Frontal Electroencephalogram Alpha Asymmetry during Mental Stress Related to Workplace Noise
Abstract
1. Introduction
2. Materials and Methods
2.1. Participants
2.2. Experimental Procedure
2.3. Physiological Measurements
2.4. EEG Data Acquisition and Pre-Processing
2.5. EEG Data Analysis
2.6. Statistical Analysis
3. Results
3.1. Behavioral and Physiological Responses
3.1.1. sAA Stress Responses
3.1.2. MIST Performance
3.2. Effects of Stress on Alpha Power and FAA
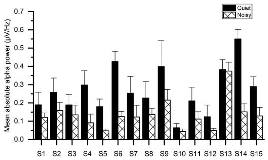
3.2.1. Alpha Power
3.2.2. FAA
4. Discussion
5. Conclusions
Author Contributions
Funding
Institutional Review Board Statement
Informed Consent Statement
Data Availability Statement
Conflicts of Interest
References
- Gai, Z.; Li, K.; Sun, H.; She, X.; Cui, B.; Wang, R. Effects of chronic noise on mRNA and protein expression of CRF family molecules and its relationship with p-tau in the rat prefrontal cortex. J. Neurol. Sci. 2016, 368, 307–313. [Google Scholar] [CrossRef] [PubMed]
- Skinner, C.; Grimwood, C. The UK noise climate 1990–2001: Population exposure and attitudes to environmental noise. Appl. Acoust. 2005, 66, 231–243. [Google Scholar] [CrossRef]
- Abouee-Mehrizi, A.; Rasoulzadeh, Y.; Kazemi, T.; Mesgari-Abbasi, M. Inflammatory and immunological changes caused by noise exposure: A systematic review. J. Environ. Sci. Health Part C 2020, 38, 61–90. [Google Scholar] [CrossRef] [PubMed]
- Fink, D.J. What Is a Safe Noise Level for the Public? Am. J. Public Health 2017, 107, 44–45. [Google Scholar] [CrossRef]
- Ising, H.; Prasher, D. Noise as a stressor and its impact on health. Noise Health 2000, 2, 5–6. [Google Scholar] [PubMed]
- Van Kamp, I.; Davies, H. Environmental noise and mental health: Five year review and future directions. In Proceedings of the 9th International Congress on Noise as a Public Health Problem, Foxwoods, CT, USA, 21–25 July 2008. [Google Scholar]
- Leka, S.; Jain, A. World Health Organization. Health Impact of Psychosocial Hazards at Work: An Overview; WHO: Geneva, Switzerland, 2010. [Google Scholar]
- Alyan, E.; Saad, N.M.; Kamel, N. Effects of Workstation Type on Mental Stress: fNIRS Study. Hum. Factors 2020. [Google Scholar] [CrossRef]
- Taffinder, N.; Torkinton, J.; Smith, S.; Russell, R.; Darzi, A. The effect of time pressure on surgical precision: A randomized study. Br. J. Surg. 1999, 86, 76. [Google Scholar]
- Rostami, A.; Gabler, C.; Agnihotri, R. Under pressure: The pros and cons of putting time pressure on your salesforce. J. Bus. Res. 2019, 103, 153–162. [Google Scholar] [CrossRef]
- Szalma, J.L.; Hancock, P.A. Noise effects on human performance: A meta-analytic synthesis. Psychol. Bull. 2011, 137, 682. [Google Scholar] [CrossRef]
- Plessas, A.; Nasser, M.; Hanoch, Y.; O’Brien, T.; Bernardes Delgado, M.; Moles, D. Impact of time pressure on dentists’ diagnostic performance. J. Dent. 2019, 82, 38–44. [Google Scholar] [CrossRef]
- Manikandan, S.; Padma, M.K.; Srikumar, R.; Jeya Parthasarathy, N.; Muthuvel, A.; Devi, R.S. Effects of chronic noise stress on spatial memory of rats in relation to neuronal dendritic alteration and free radical-imbalance in hippocampus and medial prefrontal cortex. Neurosci. Lett. 2006, 399, 17–22. [Google Scholar] [CrossRef] [PubMed]
