Exploring Signals on L5/E5a/B2a for Dual-Frequency GNSS Precise Point Positioning
Abstract
1. Introduction
2. Real-Time Clock Estimation with RETICLE
2.1. Overview
2.2. Station Filter Description
2.3. Clock Fusion Filter Description
2.4. Modeling of GNSS Observations
3. Multi-GNSS, Real-Time Precise Point Positioning
3.1. Algorithm Description
- Thirty-three worldwide IGS stations are used for the multi-GNSS analysis, shown in red in Figure 2. This set of stations is chosen randomly, as long as the station provides day-long observations from GPS, Galileo, and BeiDou. The signals used with these stations are L1/L2 for GPS, E1/E5a for Galileo, and B1-2/B3 for BeiDou-2 and -3.
- Eleven IGS stations are used for the L1/L5 analysis, shown in black in Figure 2. These stations are chosen by ensuring that they provide observations from the novel B1 and B2a BeiDou-3 signals, as well as GPS L5 measurements. Additionally, due to the limited number of stations observing these signals, they are split into 6 h sessions, and only the sessions with more than four visible GPS IIF satellites are kept for processing. The processed signals are L1/L5 for GPS, E1/E5a for Galileo, and B1/B2a for BeiDou-3; therefore, both frequencies are the same for all three constellations: 1575.42 and 1176.45 MHz.
3.2. Combined GPS, Galileo and BeiDou Processing on Common Frequencies
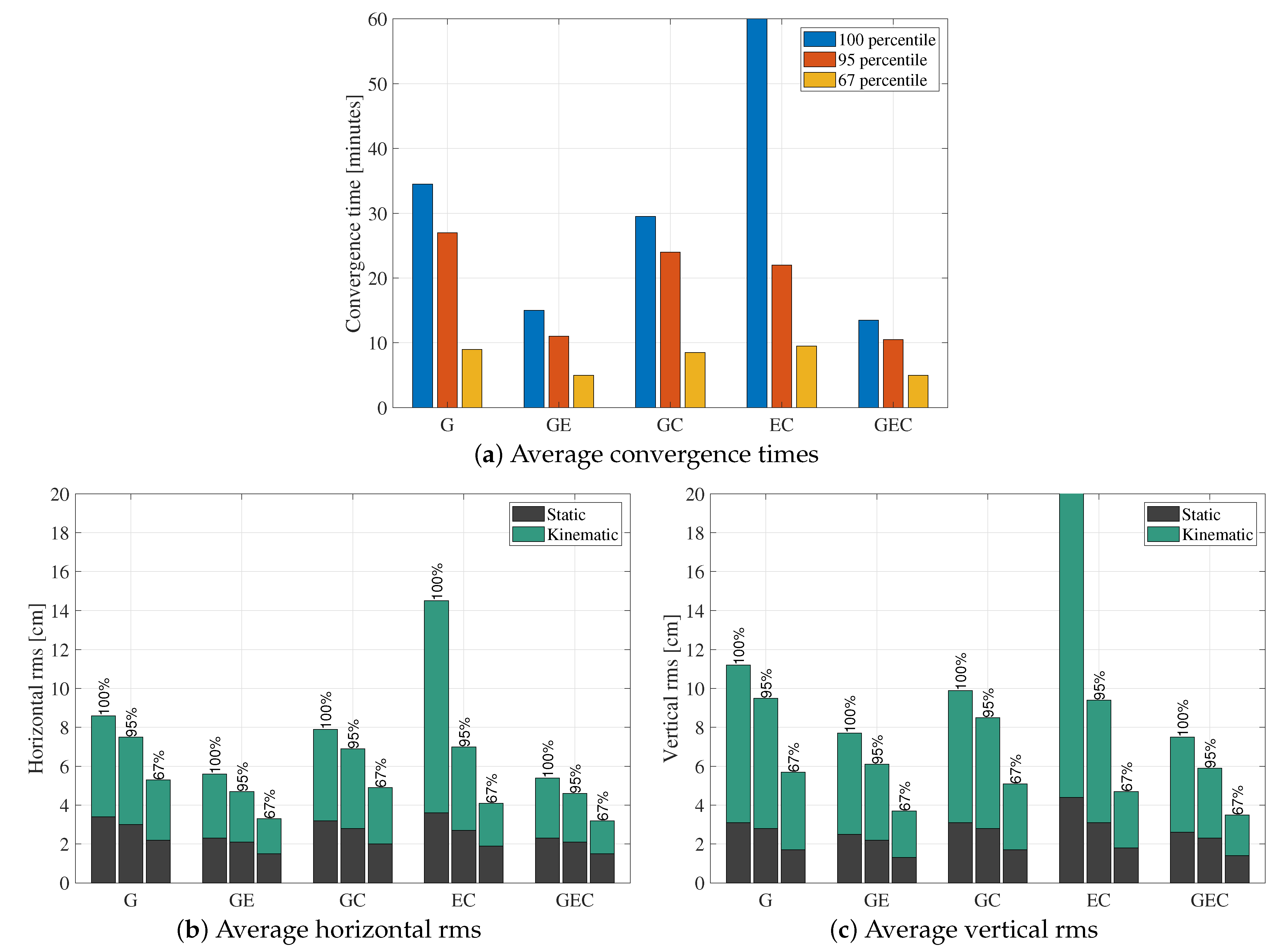
3.2.1. Multi-GNSS Analysis
3.2.2. BeiDou-2 and BeiDou-3 Compatibility
3.3. Combined GPS, Galileo, and BeiDou Processing on L1/L5 Frequencies
3.3.1. Effect of GPS L5 Biases
3.3.2. GEC Processing with GPS L5 Corrections Applied
4. Discussion and Future Work
Author Contributions
Funding
Institutional Review Board Statement
Informed Consent Statement
Data Availability Statement
Conflicts of Interest
References
- Zumberge, J.; Heflin, M.; Jefferson, D.; Watkins, M.; Webb, F. Precise point positioning for the efficient and robust analysis of GPS data from large networks. J. Geophys. Res. Solid Earth 1997, 102, 5005–5017. [Google Scholar] [CrossRef]
- Kouba, J.; Héroux, P. Precise point positioning using IGS orbit and clock products. GPS Solut. 2001, 5, 12–28. [Google Scholar] [CrossRef]
- Banville, S.; Collins, P.; Zhang, W.; Langley, R.B. Global and Regional Ionospheric Corrections for Faster PPP Convergence. NAVIGATION J. Inst. Navig. 2014, 61, 10. [Google Scholar] [CrossRef]
