A Novel Hybrid Precoding-Companding Technique for Peak-to-Average Power Ratio Reduction in 5G and beyond
Abstract
1. Introduction
- The authors in [22,24,27,28,30,32,33,34,36,37] hybridized -law with different precoding matrices due to its high PAPR reduction gain. However, BER and OOB radiation are more important metrics than PAPR reduction gain when working with PAPR reduction techniques that cause BER degradation, such as companding techniques.
- Most importantly, the previous works did not clarify why the precoding matrices are selected, and the companding transforms are hybridized. Although this is the key challenge in the hybridization process.
Contributions
- This paper proposes a new precoding-companding technique to reduce BER and OOB radiation.
- The proposed technique outperforms state of the art precoding-companding techniques in terms of BER, EVM, and OOB-radiation reduction.
- The proposed technique reduces EVM by 15 dB and increases HPA efficiency by 11.4% in contrast with the best-known technique (i.e., SRC-) that reduces EVM by 10 dB and increases HPA efficiency by 9.88%.
- The proposed technique also achieves PAPR reduction gain better than PTS, the most powerful PAPR reduction technique with a 99% reduction in the required computational complexity.
2. Background and Motivation
2.1. Motivation for PAPR Reduction
2.2. Evaluation Criteria of PAPR Reduction Techniques
3. Proposed Hybrid Precoding-Companding Technique
3.1. Precoding
3.2. Companding
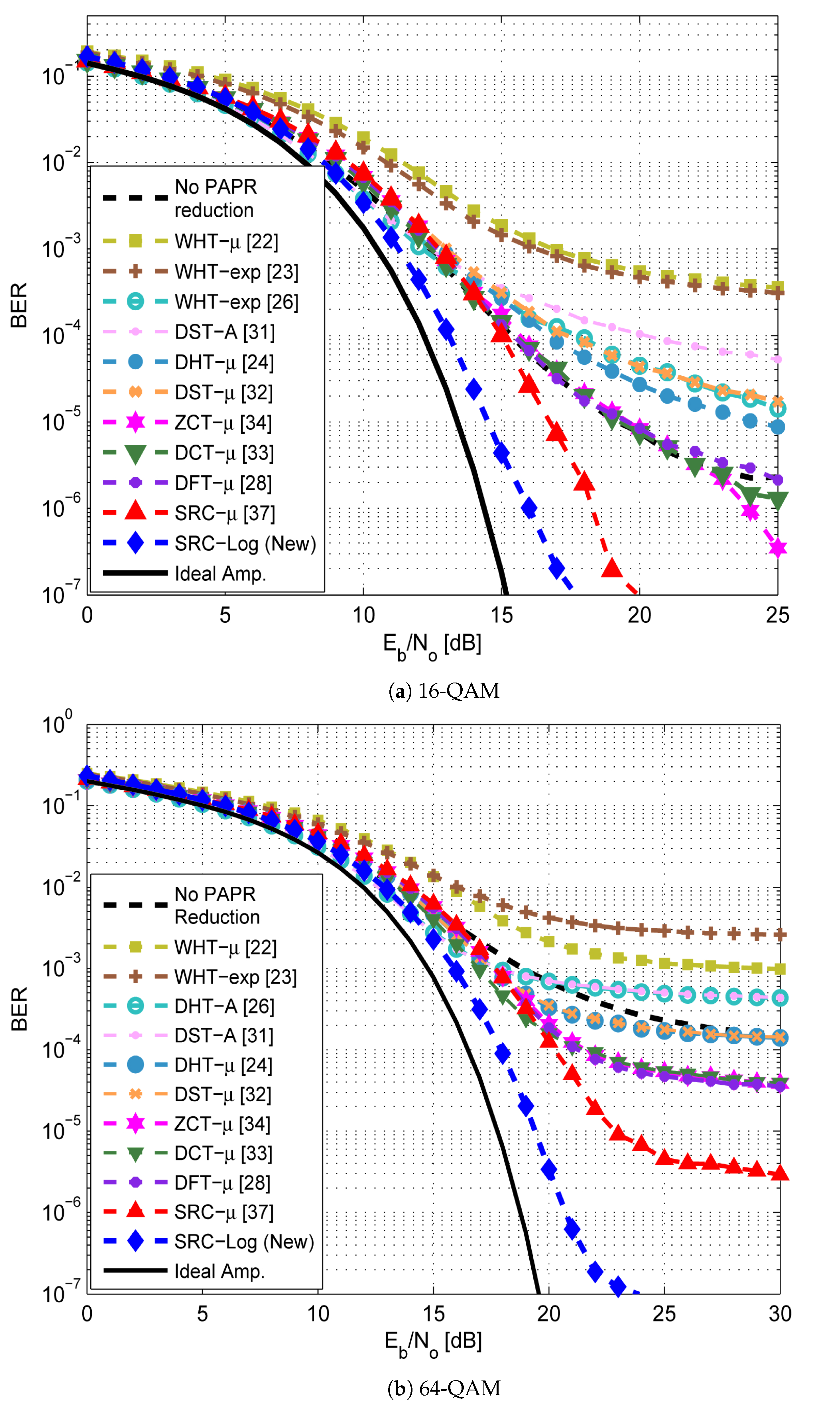
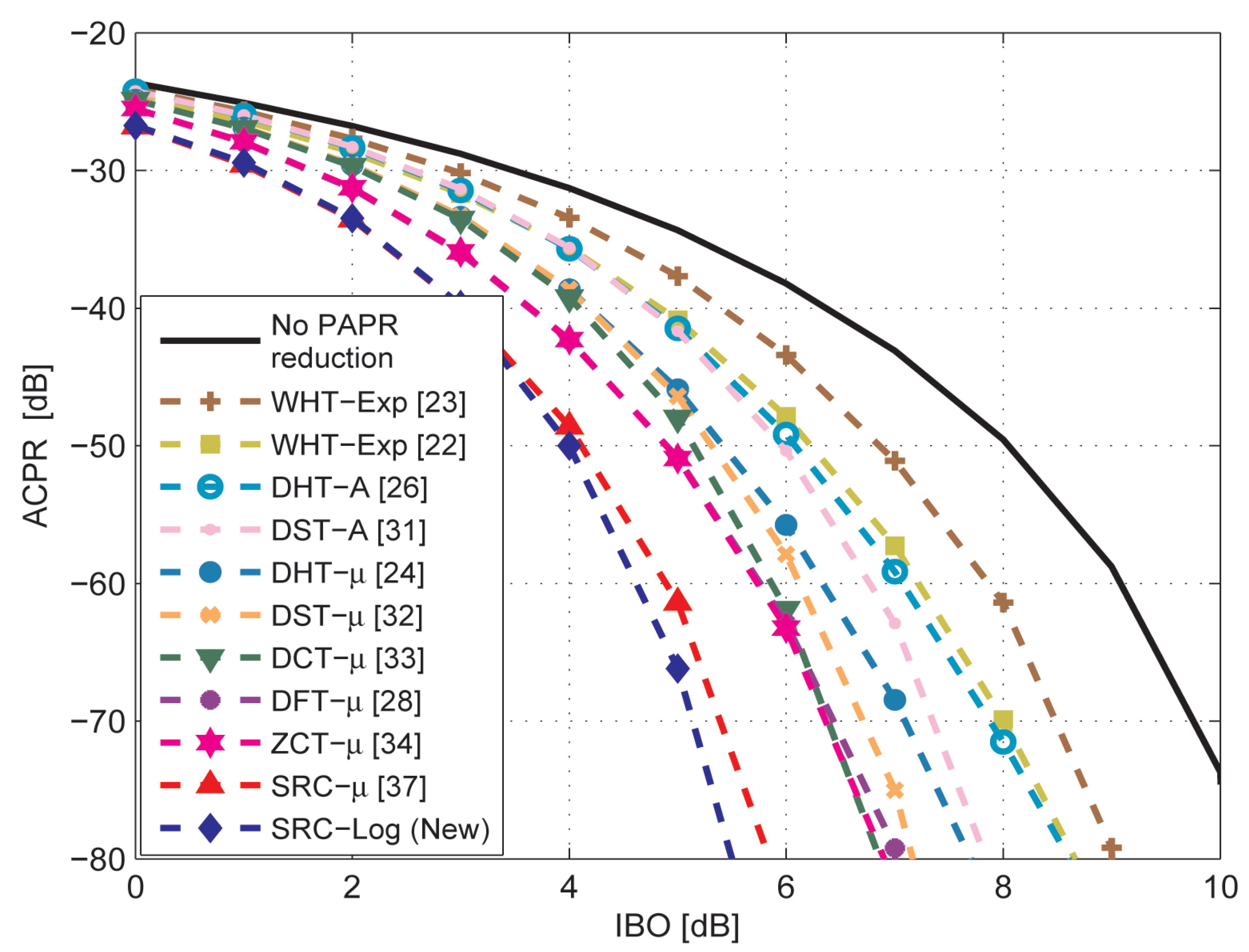
4. Simulation and Results
5. Conclusions
Author Contributions
Funding
Acknowledgments
Conflicts of Interest
Abbreviations
| ACE | Active Constellation Extension | MSR | Multiple Signal Representation |
| ACPR | Adjacent Channel Power Ratio | OBO | Output Back-Off |
| AM | Amplitude Modulation | OFDM | Orthogonal Frequency Division Multiplexing |
| AWGN | Additive White Gaussian Noise | OOB | Out-of-Band |
| BER | Bit Error Rate | PAPR | Peak-to-Average Power Ratio |
| B5G | Beyond 5G | Probability Density Functions | |
| CCDF | Complementary Cumulative Distribution Function | PLC | Piecewise Linear Companding |
| CCRR | Computational Complexity Reduction Ratio | PM | Phase Modulation |
| CLT | Central Limit Theorem | PSD | Power Spectral Density |
| CP | Cyclic Prefix | PTS | Partial Transmit Sequence |
| CR | Cognitive Radio | RAs | Real Additions |
| DCT | Discrete Cosine Transform | RMs | Real Multiplications |