- Wright, B.; Peters, E.; Ettinger, U.; Kuipers, E.; Kumari, V. Understanding noise stress-induced cognitive impairment in healthy adults and its implications for schizophrenia. Noise Health 2014, 16, 166–176. [Google Scholar] [CrossRef] [PubMed]
- Button, D.C.; Behm, D.G.; Holmes, M.; Mackinnon, S.N. Noise and muscle contraction affecting vigilance task performance. Occup. Ergon. 2004, 4, 157–171. [Google Scholar]
- Jensen, K.R.; Hvidman, L.; Kierkegaard, O.; Gliese, H.; Manser, T.; Uldbjerg, N.; Brogaard, L. Noise as a risk factor in the delivery room: A clinical study. PLoS ONE 2019, 14, e0221860. [Google Scholar] [CrossRef] [PubMed]
- Leather, P.; Beale, D.; Sullivan, L. Noise, psychosocial stress and their interaction in the workplace. J. Environ. Psychol. 2003, 23, 213–222. [Google Scholar] [CrossRef]
- Carroll, D.; Ginty, A.T.; Whittaker, A.C.; Lovallo, W.R.; de Rooij, S.R. The behavioural, cognitive, and neural corollaries of blunted cardiovascular and cortisol reactions to acute psychological stress. Neurosci. Biobehav. Rev. 2017, 77, 74–86. [Google Scholar] [CrossRef] [PubMed]
- Lognathan, S.; Choudhary, A.K.; Kumar, K.M. Do noise stress impact to addiction? Indian J. Health Sci. Biomed. Res. KLEU 2019, 12, 3. [Google Scholar]
- Schumacher, S.; Kirschbaum, C.; Fydrich, T.; Ströhle, A. Is salivary alpha-amylase an indicator of autonomic nervous system dysregulations in mental disorders?—A review of preliminary findings and the interactions with cortisol. Psychoneuroendocrinology 2013, 38, 729–743. [Google Scholar] [CrossRef]
- Nater, U.M.; Rohleder, N. Salivary alpha-amylase as a non-invasive biomarker for the sympathetic nervous system: Current state of research. Psychoneuroendocrinology 2009, 34, 486–496. [Google Scholar] [CrossRef]
- Miller, A.L.; Sturza, J.; Rosenblum, K.; Vazquez, D.M.; Kaciroti, N.; Lumeng, J.C. Salivary alpha amylase diurnal pattern and stress response are associated with body mass index in low-income preschool-aged children. Psychoneuroendocrinology 2015, 53, 40–48. [Google Scholar] [CrossRef]
- Thoma, M.V.; Kirschbaum, C.; Wolf, J.M.; Rohleder, N. Acute stress responses in salivary alpha-amylase predict increases of plasma norepinephrine. Biol. Psychol. 2012, 91, 342–348. [Google Scholar] [CrossRef]
- Ali, N.; Nater, U.M. Salivary alpha-amylase as a biomarker of stress in behavioral medicine. Int. J. Behav. Med. 2020, 27, 337–342. [Google Scholar] [CrossRef]
- Arnsten, A.F.T.; Raskind, M.A.; Taylor, F.B.; Connor, D.F. The Effects of Stress Exposure on Prefrontal Cortex: Translating Basic Research into Successful Treatments for Post-Traumatic Stress Disorder. Neurobiol. Stress 2015, 1, 89–99. [Google Scholar] [CrossRef]
- Kraus, K.S.; Canlon, B. Neuronal connectivity and interactions between the auditory and limbic systems. Effects of noise and tinnitus. Hear. Res. 2012, 288, 34–46. [Google Scholar] [CrossRef]
- Williams, G.V.; Goldman-Rakic, P.S. Modulation of memory fields by dopamine Dl receptors in prefrontal cortex. Nature 1995, 376, 572–575. [Google Scholar] [CrossRef] [PubMed]
- Mehta, R.K.; Parasuraman, R. Effects of mental fatigue on the development of physical fatigue: A neuroergonomic approach. Hum. Facators 2014, 56, 645–656. [Google Scholar] [CrossRef] [PubMed]
