Hardware-in-the-Loop Simulations with Umbra Conditions for Spacecraft Rendezvous with PMD Visual Sensors
Abstract
1. Introduction
2. Materials and Methods
2.1. Hardware-in-the-Loop Rendezvous System
2.2. Argos 3D-P320 Camera
2.3. Fused Pose Estimation
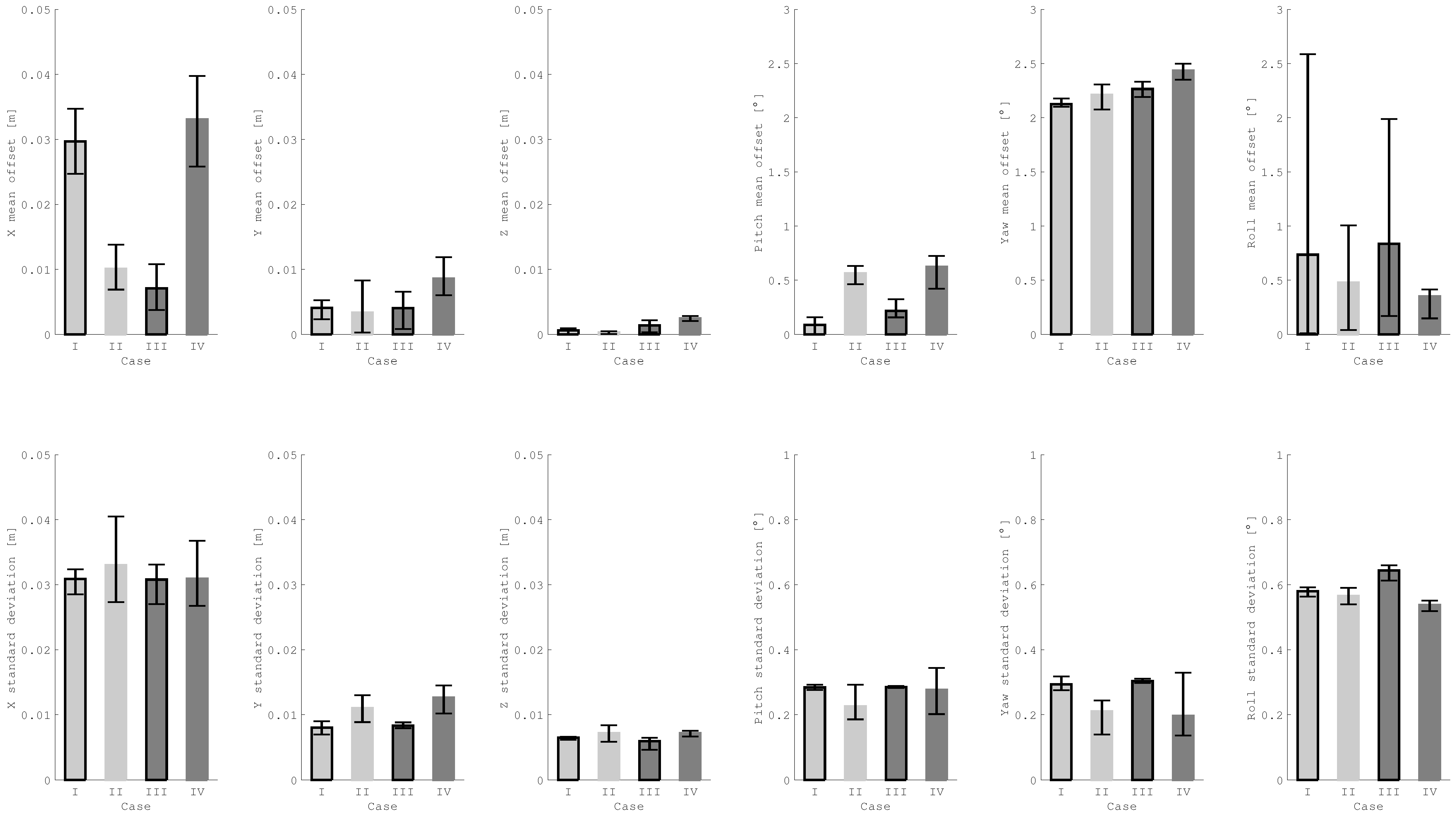
3. Results and Discussion
3.1. Spacecraft Rendezvous Scenario
3.2. Numerical Results
4. Conclusions
Author Contributions
Funding
Institutional Review Board Statement
Informed Consent Statement
Data Availability Statement
Conflicts of Interest
Abbreviations
| ADR | Active Debris Removal |
| CNN | Convolutional Neural Networks |
| ECI | Earth Central Inertial |
| EPOS | European Proximity Operations Simulator |
| GNC | Guidance Navigation and Control |
| HIL | Hardware-in-the-Loop |
| ICP | Iterative Closest Point |
| LIDAR | Light Detection and Ranging |
| OOS | On-Orbit Servicing |
| PCA | Principal Component Analyses |
| PID | Proportional Integral Derivative |
| PMD | Photonic Mixer Device |
| RANSAC | Random Sample Consensus |
| SVD | Singular Value Decomposition |
Appendix A. Pitch and Yaw Error Characterization
| Rep. | Yaw | Pitch | ||||||||
|---|---|---|---|---|---|---|---|---|---|---|
| A | B | RMSE | A | B | RMSE | |||||
| [/s] | [] | [] | [] | [] | [/s] | [] | [] | [] | [] | |
| Test I | ||||||||||
| 1 | 2.78 | 0.36 | −180.0 | 2.11 | 0.126 | 2.84 | 0.38 | 0.0 | −0.07 | 0.091 |
| 2 | 2.81 | 0.37 | −180.0 | 2.12 | 0.128 | 2.96 | 0.38 | −144.1 | −0.07 | 0.077 |
| 3 | 2.65 | 0.32 | −180.0 | 2.12 | 0.148 | 2.69 | 0.40 | 0.0 | 0.02 | 0.103 |