| DFT | Discrete Fourier Transform | SL | Soft Limiter |
| DHT | Discrete Hartley Transform | SLM | Selective Mapping |
| DST | Discrete Sine Transform | SRC | Square root Raised Cosine |
| EVM | Error Vector Magnitude | TI | Tone Injection |
| FEC | Forward Error Correction | TR | Tone Reservation |
| HPA | High Power Amplifier | VLC | Visible Light Communication |
| IBO | Input Back-Off | WHT | Walsh-Hadamard Transform |
| IFFT | Inverse Fast Fourier Transform | ZCT | Zadoff–Chu Transform |
| mMIMO | massive Multiple-Input and Multiple-Output |
References
- Dey, I.; Ciuonzo, D.; Rossi, P.S. Wideband Collaborative Spectrum Sensing Using Massive MIMO Decision Fusion. IEEE Trans. Wireless Commun. 2020, 19, 5246–5260. [Google Scholar] [CrossRef]
- Wei, L.; Tirkkonen, O. Cooperative spectrum sensing of OFDM signals using largest eigenvalue distributions. In Proceedings of the 2009 IEEE 20th International Symposium on Personal, Indoor and Mobile Radio Communications, Tokyo, Japan, 13–16 September 2009; pp. 2295–2299. [Google Scholar]
- Rahmatallah, Y.; Mohan, S. Peak-To-Average Power Ratio Reduction in OFDM Systems: A Survey And Taxonomy. IEEE Commun. Surv. Tutorials 2013, 15, 1567–1592. [Google Scholar] [CrossRef]
- Mounir, M.; Youssef, M.I.; Tarrad, I.F. On the effectiveness of deliberate clipping PAPR reduction technique in OFDM systems. In Proceedings of the 2017 Japan-Africa Conference on Electronics, Communications and Computers (JAC-ECC), Alexandria, Egypt, 18–20 December 2017; pp. 21–24. [Google Scholar]
- Zhou, Z.; Wang, L.; Hu, C. Low-Complexity PTS Scheme for Improving PAPR Performance of OFDM Systems. IEEE Access 2019, 7, 131986–131994. [Google Scholar] [CrossRef]
- Valluri, S.P.; Kishore, V.; Vakamulla, V.M. A New Selective Mapping Scheme for Visible Light Systems. IEEE Access 2020, 8, 18087–18096. [Google Scholar] [CrossRef]
- Aimer, Y.; Bouazza, B.S.; Bachir, S.; Duvanaud, C. Evaluation of PAPR reduction based on block interleaving method in presence of nonlinear PA model with memory. In Proceedings of the 2018 25th International Conference on Telecommunications (ICT), Saint-Malo, France, 26–28 June 2018; pp. 451–455. [Google Scholar]
- Liu, Y.; Wang, Y.; Ai, B. An Efficient ACE Scheme for PAPR Reduction of OFDM Signals With High-Order Constellation. IEEE Access 2019, 7, 118322–118332. [Google Scholar] [CrossRef]