- Trapp, M.; Trapp, E.-M.; Egger, J.W.; Domej, W.; Schillaci, G.; Avian, A.; Rohrer, P.M.; Hörlesberger, N.; Magometschnigg, D.; Cervar-Zivkovic, M. Impact of mental and physical stress on blood pressure and pulse pressure under normobaric versus hypoxic conditions. PLoS ONE 2014, 9, e89005. [Google Scholar]
- Cipresso, P.; Gaggioli, A.; Serino, S.; Pallavicini, F.; Raspelli, S.; Grassi, A.; Sellitti, L.; Riva, G. EEG alpha asymmetry in virtual environments for the assessment of stress-related disorders. Stud. Health Technol. Inform. 2012, 173, 102–104. [Google Scholar] [PubMed]
- Tucker, D.M. Lateral brain function, emotion, and conceptualization. Psychol. Bull. 1981, 89, 19. [Google Scholar] [CrossRef]
- Seo, S.; Gil, Y.; Lee, J. The relation between affective style of stressor on EEG asymmetry and stress scale during multimodal task. In Proceedings of the 2008 Third International Conference on Convergence and Hybrid Information Technology, Busan, Korea, 11–13 November 2008; pp. 461–466. [Google Scholar]
- Lange, J.; Oostenveld, R.; Fries, P. Reduced occipital alpha power indexes enhanced excitability rather than improved visual perception. J. Neurosci. 2013, 33, 3212–3220. [Google Scholar] [CrossRef]
- Chandra, S.; Jaiswal, A.K.; Singh, R.; Jha, D.; Mittal, A.P. Mental Stress: Neurophysiology and Its Regulation by Sudarshan Kriya Yoga. Int. J. Yoga 2017, 10, 67–72. [Google Scholar] [CrossRef] [PubMed]
- Al-Shargie, F.; Tang, T.B.; Badruddin, N.; Kiguchi, M. Towards multilevel mental stress assessment using SVM with ECOC: An EEG approach. Med. Biol. Eng. Comput. 2018, 56, 125–136. [Google Scholar] [CrossRef]
- Alyan, E.; Saad, N.M.; Kamel, N.; Rahman, M.A. Investigating Frontal Neurovascular Coupling in Response to Workplace Design-Related Stress. IEEE Access 2020. [Google Scholar] [CrossRef]
- Dedovic, K.; Renwick, R.; Mahani, N.K.; Engert, V.; Lupien, S.J.; Pruessner, J.C. The Montreal Imaging Stress Task: Using functional imaging to investigate the effects of perceiving and processing psychosocial stress in the human brain. J. Psychiatry Neurosci. 2005, 30, 319. [Google Scholar] [PubMed]
- Rosenbaum, D.; Hilsendegen, P.; Thomas, M.; Haeussinger, F.B.; Metzger, F.G.; Nuerk, H.-C.; Fallgatter, A.J.; Nieratschker, V.; Ehlis, A.-C. cortical hemodynamic changes during the Trier Social Stress Test: An fnirs study. NeuroImage 2018, 171, 107–115. [Google Scholar] [CrossRef]
- Zhong, X.; Ming, Q.; Dong, D.; Sun, X.; Cheng, C.; Xiong, G.; Li, C.; Zhang, X.; Yao, S. Childhood Maltreatment Experience Influences Neural Response to Psychosocial Stress in Adults: An fMRI Study. Front. Psychol. 2020, 10. [Google Scholar] [CrossRef]
- Yamaguchi, M.; Kanemori, T.; Kanemaru, M.; Takai, N.; Mizuno, Y.; Yoshida, H. Performance evaluation of salivary amylase activity monitor. Biosens. Bioelectron. 2004, 20, 491–497. [Google Scholar] [CrossRef]
- Yamaguchi, M.; Deguchi, M.; Wakasugi, J. Flat-chip microanalytical enzyme sensor for salivary amylase activity. Biomed. Microdevices 2005, 7, 295–300. [Google Scholar] [CrossRef]
- Delorme, A.; Makeig, S. EEGLAB: An open source toolbox for analysis of single-trial EEG dynamics including independent component analysis. J. Neurosci. Methods 2004, 134, 9–21. [Google Scholar] [CrossRef]