| 4 | 2.85 | 0.38 | −180.0 | 2.14 | 0.128 | 2.81 | 0.39 | −180.0 | 0.07 | 0.078 |
| 5 | 2.86 | 0.42 | 173.0 | 2.16 | 0.123 | 2.69 | 0.37 | −180.0 | 0.12 | 0.101 |
| Test II | ||||||||||
| 1 | 0.86 | 0.48 | 2.1 | 2.07 | 0.098 | 1.08 | 0.32 | 143.3 | −0.39 | 0.081 |
| 2 | 1.09 | 0.33 | −177.6 | 2.21 | 0.093 | 0.98 | 0.33 | 175.7 | −0.46 | 0.079 |
| 3 | 1.05 | 0.31 | −179.9 | 2.17 | 0.082 | 0.99 | 0.36 | 141.2 | −0.46 | 0.076 |
| 4 | 1.02 | 0.27 | −180.0 | 2.16 | 0.088 | 0.95 | 0.39 | -173.3 | −0.47 | 0.088 |
| 5 | 1.00 | 0.25 | −178.6 | 2.34 | 0.075 | 0.95 | 0.40 | 177.5 | −0.45 | 0.071 |
| Test III | ||||||||||
| 1 | 2.31 | 0.30 | −180.0 | 2.18 | 0.221 | 2.54 | 0.38 | 0.0 | −0.37 | 0.125 |
| 2 | 2.86 | 0.40 | 0.0 | 2.21 | 0.125 | 2.74 | 0.39 | 0.0 | −0.27 | 0.090 |
| 3 | 2.40 | 0.32 | −180.0 | 2.27 | 0.203 | 2.64 | 0.37 | −180.0 | −0.23 | 0.104 |
| 4 | 2.90 | 0.40 | 0.0 | 2.25 | 0.111 | 2.71 | 0.40 | −180.0 | −0.17 | 0.086 |
| 5 | 2.81 | 0.39 | -180.0 | 2.28 | 0.118 | 2.86 | 0.39 | 0.0 | −0.23 | 0.071 |
| Test IV | ||||||||||
| 1 | 0.99 | 0.18 | −179.5 | 2.51 | 0.077 | 0.92 | 0.44 | −71.0 | −0.55 | 0.068 |
| 2 | 0.99 | 0.19 | −179.7 | 2.50 | 0.079 | 0.93 | 0.41 | −95.3 | −0.57 | 0.068 |
| 3 | 0.97 | 0.22 | −159.8 | 2.50 | 0.085 | 0.92 | 0.43 | −53.0 | −0.65 | 0.072 |
| 4 | 0.90 | 0.36 | 77.3 | 2.49 | 0.084 | 0.90 | 0.44 | 10.4 | −0.63 | 0.109 |
| 5 | 0.96 | 0.43 | −146.6 | 2.54 | 0.074 | 0.95 | 0.37 | −179.2 | −0.60 | 0.069 |
References
- ESA’s Annual Space Environment Report; ESA Space Debris Office: Darmstadt, Germany, 2020.
