Selection of EMG Sensors Based on Motion Coordinated Analysis
Abstract
1. Introduction
2. Materials and Methods
2.1. EMG Acquisition
- (1)
- Appropriate angle: When the residual limb swings naturally, the expected angle is about 35°.
- (2)
- Excessive angle: The movement angle of the stump is greater than the expected angle. A forward traction force is exerted during the swing of the stump, and the swing angle is about 45°.
- (3)
- Angle too small: The movement angle of the stump is less than the expected angle. A backward resistance is applied during the swing of the stump, and the swing angle is about 25°.
2.2. Functional Network Construction
- (1)
- Ensure network connectivity and avoid too many isolated points.
- (2)
- Network average degree (Equation (6)) is greater than .
2.3. Network Characteristics
- (1)
- Node degree
- (2)
- Clustering coefficient
- (3)
- Average path length
2.4. Node Contraction Method
2.5. Convergent Cross-Mapping Algorithm
3. Results
3.1. Network Establishment and Characteristics Analysis
3.2. Node Importance Evaluation
- (1)
- Appropriate angle: the residual limb performs a regular leg swing exercise, the muscle contraction is the strongest, all the muscles work together, and the movement is the most stable.
- (2)
- Excessive angle: the side muscles act slightly more potent than the front when the residual limb receives forward traction.
- (3)
- Angle too small: the residual limb is subjected to backward resistance. To reduce the discomfort to not cause damage to itself, the muscle contraction is not apparent.
3.3. Construction of Directed Network
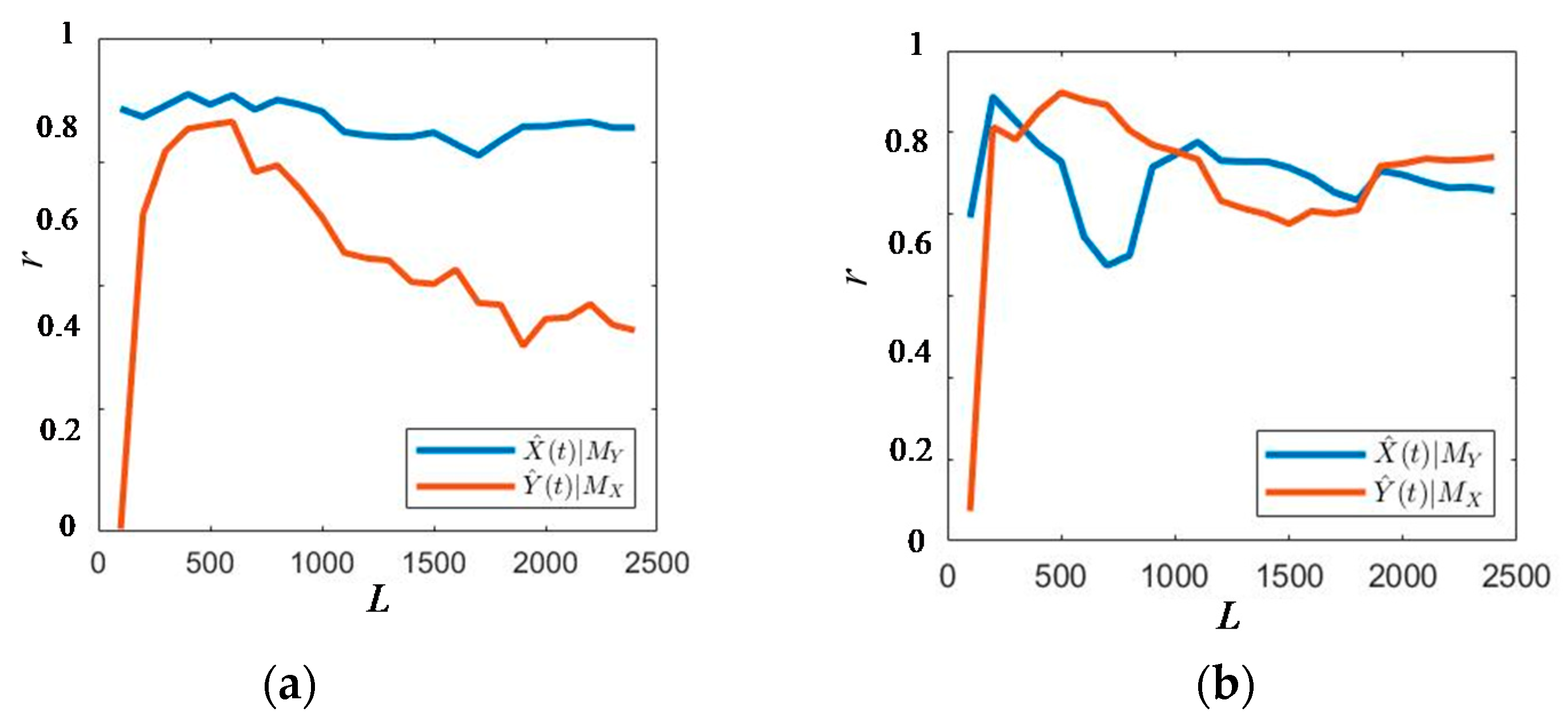
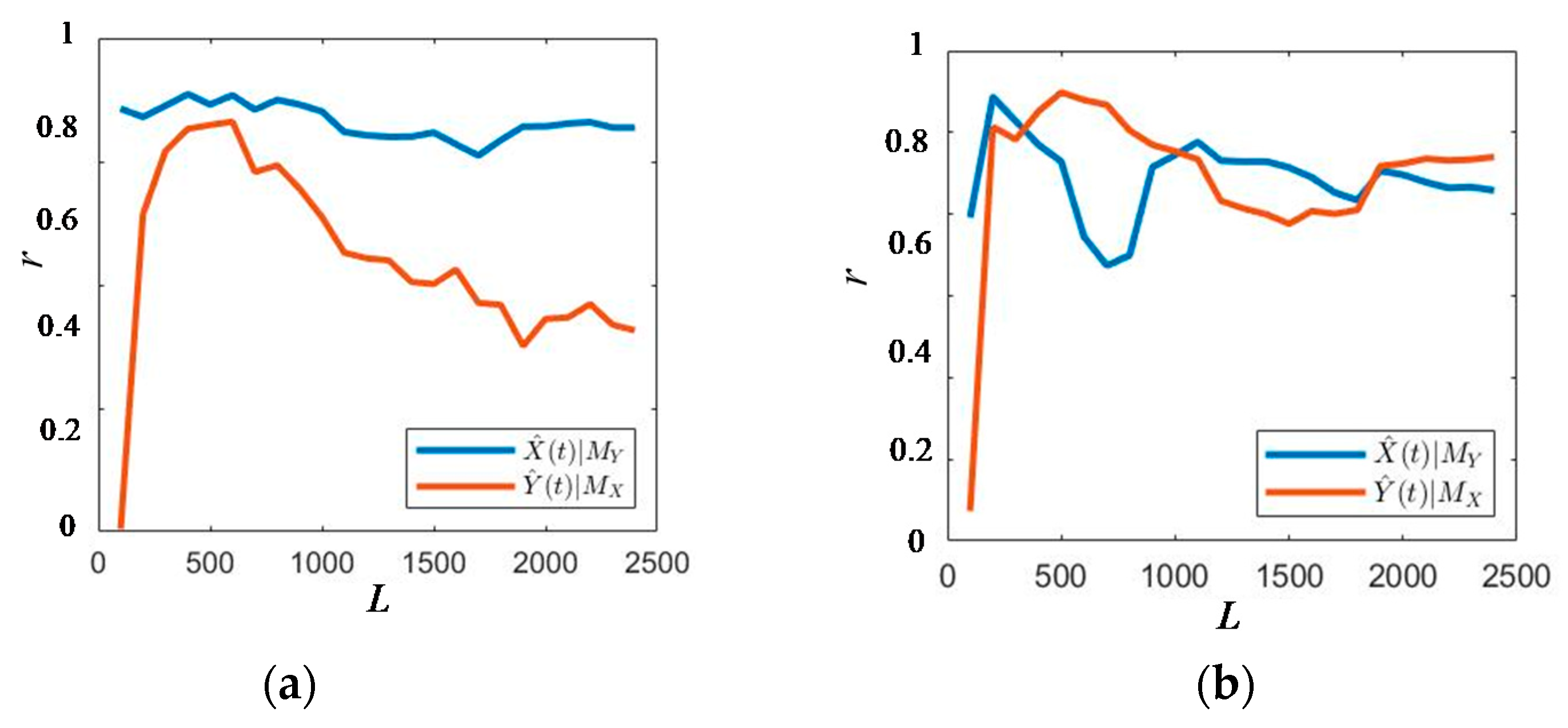
- (1)
