numerical Modelling and Experimental Verification of GPR to Investigate Ring Separation in Brick Masonry Arch Bridges. NDT E Int. 2008, 41, 354–363. [Google Scholar] [CrossRef]
- Rucka, M.; Lachowicz, J.; Zielińska, M. GPR Investigation of the Strengthening System of a Historic Masonry Tower. J. Appl. Geophys. 2016, 131, 94–102. [Google Scholar] [CrossRef]
- Castillo, D.; Gamez, A.; Al-Qadi, I. Homogeneous versus Heterogeneous Response of a Flexible Pavement Structure: Strain and Domain Analyses. J. Eng. Mech. 2019, 145, 04019068. [Google Scholar] [CrossRef]
- Peplinski, N.R.; Ulaby, F.T.; Dobson, M.C. Dielectric Properties of Soils in the 0.3-1.3-GHz Range. IEEE Trans. Geosci. Remote Sens. 1995, 33, 803–807. [Google Scholar] [CrossRef]
- Benedetto, A.; Ciampoli, L.B.; Brancadoro, M.G.; Alani, A.M.; Tosti, F. A Computer-Aided Model for the Simulation of Railway Ballast by Random Sequential Adsorption Process. Comput. Aided Civ. Infrastruct. Eng. 2018, 33, 243–257. [Google Scholar] [CrossRef]
- Lachowicz, J.; Rucka, M. A Novel Heterogeneous Model of Concrete for Numerical Modelling of Ground Penetrating Radar. Constr. Build. Mater. 2019, 227, 116703. [Google Scholar] [CrossRef]
- Ding, X.; Ma, T.; Gao, W. Morphological Characterization and Mechanical Analysis for Coarse Aggregate Skeleton of Asphalt Mixture Based on Discrete-Element Modeling. Constr. Build. Mater. 2017, 154, 1048–1061. [Google Scholar] [CrossRef]
- Liu, X.; Cao, Q.; Wang, H.; Chen, J.; Huang, X. Evaluation of Vehicle Braking Performance on Wet Pavement Surface Using an Integrated Tire-Vehicle Modeling Approach. Transp. Res. Rec. J. Transp. Res. Board 2019, 2673, 295–307. [Google Scholar] [CrossRef]
- Chen, J.; Wang, H.; Dan, H.; Xie, Y. Random Modeling of Three-Dimensional Heterogeneous Microstructure of Asphalt Concrete for Mechanical Analysis. J. Eng. Mech. 2018, 144, 04018083. [Google Scholar] [CrossRef]
- Lahouar, S.; Al-Qadi, I.L. Automatic Detection of Multiple Pavement Layers from GPR Data. NDT E Int. 2008, 41, 69–81. [Google Scholar] [CrossRef]
- Leng, Z.; Al-Qadi, I.L.; Shangguan, P.; Son, S. Field Application of Ground-Penetrating Radar for Measurement of Asphalt Mixture Density: Case Study of Illinois Route 72 Overlay. Transp. Res. Rec. J. Transp. Res. Board 2012, 2304, 133–141. [Google Scholar] [CrossRef]
- Warren, C.; Giannopoulos, A.; Giannakis, I. GprMax: Open Source Software to Simulate Electromagnetic Wave Propagation for Ground Penetrating Radar. Comput. Phys. Commun. 2016, 209, 163–170. [Google Scholar] [CrossRef]
- Yee, K.S.; Chen, J.S. The Finite-Difference Time-Domain (FDTD) and the Finite-Volume Time-Domain (FVTD) Methods in Solving Maxwell’s Equations. IEEE Trans. Antennas Propag. 1997, 45, 354–363. [Google Scholar] [CrossRef]
- Masad, E.; Muhunthan, B.; Shashidhar, N.; Harman, T. Quantifying Laboratory Compaction Effects on the Internal Structure of Asphalt Concrete. Transp. Res. Rec. 1999, 1681, 179–185. [Google Scholar] [CrossRef]
- Partl, M.N.; Flisch, A.; Jönsson, M. Comparison of Laboratory Compaction Methods Using X-Ray Computer Tomography. Road Mater. Pavement Des. 2007, 8, 139–164. [Google Scholar] [CrossRef]
- Peterson, R.L.; Mahboub, K.C.; Anderson, R.M.; Masad, E.; Tashman, L. Comparing Superpave Gyratory Compactor Data to Field Cores. J. Mater. Civ. Eng. 2004, 16, 78–83. [Google Scholar] [CrossRef]
- Zhu, S.; Liu, X.; Cao, Q.; Huang, X. Numerical study of tire hydroplaning based on power spectrum of asphalt pavement and kinetic friction coefficient. Adv. Mater. Sci. Eng. 2017, 2017, 5843061. [Google Scholar] [CrossRef]













| Passing Ratio (%) for Different Sieving Size | |||||||||||
|---|---|---|---|---|---|---|---|---|---|---|---|
| Mixture type | 1 | 3/4 | 1/2 | 3/8 | #4 | #8 | #16 | #30 | #50 | #100 | #200 |
| Limestone surface | 100 | 100 | 100 | 98.9 | 58.9 | 40.0 | 29.5 | 18.5 | 10.6 | 7.3 | 6.0 |
| Gravel surface | 100 | 100 | 100 | 97.1 | 58 | 41.8 | 30.8 | 19.0 | 10.6 | 7.2 | 5.8 |
| Limestone binder | 100 | 98.4 | 77.2 | 66.6 | 47.6 | 37.1 | 27.1 | 16.8 | 9.5 | 6.3 | 5.0 |
Publisher’s Note: MDPI stays neutral with regard to jurisdictional claims in published maps and institutional affiliations. |
© 2021 by the authors. Licensee MDPI, Basel, Switzerland. This article is an open access article distributed under the terms and conditions of the Creative Commons Attribution (CC BY) license (https://creativecommons.org/licenses/by/4.0/).
Share and Cite
Cao, Q.; Al-Qadi, I.L. Development of a Numerical Model to Predict the Dielectric Properties of Heterogeneous Asphalt Concrete. Sensors 2021, 21, 2643. https://doi.org/10.3390/s21082643
Cao Q, Al-Qadi IL. Development of a Numerical Model to Predict the Dielectric Properties of Heterogeneous Asphalt Concrete. Sensors. 2021; 21(8):2643. https://doi.org/10.3390/s21082643
Chicago/Turabian StyleCao, Qingqing, and Imad L. Al-Qadi. 2021. "Development of a Numerical Model to Predict the Dielectric Properties of Heterogeneous Asphalt Concrete" Sensors 21, no. 8: 2643. https://doi.org/10.3390/s21082643
APA StyleCao, Q., & Al-Qadi, I. L. (2021). Development of a Numerical Model to Predict the Dielectric Properties of Heterogeneous Asphalt Concrete. Sensors, 21(8), 2643. https://doi.org/10.3390/s21082643