- Chen, H.; Liang, H.Y.; Chu, H.C.; Lin, C.B. Improving the peak-to-average power ratio of the single-carrier frequency-division multiple access system through the integration of tone injection and tone reservation techniques. Int. J. Commun. Syst. 2018, 31, e3408. [Google Scholar] [CrossRef]
- Mounir, M.; El_Mashade, M.B. On The Selection of The Best Companding Technique for PAPR Reduction in OFDM Systems. J. Inf. Telecommun. 2019, 3, 400–411. [Google Scholar] [CrossRef]
- Mounir, M.; Tarrad, I.F.; Youssef, M.I. Performance Evaluation of Different Precoding Matrices for PAPR Reduction in OFDM Systems. Internet Technol. Lett. 2018, 1, e70. [Google Scholar] [CrossRef]
- Langlais, C.; Haddad, S.; Louet, Y.; Mazouz, N. Clipping noise mitigation with capacity approaching FEC codes for PAPR reduction of OFDM signals. In Proceedings of the 2011 8th International Workshop on Multi-Carrier Systems Solutions, Herrsching, Germany, 1–3 May 2011; pp. 1–5. [Google Scholar]
- Jiang, T.; Wu, Y. An Overview: Peak-to-Average Power Ratio Reduction Techniques for OFDM Signals. IEEE Trans. Broadcast. 2008, 54, 257–268. [Google Scholar] [CrossRef]
- Han, S.H.; Lee, J.H. An overview of peak-to-average power ratio reduction techniques for multicarrier transmission. IEEE Wirel. Commun. 2005, 12, 56–65. [Google Scholar] [CrossRef]
- Mounir, M.; El_Mashade, M.B.; Gaba, G.S. On the Selection of the Best MSR PAPR Reduction Technique for OFDM Based Systems. In Internet of Things—Applications and Future; Ghalwash, A.Z., El Khameesy, N., Magdi, D.A., Joshi, A., Eds.; Springer: Singapore, 2020; pp. 157–173. [Google Scholar]
- Sandoval, F.; Poitau, G.; Gagnon, F. Hybrid Peak-to-Average Power Ratio Reduction Techniques: Review and Performance Comparison. IEEE Access 2017, 5, 27145–27161. [Google Scholar] [CrossRef]
- Liang, H.Y.; Chu, H.C.; Cheng, Y.H. Combining partial transmit sequences and selective mapping to reduce computational complexity of selective mapping techniques. Trans. Emerg. Telecommun. Technol. 2020, 31, e4093. [Google Scholar] [CrossRef]
- Wang, L. Hybrid Interleaved-PTS Scheme for PAPR Reduction in OFDM Systems. In Communications and Networking; Chen, Q., Meng, W., Zhao, L., Eds.; Springer International Publishing: Cham, Switzerland, 2018; pp. 370–379. [Google Scholar]
- Youssef, M.I.; Tarrad, I.F.; Mounir, M. Performance evaluation of hybrid ACE-PTS PAPR reduction techniques. In Proceedings of the 2016 11th International Conference on Computer Engineering Systems (ICCES), Cairo, Egypt, 20–21 December 2016; pp. 407–413. [Google Scholar]