- When Mx–My > 0.3, the strength of causality from x to y is much stronger than the strength of causality from y to x, so there is a one-way causal relationship from x to y.
- (2)
- When Mx–My < 0.1, there is not only the information containing y in x but also the information containing x in y, and the causal relationship strength is similar between the two, so there is no one-way causal relationship between x and y, and there is no information flow.
- (3)
- When 0.1 < Mx–My < 0.3, Mx > 0.5, there is no one-way causal relationship.
- (4)
- When 0.1 < Mx–My < 0.3, Mx < 0.5, there is a one-way causal relationship from x to y.
- (1)
- Appropriate angle: the arrow pointing represents the direction of information flow, the starting end of the arrow is the cause, and the pointing end is the effect. V12 is the top of the information outflow point, which contains the most information. In addition to V12, the points V7, V17, and V28 are also at the front end of the information flow, indicating that these nodes also contain relatively more motion information. The information inflow points V2 and V29 are located at the bottom of the information flow. There are more information inflows, indicating that participation is of secondary importance when the angle is appropriate.
- (2)
- Excessive angle: V7 is the vertex of the information outflow point. V2, V24, and V28 also have more information outflow, indicating that these nodes contain the most motion information when the angle is too large.
- (3)
- Angle too small: V28 is located at the starting point of information flow and is relatively most important in the movement process. V28, V24, and V32 nodes contain more motion information when the angle is too small. V4 and V7 are at the end of the information flow chain when the angle is too small.