- Xiang, Y.; Gao, Y.; Li, Y. Reducing convergence time of precise point positioning with ionospheric constraints and receiver differential code bias modeling. J. Geod. 2020, 94, 8. [Google Scholar] [CrossRef]
- Laurichesse, D.; Mercier, F.; Berthias, J.P. Real-Time PPP with Undifferenced Integer Ambiguity Resolution, Experimental Results. In Proceedings of the 23rd International Technical Meeting of the Satellite Division of The Institute of Navigation (ION GNSS 2010), Portland, OR, USA, 21–24 September 2010; p. 11. [Google Scholar]
- Ge, M.; Gendt, G.; Rothacher, M.; Shi, C.; Liu, J. Resolution of GPS carrier-phase ambiguities in Precise Point Positioning (PPP) with daily observations. J. Geod. 2008, 82, 389–399. [Google Scholar] [CrossRef]
- Geng, J.; Teferle, F.N.; Shi, C.; Meng, X.; Dodson, A.H.; Liu, J. Ambiguity resolution in precise point positioning with hourly data. GPS Solut. 2009, 13, 263–270. [Google Scholar] [CrossRef]
- Bisnath, S.; Gao, Y. Current state of precise point positioning and future prospects and limitations. In Observing Our Changing Earth; Springer: Berlin/Heidelberg, Germany, 2009. [Google Scholar]
- Bisnath, S. PPP: Perhaps the natural processing mode for precise GNSS PNT. In Proceedings of the 2020 IEEE/ION Position, Location and Navigation Symposium (PLANS), Portland, OR, USA, 20–23 April 2020; pp. 419–425. [Google Scholar]
- NAVCEN USCG. GPS Constellation Active Nanu Status. Available online: https://www.navcen.uscg.gov/?Do=constellationStatus (accessed on 10 February 2021).
- Zaminpardaz, S.; Teunissen, P.J.G. Analysis of Galileo IOV + FOC signals and E5 RTK performance. GPS Solut. 2017, 21, 1855–1870. [Google Scholar] [CrossRef]
- GSC. Constellation information|European GNSS Service Centre. Available online: https://www.gsc-europa.eu/system-service-status/constellation-information (accessed on 10 February 2021).
- Elizabeth, H. China Launches Final Beidou Satellite to Complete GPS-Like Navigation System. Available online: https://www.space.com/china-launches-final-beidou-navigation-satellite.html (accessed on 10 February 2021).
- CNSO. BeiDou Constellation Status. Available online: http://www.csno-tarc.cn/en/system/constellation (accessed on 10 February 2021).