- Zotev, V.; Yuan, H.; Misaki, M.; Phillips, R.; Young, K.D.; Feldner, M.T.; Bodurka, J. Correlation between amygdala BOLD activity and frontal EEG asymmetry during real-time fMRI neurofeedback training in patients with depression. NeuroImage Clin. 2016, 11, 224–238. [Google Scholar] [CrossRef]
- Dharmadhikari, A.S.; Jaiswal, S.V.; Tandle, A.L.; Sinha, D.; Jog, N. Study of frontal alpha asymmetry in mild depression: A potential biomarker or not? J. Neurosci. Rural Pract. 2019, 10, 250. [Google Scholar] [CrossRef] [PubMed]
- Horan, W.P.; Wynn, J.K.; Mathis, I.; Miller, G.A.; Green, M.F. Approach and Withdrawal Motivation in Schizophrenia: An Examination of Frontal Brain Asymmetric Activity. PLoS ONE 2014, 9, e110007. [Google Scholar] [CrossRef]
- Nater, U.M.; La Marca, R.; Florin, L.; Moses, A.; Langhans, W.; Koller, M.M.; Ehlert, U. Stress-induced changes in human salivary alpha-amylase activity—Associations with adrenergic activity. Psychoneuroendocrinology 2006, 31, 49–58. [Google Scholar] [CrossRef]
- Cantus, D.S.; López, N.S.; Ballester, M.C.; Gómez, S.S.; de la Rubia Ortí, J.E. Stress in Parkinson’s disease. Cortisol and amylase biomarkers. Systematic review. Revista Científica de la Sociedad de Enfermería Neurológica 2019, 50, 12–22. [Google Scholar] [CrossRef]
- Petrakova, L.; Doering, B.K.; Vits, S.; Engler, H.; Rief, W.; Schedlowski, M.; Grigoleit, J.-S. Psychosocial stress increases salivary alpha-amylase activity independently from plasma noradrenaline levels. PLoS ONE 2015, 10, e0134561. [Google Scholar] [CrossRef] [PubMed]
- Luijcks, R.; Vossen, C.J.; Hermens, H.J.; van Os, J.; Lousberg, R. The influence of perceived stress on cortical reactivity: A proof-of-principle study. PLoS ONE 2015, 10, e0129220. [Google Scholar] [CrossRef] [PubMed]
- Goodman, R.N.; Rietschel, J.C.; Lo, L.-C.; Costanzo, M.E.; Hatfield, B.D. Stress, emotion regulation and cognitive performance: The predictive contributions of trait and state relative frontal EEG alpha asymmetry. Int. J. Psychophysiol. 2013, 87, 115–123. [Google Scholar] [CrossRef]
- Cole, C.; Zapp, D.J.; Nelson, S.K.; Pérez-Edgar, K. Speech presentation cues moderate frontal EEG asymmetry in socially withdrawn young adults. Brain Cogn. 2012, 78, 156–162. [Google Scholar] [CrossRef][Green Version]
- Liston, C.; Miller, M.M.; Goldwater, D.S.; Radley, J.J.; Rocher, A.B.; Hof, P.R.; Morrison, J.H.; McEwen, B.S. Stress-induced alterations in prefrontal cortical dendritic morphology predict selective impairments in perceptual attentional set-shifting. J. Neurosci. 2006, 26, 7870–7874. [Google Scholar] [CrossRef] [PubMed]
- Braunstein-Bercovitz, H. Does stress enhance or impair selective attention? The effects of stress and perceptual load on negative priming. Anxiety Stress Coping 2003, 16, 345–357. [Google Scholar] [CrossRef]
- Hahad, O.; Prochaska, J.H.; Daiber, A.; Muenzel, T. Environmental Noise-Induced Effects on Stress Hormones, Oxidative Stress, and Vascular Dysfunction: Key Factors in the Relationship between Cerebrocardiovascular and Psychological Disorders. Oxid. Med. Cell. Longev. 2019, 2019, 4623109. [Google Scholar] [CrossRef]