- Freag, H.; Hassan, E.S.; El-Dolil, S.A.; Dessouky, M.I. PAPR reduction for OFDM-based visible light communication systems using proposed hybrid technique. Int. J. Commun. Syst. 2018, 31, e3582. [Google Scholar] [CrossRef]
- Thota, S.; Kamatham, Y.; Paidimarry, C.S. Analysis of Hybrid PAPR Reduction Methods of OFDM Signal for HPA Models in Wireless Communications. IEEE Access 2020, 8, 22780–22791. [Google Scholar] [CrossRef]
- Shaheen, I.A.; Zekry, A.; Newagy, F.; Ibrahim, R. Proposed New Schemes to Reduce PAPR for STBC MIMO FBMC systems. Commun. Appl. Electron. 2017, 6, 27–33. [Google Scholar]
- Kang, C.; Liu, Y.; Hu, M.; Zhang, H. A Low Complexity PAPR Reduction Method Based on FWFT and PEC for OFDM Systems. IEEE Trans. Broadcast. 2017, 63, 416–425. [Google Scholar] [CrossRef]
- Anoh, K.; Adebisi, B.; Rabie, K.M.; Tanriover, C. Root-Based Nonlinear Companding Technique for Reducing PAPR of Precoded OFDM Signals. IEEE Access 2018, 6, 4618–4629. [Google Scholar] [CrossRef]
- Thammana, A.; Kasi, M.K. Improvement measures of DHT precoded OFDM over WiMAX channels with piecewise linear companding. In Proceedings of the 2016 IEEE Annual India Conference (INDICON), Bangalore, India, 16–18 December 2016; pp. 1–6. [Google Scholar]
- Yadav, A.K.; Dubey, D.; Prajapati, Y.K. Minimization of Peak-to-Average Power Ratio in DHT Precoded OFDM System by A-Law Companding. In Advances in VLSI, Communication, and Signal Processing; Harvey, D., Kar, H., Verma, S., Bhadauria, V., Eds.; Springer: Singapore, 2021; pp. 623–629. [Google Scholar]
- Sangannavar, A.; Reddy, K.V. PAPR optimization in MIMO-OFDM system for WiMAX. In Proceedings of the 2017 International Conference on Energy, Communication, Data Analytics and Soft Computing (ICECDS), Chennai, India, 1–2 August 2017; pp. 603–607. [Google Scholar]
- Yadav, A.K.; Sahoo, P.K.; Prajapati, Y.K. DFT Precoder Technique Combined with μ-Law Companding for PAPR Reduction in OFDM System. In Advances in VLSI, Communication, and Signal Processing; Dutta, D., Kar, H., Kumar, C., Bhadauria, V., Eds.; Springer: Singapore, 2020; pp. 23–35. [Google Scholar]
- Thammana, A.; Ramesh, J.; Uma, R. Performance Analysis of SC-FDMA with Piecewise Linear Companding over Various Fading channels. Int. J. Pure Appl. Math. 2017, 114, 31–42. [Google Scholar]
- Shaheen, I.; Zekry, A.; Newagy, F.; Ibrahim, R. PAPR reduction for FBMC/OQAM using hybrid scheme of different Precoding transform and mu-law companding. Int. J. Eng. Technol 2017, 6, 154–162. [Google Scholar] [CrossRef]