- Gaias, G.; Ardaens, J.S.; Schultz, C. The AVANTI experiment: Flight results. In Proceedings of the 10th International ESA Conference on Guidance, Navigation & Control Systems, Salzburg, Austria, 29 May–2 June 2017. [Google Scholar]
- Sharma, S.; D’Amico, S. Pose estimation for non-cooperative Spacecraft Rendezvous using Neural Networks. In Proceedings of the AIAA/AAS Space Flight Mechanics Meeting, Maui, HI, USA, 13–17 January 2019. [Google Scholar]
- Benninghoff, H.; Rems, F.; Risse, E.A.; Irmisch, P.; Ernst, I.; Brunner, B.; Stelzer, M.; Lampariello, R.; Krenn, R.; Reiner, M.; et al. RICADOS-rendezvous, inspection, capturing and detumbling by orbital servicing. In Proceedings of the 7th International Conference on Astrodynamics Tools and Techniques, Oberpfaffenhofen, Germany, 6–9 November 2018. [Google Scholar]
- Lingenauber, M.; Strobl, K.H.; Oumer, N.W.; Kriegel, S. Benefits of plenoptic cameras for robot vision during close range on-orbit servicing maneuvers. In Proceedings of the 2017 IEEE Aerospace Conference, Big Sky, MT, USA, 4–11 March 2017; pp. 1–18. [Google Scholar] [CrossRef]
- Shtark, T.; Gurfil, P. Tracking a non-cooperative target using real-time stereovision-based control: An experimental study. Sensors 2017, 17, 735. [Google Scholar] [CrossRef] [PubMed]
- Hanlon, E.A.S.; Piper, G. COTS 3D camera for on-orbit proximity operations demonstration. In Proceedings of the 33rd Space Symposium, Technical Track, Colorado Springs, CO, USA, 3–6 April 2017. [Google Scholar]
- Davis, J.; Pernicka, H. Proximity operations about and identification of non-cooperative resident space objects using stereo imaging. Acta Astronaut. 2019, 155, 418–425. [Google Scholar] [CrossRef]
- Yilmaz, O.; Aouf, N.; Majewski, L.; Sanchez-Gestido, M.; Ortega, G. Using infrared based relative navigation for active debris removal. In Proceedings of the 10th International ESA Conference on Guidance, Navigation & Control Systems, Salzburg, Austria, 29 May–2 June 2017. [Google Scholar]
- Cassinis, L.; Fonod, R.; Gill, E. Review of the robustness and applicability of monocular pose estimation systems for relative navigation with an uncooperative spacecraft. Prog. Aerosp. Sci. 2019, 110, 100548. [Google Scholar] [CrossRef]
- Cavrois, B.; Vergnol, A.; Donnard, A.; Casiez, P.; Mongrard, O. LIRIS demonstrator on ATV5: A step beyond for european non cooperative navigation system. In Proceedings of the AIAA Guidance, Navigation, and Control Conference, Kissimmee, FL, USA, 5–9 January 2015. [Google Scholar] [CrossRef]
- Opromolla, R.; Fasano, G.; Rufino, G.; Grassi, M. Hardware in the loop performance assessment of LIDAR-based spacecraft pose determination. Sensors 2017, 17, 2197. [Google Scholar] [CrossRef] [PubMed]
- Rems, F.; Moreno González, J.A.; Boge, T.; Tuttas, S.; Stilla, U. Fast initial pose estimation of spacecraft from LIDAR point cloud data. In Proceedings of the 13th Symposium on Advanced Space Technologies in Robotics and Automation, Noordwijk, The Netherlands, 11–13 May 2015. [Google Scholar]
- Ventura, J. Autonomous proximity operations for noncooperative space target. Dissertation, Technische Universität München. 2016. Available online: https://mediatum.ub.tum.de/doc/1324836/1324836.pdf (accessed on 19 February 2021).