- Nadarajah, N.; Khodabandeh, A.; Wang, K.; Choudhury, M.; Teunissen, P. Multi-GNSS PPP-RTK: From Large- to Small-Scale Networks. Sensors 2018, 18, 1078. [Google Scholar] [CrossRef]
- Cai, C.; Gao, Y.; Pan, L.; Zhu, J. Precise point positioning with quad-constellations: GPS, BeiDou, GLONASS and Galileo. Adv. Space Res. 2015, 56, 133–143. [Google Scholar] [CrossRef]
- Li, X.; Liu, G.; Li, X.; Zhou, F.; Feng, G.; Yuan, Y.; Zhang, K. Galileo PPP rapid ambiguity resolution with five-frequency observations. GPS Solut. 2020, 24, 24. [Google Scholar] [CrossRef]
- Geng, J.; Guo, J. Beyond three frequencies: An extendable model for single-epoch decimeter-level point positioning by exploiting Galileo and BeiDou-3 signals. J. Geod. 2020, 94, 14. [Google Scholar] [CrossRef]
- Wanninger, L.; Beer, S. BeiDou satellite-induced code pseudorange variations: Diagnosis and therapy. GPS Solut. 2015, 19, 639–648. [Google Scholar] [CrossRef]
- Montenbruck, O.; Hugentobler, U.; Dach, R.; Steigenberger, P.; Hauschild, A. Apparent clock variations of the Block IIF-1 (SVN62) GPS satellite. GPS Solut. 2012, 16, 303–313. [Google Scholar] [CrossRef]
- Tegedor, J.; Øvstedal, O. Triple carrier precise point positioning (PPP) using GPS L5. Surv. Rev. 2014, 46, 288–297. [Google Scholar] [CrossRef]
- Guo, J.; Geng, J. GPS satellite clock determination in case of inter-frequency clock biases for triple-frequency precise point positioning. J. Geod. 2018, 92, 1133–1142. [Google Scholar] [CrossRef]
- Li, H.; Zhou, X.; Wu, B. Fast estimation and analysis of the inter-frequency clock bias for Block IIF satellites. GPS Solut. 2013, 17, 347–355. [Google Scholar] [CrossRef]
- Li, H.; Li, B.; Xiao, G.; Wang, J.; Xu, T. Improved method for estimating the inter-frequency satellite clock bias of triple-frequency GPS. GPS Solut. 2016, 20, 751–760. [Google Scholar] [CrossRef]
- Jiao, G.; Song, S.; Jiao, W. Improving BDS-2 and BDS-3 joint precise point positioning with time delay bias estimation. Meas. Sci. Technol. 2020, 31, 025001. [Google Scholar] [CrossRef]
- Zhang, Y.; Kubo, N.; Chen, J.; Chu, F.Y.; Wang, A.; Wang, J. Apparent clock and TGD biases between BDS-2 and BDS-3. GPS Solut. 2020, 24, 27. [Google Scholar] [CrossRef]
- Li, X.; Xie, W.; Huang, J.; Ma, T.; Zhang, X.; Yuan, Y. Estimation and analysis of differential code biases for BDS3/BDS2 using iGMAS and MGEX observations. J. Geod. 2019, 93, 419–435. [Google Scholar] [CrossRef]
- Caissy, M.; Agrotis, L.; Weber, G.; Hernandez-Pajares, M.; Hugentobler, U. The International GNSS Real-Time Service. GPS World. 2012, 23, 52–58. [Google Scholar]
- Seepersad, G. Reduction of Initial Convergence Period in GPS PPP Data Processing. Ph.D. Thesis, York University, Toronto, ON, Canada, 2012. [Google Scholar]
- Aggrey, J. Precise Point Positioning Augmentation for Various Grades of Global Navigation Satellite System Hardware. Ph.D. Thesis, York University, Toronto, ON, Canada, 2019. [Google Scholar]
- Boehm, J.; Niell, A.; Tregoning, P.; Schuh, H. Global Mapping Function (GMF): A new empirical mapping function based on numerical weather model data. Geophys. Res. Lett. 2006, 33. [Google Scholar] [CrossRef]
- Schmid, R.; Dach, R.; Collilieux, X.; Jäggi, A.; Schmitz, M.; Dilssner, F. Absolute IGS antenna phase center model igs08.atx: Status and potential improvements. J. Geod. 2016, 90, 343–364. [Google Scholar] [CrossRef]
- Wang, N.; Yuan, Y.; Li, Z.; Montenbruck, O.; Tan, B. Determination of differential code biases with multi-GNSS observations. J. Geod. 2016, 90, 209–228. [Google Scholar] [CrossRef]
- Kouba, J.; Mireault, Y. [IGSMAIL-1943] New IGS ERP Format, version 2. 1998. Available online: https://lists.igs.org/pipermail/igsmail/1998/003315.html (accessed on 10 February 2021).