- Shaheen, I.A.; Zekry, A.; Newagy, F.; Ibrahim, R. PAPR Reduction of FBMC-OQAM Systems Based on Combination of DST Precoding and A-law Nonlinear Companding Technique. In Proceedings of the 2017 International Conference on Promising Electronic Technologies (ICPET), Deir El-Balah, Palestine, 16–17 October 2017; pp. 38–42. [Google Scholar]
- Kaur, S.; Kansal, L.; Gaba, G.S. Impact of Hybrid PAPR Reduction Techniques on FBMC for 5G Applications. Int. J. Smart Sens. Intell. Syst. 2020, 13, 1–10. [Google Scholar] [CrossRef]
- Ekengwu, B.; Asiegbu, N.; Muoghalu, C.; Ezeanya, I. Improving Peak to Average Power Ratio of OFDM Signal Using DCT Precoding with Combined Distortion Techniques. Int. J. Progress. Sci. Technol. 2020, 23, 42–48. [Google Scholar]
- Virdi, J.; Kumar, S. PAPR reduction based on precoding techniques with companding in OFDM systems. Int. J. Sci. Engin. Res. 2013, 4, 1064–1070. [Google Scholar]
- Manjula, A.V.; Muralidhara, K.N.R. Hybrid Zadoff-Chu and multilateral piecewise exponential companding transform–based PAPR reduction technique in OFDM systems. Int. J. Commun. Syst. 2020, 33, e4183. [Google Scholar] [CrossRef]
- Sharan, N.; Ghorai, S.K.; Kumar, A. Peak-to-Average Power Ratio (PAPR) Reduction Using Combination of Precoding and Companding Techniques for VLC OFDM Systems. In Proceedings of the 2019 TEQIP III Sponsored International Conference on Microwave Integrated Circuits, Photonics and Wireless Networks (IMICPW), Tiruchirappalli, India, 22–24 May 2019; pp. 149–153. [Google Scholar]
- Sharan, N.; Ghorai, S. PAPR reduction and non-linearity alleviation using hybrid of precoding and companding in a visible light communication (VLC) system. Opt. Quantum Electron. 2020, 52, 1–14. [Google Scholar] [CrossRef]
- Gregorio, F.; González, G.; Schmidt, C.; Cousseau, J. Signal Processing Techniques for Power Efficient Wireless Communication Systems; Springer: Cham, Switzerland, 2020. [Google Scholar]
- Jawhar, Y.A.; Audah, L.; Taher, M.A.; Ramli, K.N.; Shah, N.S.M.; Musa, M.; Ahmed, M.S. A Review of Partial Transmit Sequence for PAPR Reduction in the OFDM Systems. IEEE Access 2019, 7, 18021–18041. [Google Scholar] [CrossRef]
- Slimane, S.B. Reducing the Peak-to-Average Power Ratio of OFDM Signals Through Precoding. IEEE Trans. Veh. Technol. 2007, 56, 686–695. [Google Scholar] [CrossRef]
- Huang, X.; Lu, J.; Zheng, J.; Letaief, K.B.; Gu, J. Companding Transform for Reduction in Peak-to-Average Power Ratio of OFDM Signals. IEEE Trans. Wireless Commun. 2004, 3, 2030–2039. [Google Scholar] [CrossRef]