- Tzschichholz, T. Relative pose estimation of known rigid objects using a novel approach to high-level PMD-/CCD- sensor data fusion with regard to applications in space. Ph.D. Thesis, Universität Würzburg, Würzburg, Germany, 2014. [Google Scholar] [CrossRef]
- Klionovska, K.; Ventura, J.; Benninghoff, H.; Huber, F. Close range tracking of an uncooperative target in a sequence of photonic mixer device (PMD) images. Robotics 2018, 7, 5. [Google Scholar] [CrossRef]
- Schnabel, R.; Wahl, R.; Klein, R. Efficient RANSAC for Point-Cloud Shape Detection. Comput. Graph. Forum 2007, 26, 214–226. [Google Scholar] [CrossRef]
- Jasiobedzki, P.; Se, S.; Pan, T.; Umasuthan, M.; Greenspan, M. Autonomous Satellite Rendezvous and Docking using LIDAR and Model Based Vision. In Proceedings of the Conference: SPIE Spaceborne Sensors II, Orlando, FL, USA, 20 May 2005; Volume 5798. [Google Scholar] [CrossRef]
- Woods, J.O.; Christian, J.A. LIDAR-based Relative Navigation with Respect to Noncooperative Objects. Acta Astronaut. 2016, 126, 298–311. [Google Scholar] [CrossRef]
- Liu, L.; Zhao, G.; Bo, Y. Point Cloud Based Relative Pose Estimation of a Satellite in Close Range. Sensors 2016, 16, 824. [Google Scholar] [CrossRef]
- Cropp, A.; Palmer, P. Pose Estimation and Relative Orbit Determination of Nearby Target Microsatellite using Passive Imagery. In Proceedings of the 5th Cranfield Conference on Dynamics and Control of Systems and Structures in Space, Cambridge, UK, 14–18 July 2002. [Google Scholar]
- D’Amico, S.; Benn, M.; Jorgensen, J.L. Pose Estimation of an Uncooperative Spacecraft from Actual Space Imagery. Int. J. Space Sci. Eng. 2014, 2, 171–189. [Google Scholar] [CrossRef]
- Petit, A.; March, E.; Kanani, K. Tracking Complex Targets for Space Rendezvous and Debris Removal Applications. In Proceedings of the IEEE/RSJ International Conference on Intelligent Robots and Systems, IROS’12, Vilamoura-Algarve, Portugal, 7–12 October 2012; pp. 4483–4488. [Google Scholar] [CrossRef]
- Pressigout, M.; Marchand, E.; Memin, E. Hybrid Tracking Approach using Optical Flow and Pose Estimation. In Proceedings of the 15th IEEE International Conference on Image Processing, San Diego, CA, USA, 12–15 October 2008. [Google Scholar] [CrossRef]
- Opromolla, R.; Fasano, G.; Rufino, G.; Grassi, M. A Model-Based 3D Template Matching Technique for Pose Acquisition of an Uncooperative Space Object. Sensors 2015, 15, 6360. [Google Scholar] [CrossRef] [PubMed]
- Briechle, K.; Hanebeck, U.D. Template matching using fast normalized cross correlation. In Optical Pattern Recognition XII; Casasent, D.P., Chao, T.H., Eds.; Society of Photo-Optical Instrumentation Engineers (SPIE) Conference Series; SPIE: Bellingham, WA, USA, 2001; Volume 4387, pp. 95–102. [Google Scholar] [CrossRef]
- Sharma, S.; D’Amico, S. Neural Network-Based Pose Estimation for Noncooperative Spacecraft Rendezvous. IEEE Trans. Aerosp. Electron. Syst. 2020, 56, 4638–4658. [Google Scholar] [CrossRef]
- Phisannupawong, T.; Kamsing, P.; Torteeka, P.; Channumsin, S.; Sawangwit, U.; Hematulin, W.; Jarawan, T.; Somjit, T.; Yooyen, S.; Delahaye, D.; et al. Vision-Based Spacecraft Pose Estimation via a Deep Convolutional Neural Network for Noncooperative Docking Operations. Aerospace 2020, 7, 126. [Google Scholar] [CrossRef]