- Hauschild, A.; Montenbruck, O.; Sleewaegen, J.M.; Huisman, L.; Teunissen, P.J.G. Characterization of Compass M-1 signals. GPS Solut. 2012, 16, 117–126. [Google Scholar] [CrossRef]
- Montenbruck, O.; Steigenberger, P.; Prange, L.; Deng, Z.; Zhao, Q.; Perosanz, F.; Romero, I.; Noll, C.; Stürze, A.; Weber, G.; et al. The Multi-GNSS Experiment (MGEX) of the International GNSS Service (IGS)—Achievements, prospects and challenges. Adv. Space Res. 2017, 59, 1671–1697. [Google Scholar] [CrossRef]
- Johnston, G.; Riddell, A.; Hausler, G. The International GNSS Service. In Springer Handbook of Global Navigation Satellite Systems; Teunissen, P.J., Montenbruck, O., Eds.; Springer International Publishing: Cham, Switzerland, 2017; pp. 967–982. [Google Scholar] [CrossRef]












| Parameters | Strategy |
|---|---|
| Receiver coordinates | Static mode: estimated as constants |
| Kinematic mode: 120 km/h process noise | |
| Troposphere | Dry component: GMF model and mapping function [31] |
| Wet component: estimated as random walk with process noise of | |
| 2 cm/ and GMF mapping function | |
| Receiver clock | Estimated as white noise process. One receiver clock per constellation |
| Ionospheric delays | Slant delays estimated as white noise processes |
| Ambiguities | Estimated as constants over each continuous arc |
| Satellite antenna | Corrected for using IGS14 ANTEX corrections [32] |
| Satellites DCBs | Corrected for using Chinese Academy of Sciences (CAS) products [33] |
| GPS | Galileo | BeiDou-2 | BeiDou-3 | |
|---|---|---|---|---|
| 0.24 | 0.13 | 0.86 | 0.43 |
| Single Constellation | GPS (G) |
|---|---|
| Dual constellation | GPS + Galileo (GE) |
| GPS + BeiDou-2/3 (GC) | |
| Galileo + BeiDou-2/3 (EC) | |
| Triple constellation | GPS + Galileo + BeiDou-2/3 (GEC) |
| Conv. Time (mins) | Horizontal rms (cm) | Vertical rms (cm) | |
|---|---|---|---|
| L5 corr. not applied | 235.5 | 18.9 | 17.3 |
| L5 corr. applied | 56.5 | 11.6 | 10.2 |
| Conv. Time (min) | Horizontal rms (cm) | Vertical rms (cm) | |
|---|---|---|---|
| GE | 89.0 | 6.9 | 7.0 |
| EC | 240.5 | 10.2 | 11.5 |
| GEC | 53.0 | 6.9 | 7.1 |
Publisher’s Note: MDPI stays neutral with regard to jurisdictional claims in published maps and institutional affiliations. |
© 2021 by the authors. Licensee MDPI, Basel, Switzerland. This article is an open access article distributed under the terms and conditions of the Creative Commons Attribution (CC BY) license (http://creativecommons.org/licenses/by/4.0/).
Share and Cite
Naciri, N.; Hauschild, A.; Bisnath, S. Exploring Signals on L5/E5a/B2a for Dual-Frequency GNSS Precise Point Positioning. Sensors 2021, 21, 2046. https://doi.org/10.3390/s21062046
Naciri N, Hauschild A, Bisnath S. Exploring Signals on L5/E5a/B2a for Dual-Frequency GNSS Precise Point Positioning. Sensors. 2021; 21(6):2046. https://doi.org/10.3390/s21062046
Chicago/Turabian StyleNaciri, Nacer, André Hauschild, and Sunil Bisnath. 2021. "Exploring Signals on L5/E5a/B2a for Dual-Frequency GNSS Precise Point Positioning" Sensors 21, no. 6: 2046. https://doi.org/10.3390/s21062046
APA StyleNaciri, N., Hauschild, A., & Bisnath, S. (2021). Exploring Signals on L5/E5a/B2a for Dual-Frequency GNSS Precise Point Positioning. Sensors, 21(6), 2046. https://doi.org/10.3390/s21062046