- Armstrong, J. Peak-to-average power reduction for OFDM by repeated clipping and frequency domain filtering. Electron. Lett. 2002, 38, 246–247. [Google Scholar] [CrossRef]
- Pascual-Iserte, A.; Perez-Neira, A.I.; Lagunas, M.A. On power allocation strategies for maximum signal to noise and interference ratio in an OFDM-MIMO system. IEEE Trans. Wireless Commun. 2004, 3, 808–820. [Google Scholar] [CrossRef]
- Salvo Rossi, P.; Romano, G.; Ciuonzo, D.; Palmieri, F. Gain design and power allocation for overloaded MIMO-OFDM systems with channel state information and iterative multiuser detection. In Proceedings of the 2011 8th International Symposium on Wireless Communication Systems, Aachen, Germany, 6–9 November 2011; pp. 769–773. [Google Scholar]













| Parameters | Values |
|---|---|
| No. Subcarriers () | 256 |
| No. Data subcarriers () | 192 |
| Oversampling value (L) | 4 |
| Model of HPA | SL |
| Modulation (order-type) | 16-QAM 64-QAM |
| Channel model | AWGN channel Rayleigh channel |
| IBO (dB) | 16-QAM: 4/2 (AWGN/Rayleigh) 64-QAM: 5/4 (AWGN/Rayleigh) |
| Channel Estimation | Ideal |
| Decoder Type | Hard Decision Decoding |
Publisher’s Note: MDPI stays neutral with regard to jurisdictional claims in published maps and institutional affiliations. |
© 2021 by the authors. Licensee MDPI, Basel, Switzerland. This article is an open access article distributed under the terms and conditions of the Creative Commons Attribution (CC BY) license (http://creativecommons.org/licenses/by/4.0/).
Share and Cite
Mounir, M.; El_Mashade, M.B.; Berra, S.; Gaba, G.S.; Masud, M. A Novel Hybrid Precoding-Companding Technique for Peak-to-Average Power Ratio Reduction in 5G and beyond. Sensors 2021, 21, 1410. https://doi.org/10.3390/s21041410
Mounir M, El_Mashade MB, Berra S, Gaba GS, Masud M. A Novel Hybrid Precoding-Companding Technique for Peak-to-Average Power Ratio Reduction in 5G and beyond. Sensors. 2021; 21(4):1410. https://doi.org/10.3390/s21041410
Chicago/Turabian StyleMounir, Mohamed, Mohamed B. El_Mashade, Salah Berra, Gurjot Singh Gaba, and Mehedi Masud. 2021. "A Novel Hybrid Precoding-Companding Technique for Peak-to-Average Power Ratio Reduction in 5G and beyond" Sensors 21, no. 4: 1410. https://doi.org/10.3390/s21041410
APA StyleMounir, M., El_Mashade, M. B., Berra, S., Gaba, G. S., & Masud, M. (2021). A Novel Hybrid Precoding-Companding Technique for Peak-to-Average Power Ratio Reduction in 5G and beyond. Sensors, 21(4), 1410. https://doi.org/10.3390/s21041410