- Risse, E.A.; Schwenk, K.; Bennighoff, H.; Rems, F. Guidance, Navigation and Control for Autonomous Close-Range-Rendezvous. In Proceedings of the DLRK Online, Munich, Germany, 1–3 September 2020. [Google Scholar] [CrossRef]
- Benninghoff, H.; Rems, F.; Risse, E.A.; Brunner, B.; Stelzer, M.; Krenn, R.; Reiner, M.; Stangl, C.; Gnat, M. End-to-end simulation and verification of GNC and robotic systems considering both space segment and ground segment. CEAS Space J. 2018, 10, 535–553. [Google Scholar] [CrossRef]
- Rems, F.; Risse, E.A.; Benninghoff, H. Rendezvous GNC-system for autonomous orbital servicing of uncooperative targets. In Proceedings of the 10th International ESA Conference on Guidance, Navigation & Control Systems, Salzburg, Austria, 29 May–2 June 2017. [Google Scholar]
- Klionovska, K.; Benninghoff, H.; Risse, E.A.; Huber, F. Experimental analysis of measurements fusion for pose estimation using PMD sensor. In Progress in Pattern Recognition, Image Analysis, Computer Vision, and Applications; Vera-Rodriguez, R., Fierrez, J., Morales, A., Eds.; Springer International Publishing: Cham, Switzerland, 2019; pp. 401–409. [Google Scholar] [CrossRef]
- Benninghoff, H.; Rems, F.; Risse, E.A.; Mietner, C. European proximity operations simulator 2.0 (EPOS)-a robotic-based rendezvous and docking simulator. J. Large-Scale Res. Facil. 2017, 3, A107. [Google Scholar] [CrossRef]
- Rems, F.; Bennighoff, H.; Mietner, C.; Risse, E.A.; Burri, M. 10-Year Anniversary of the European Proximity Operations Simulator 2.0—Looking Back at Test Campaigns, Rendezvous Research and Facility Improvements. In Proceedings of the DLRK Online, Munich, Germany, 1–3 September 2020. [Google Scholar]
- Benninghoff, H.; Rems, F.; Boge, T. Development and hardware-in-the-loop test of a guidance, navigation and control system for on-orbit servicing. Acta Astronaut. 2014, 102, 67–80. [Google Scholar] [CrossRef]
- Langmann, B. Wide area 2D/3D Imaging. Development, Analysis and Applications; Springer: Vieweg, Wiesbaden, 2014. [Google Scholar] [CrossRef]
- Li, F.; Chen, H.; Pediredla, A.; Yeh, C.; He, K.; Veeraraghavan, A.; Cossairt, O. CS-ToF: High-resolution compressive time-of-flight imaging. Opt. Express 2017, 25, 31096–31110. [Google Scholar] [CrossRef] [PubMed]
- Fürsattel, P.; Placht, S.; Balda, M.; Schaller, C.; Hofmann, H.; Maier, A.; Riess, C. A Comparative Error Analysis of Current Time-of-Flight Sensors. IEEE Trans. Comput. Imaging 2016, 2, 27–41. [Google Scholar] [CrossRef]
- Strobl, K.H.; Sepp, W.; Fuchs, S.; Paredes, C.; Smisek, M.; Arbter, K. DLR CalDe and DLR CalLab. In Institute of Robotics and Mechatronics; German Aerospace Center (DLR): Oberpfaffenhofen, Germany, 2018. [Google Scholar]
- Klionovska, K.; Benninghoff, H.; Strobl, K.H. PMD Camera-and HandEye-Calibration for On-Orbit Servicing Test Scenarios On the Ground. In Proceedings of the In 14th Symposium on Advanced Space Technologies in Robotis and Automation (ASTRA), Leiden, the Netherlands, 20–22 June 2017. [Google Scholar]
- Grossman, J.; Grossman, M.; Katz, R. The First Systems of Weighted Differential and Integral Calculus; Archimedes Foundation: Rockport, MA, USA, 1980. [Google Scholar]
- Klionovska, K. Analysis and Optimization of PMD-Sensor Data for Rendezvous Applications in Space. Ph.D. Thesis, Universität der Bundeswehr München, Neubiberg, Germany, 2020. Available online: https://athene-forschung.unibw.de/85311?show_id=134113 (accessed on 19 February 2021).