- Zhang, X.; Bachmann, P.; Schilling, T.M.; Naumann, E.; Schächinger, H.; Larra, M.F. Emotional stress regulation: The role of relative frontal alpha asymmetry in shaping the stress response. Biol. Psychol. 2018, 138, 231–239. [Google Scholar] [CrossRef]
- Quaedflieg, C.W.E.M.; Meyer, T.; Smulders, F.T.Y.; Smeets, T. The functional role of individual-alpha based frontal asymmetry in stress responding. Biol. Psychol. 2015, 104, 75–81. [Google Scholar] [CrossRef]
- Pérez-Edgar, K.; Kujawa, A.; Nelson, S.K.; Cole, C.; Zapp, D.J. The relation between electroencephalogram asymmetry and attention biases to threat at baseline and under stress. Brain Cogn. 2013, 82, 337–343. [Google Scholar] [CrossRef]
- Craig, A. Forebrain emotional asymmetry: A neuroanatomical basis? Trends Cogn. Sci. 2005, 9, 566–571. [Google Scholar] [CrossRef] [PubMed]
- Reznik, S.J.; Allen, J.J. Frontal asymmetry as a mediator and moderator of emotion: An updated review. Psychophysiology 2018, 55, e12965. [Google Scholar] [CrossRef] [PubMed]
- Hausmann, M.; Hodgetts, S.; Eerola, T. Music-induced changes in functional cerebral asymmetries. Brain Cogn. 2016, 104, 58–71. [Google Scholar] [CrossRef] [PubMed]
- Arjmand, H.-A.; Hohagen, J.; Paton, B.; Rickard, N.S. Emotional responses to music: Shifts in frontal brain asymmetry mark periods of musical change. Front. Psychol. 2017, 8, 2044. [Google Scholar] [CrossRef]







| Workplace | Location | Mean (M) | Standard Deviation (SD) | t-Value | p-Value |
|---|---|---|---|---|---|
| Quiet | F4 | −3.708 | 0.428 | 3.202 | 0.003 ** |
| F3 | −4.204 | 0.799 | |||
| F8 | −3.614 | 0.705 | 0.678 | 0.254 | |
| F7 | −3.666 | 0.725 | |||
| Noisy | F4 | −4.043 | 0.441 | 4.535 | 0.000 *** |
| F3 | −3.719 | 0.354 | |||
| F8 | −3.779 | 0.522 | 1.083 | 0.149 | |
| F7 | −3.657 | 0.645 |
Publisher’s Note: MDPI stays neutral with regard to jurisdictional claims in published maps and institutional affiliations. |
© 2021 by the authors. Licensee MDPI, Basel, Switzerland. This article is an open access article distributed under the terms and conditions of the Creative Commons Attribution (CC BY) license (http://creativecommons.org/licenses/by/4.0/).
Share and Cite
Alyan, E.; Saad, N.M.; Kamel, N.; Yusoff, M.Z.; Zakariya, M.A.; Rahman, M.A.; Guillet, C.; Merienne, F. Frontal Electroencephalogram Alpha Asymmetry during Mental Stress Related to Workplace Noise. Sensors 2021, 21, 1968. https://doi.org/10.3390/s21061968
Alyan E, Saad NM, Kamel N, Yusoff MZ, Zakariya MA, Rahman MA, Guillet C, Merienne F. Frontal Electroencephalogram Alpha Asymmetry during Mental Stress Related to Workplace Noise. Sensors. 2021; 21(6):1968. https://doi.org/10.3390/s21061968
Chicago/Turabian StyleAlyan, Emad, Naufal M. Saad, Nidal Kamel, Mohd Zuki Yusoff, Mohd Azman Zakariya, Mohammad Abdul Rahman, Christophe Guillet, and Frederic Merienne. 2021. "Frontal Electroencephalogram Alpha Asymmetry during Mental Stress Related to Workplace Noise" Sensors 21, no. 6: 1968. https://doi.org/10.3390/s21061968
APA StyleAlyan, E., Saad, N. M., Kamel, N., Yusoff, M. Z., Zakariya, M. A., Rahman, M. A., Guillet, C., & Merienne, F. (2021). Frontal Electroencephalogram Alpha Asymmetry during Mental Stress Related to Workplace Noise. Sensors, 21(6), 1968. https://doi.org/10.3390/s21061968