- Fraunhofer Institute. Research News. 2017. Available online: https://www.fraunhofer.de/content/dam/zv/en/press-media/2017/August/ResearchNews/rn08_2017_FHR_Defunct%20satellites.pdf (accessed on 19 February 2021).
- Greene, C.A.; Thirumalai, K.; Kearney, K.A.; Delgado, J.M.; Schwanghart, W.; Wolfenbarger, N.S.; Thyng, K.M.; Gwyther, D.E.; Gardner, A.S.; Blankenship, D.D. The Climate Data Toolbox for MATLAB. Geochem. Geophys. Geosyst. 2019, 20, 3774–3781. [Google Scholar] [CrossRef]











| Parameter | Numerical Values |
|---|---|
| Field of View | 28.91 × 23.45 deg |
| Resolution of the chip | 352 × 287 pixels |
| Integration time | 24 ms |
| Frames per second | 45 |
| Modulated frequencies | 5.004 MHz, 7.5 MHz, 10.007 MHz, |
| 15 MHz, 20.013 MHz, 25.016 MHz, 30 MHz | |
| Mass | 2 kg |
| Power Consumption | <25.5 W |
| Case | Illumination | Target Rotation |
|---|---|---|
| Test I | Target enlighted | 3 deg/s |
| Test II | Target enlighted | 1 deg/s |
| Test III | Umbra conditions | 3 deg/s |
| Test IV | Umbra conditions | 1 deg/s |
Publisher’s Note: MDPI stays neutral with regard to jurisdictional claims in published maps and institutional affiliations. |
© 2021 by the authors. Licensee MDPI, Basel, Switzerland. This article is an open access article distributed under the terms and conditions of the Creative Commons Attribution (CC BY) license (http://creativecommons.org/licenses/by/4.0/).
Share and Cite
Klionovska, K.; Burri, M. Hardware-in-the-Loop Simulations with Umbra Conditions for Spacecraft Rendezvous with PMD Visual Sensors. Sensors 2021, 21, 1455. https://doi.org/10.3390/s21041455
Klionovska K, Burri M. Hardware-in-the-Loop Simulations with Umbra Conditions for Spacecraft Rendezvous with PMD Visual Sensors. Sensors. 2021; 21(4):1455. https://doi.org/10.3390/s21041455
Chicago/Turabian StyleKlionovska, Ksenia, and Matthias Burri. 2021. "Hardware-in-the-Loop Simulations with Umbra Conditions for Spacecraft Rendezvous with PMD Visual Sensors" Sensors 21, no. 4: 1455. https://doi.org/10.3390/s21041455
APA StyleKlionovska, K., & Burri, M. (2021). Hardware-in-the-Loop Simulations with Umbra Conditions for Spacecraft Rendezvous with PMD Visual Sensors. Sensors, 21(4), 1455. https://doi.org/10.3390/s21041455