3.4. Analysis of Movement Difference
4. Discussion
Author Contributions
Funding
Institutional Review Board Statement
Informed Consent Statement
Acknowledgments
Conflicts of Interest
References
- Wang, F.; Wei, X.; Guo, J.; Zheng, Y.; Li, J.; Du, S. Research Progress of Rehabilitation Exoskeletal Robot and Evaluation Methodologies Based on Bioelectrical Signals. In Proceedings of the 2019 IEEE 9th Annual International Conference on CYBER Technology in Automation, Control, and Intelligent Systems (CYBER), Suzhou, China, 29 July–2 August 2019; pp. 826–831. [Google Scholar]
- Young, A.J.; Hargrove, L.J. A Classification Method for User-Independent Intent Recognition for Transfemoral Amputees Using Powered Lower Limb Prostheses. IEEE Trans. Neural Syst. Rehabil. Eng. 2016, 24, 217–225. [Google Scholar] [CrossRef] [PubMed]
- Su, B.; Wang, J.; Liu, S.; Sheng, M.; Jiang, J.; Xiang, K. A CNN-Based Method for Intent Recognition Using Inertial Measurement Units and Intelligent Lower Limb Prosthesis. IEEE Trans. Neural Syst. Rehabil. Eng. 2019, 27, 1032–1042. [Google Scholar] [CrossRef]
- Huang, H.; Kuiken, T.A.; Lipschutz, R.D. A Strategy for Identifying Locomotion Modes Using Surface Electromyography. IEEE Trans. Biomed. Eng. 2009, 56, 65–73. [Google Scholar] [CrossRef]
- Kim, K.; Guan, C.; Lee, S. A Subject-Transfer Framework Based on Single-Trial EMG Analysis Using Convolutional Neural Networks. IEEE Trans. Neural Syst. Rehabil. Eng. 2020, 28, 94–103. [Google Scholar] [CrossRef] [PubMed]
- Struijk, J.J.; Thomsen, M. Tripolar nerve cuff recording: Stimulus artifact, EMG and the recorded nerve signal. In Proceedings of the 17th International Conference of the Engineering in Medicine and Biology Society, Montreal, QC, Canada, 20–23 September 1995; pp. 1105–1106. [Google Scholar]
- Freeberg, M.J. Intraoperative Responses May Predict Chronic Performance of Composite Flat Interface Nerve Electrodes on Human Femoral Nerves. IEEE Trans. Neural Syst. Rehabil. Eng. 2019, 27, 2317–2327. [Google Scholar] [CrossRef]
- Fleming, A.; Huang, S.; Huang, H. Proportional Myoelectric Control of a Virtual Inverted Pendulum Using Residual Antagonistic Muscles: Toward Voluntary Postural Control. IEEE Trans. Neural Syst. Rehabil. Eng. 2019, 27, 1473–1482. [Google Scholar] [CrossRef]
- Golkar, M.A.; Jalaleddini, K.; Kearney, R.E. EMG-Torque Dynamics Change with Contraction Bandwidth. IEEE Trans. Neural Syst. Rehabil. Eng. 2018, 26, 807–816. [Google Scholar] [CrossRef] [PubMed]
- Fylstra, B.L.; Dai, C.; Hu, X.; Huang, H.H. Characterizing Residual Muscle Properties in Lower Limb Amputees Using High Density EMG Decomposition: A Pilot Study*. In Proceedings of the 40th Annual International Conference of the IEEE Engineering in Medicine and Biology Society, Honolulu, HI, USA, 18–21 July 2018; pp. 5974–5977. [Google Scholar]
- Dawson-Elli, A.R.; Adamczyk, P.G. Design and Validation of a Lower-Limb Haptic Rehabilitation Robot. IEEE Trans. Neural Syst. Rehabil. Eng. 2020, 28, 1584–1594. [Google Scholar] [CrossRef] [PubMed]
- Geng, Y.; Zhang, X.; Zhang, Y. A novel channel selection method for multiple motion classification using high-density electromyography. BioMed. Eng. OnLine 2014, 13, 1–16. [Google Scholar] [CrossRef]
- Mesa, I.; Rubio, A.; Tubia, I. Channel and feature selection for a surface electromyographic pattern recognition task. Expert Syst. Appl. 2014, 41, 5190–5200. [Google Scholar] [CrossRef]
- Samadani, A. EMG Channel Selection for Improved Hand Gesture Classification. In Proceedings of the 40th Annual International Conference of the IEEE Engineering in Medicine and Biology Society (EMBC), Honolulu, HI, USA, 18–21 July 2018; pp. 4297–4300. [Google Scholar]
- Lee, S.W.; Yi, T.; Jung, J.; Bien, Z. Design of a Gait Phase Recognition System That Can Cope with EMG Electrode Location Variation. IEEE Trans. Autom. Sci. Eng. 2017, 14, 1429–1439. [Google Scholar] [CrossRef]
- Costa, Á.; Itkonen, M.; Yamasaki, H.; Alnajjar, F.S.; Shimoda, S. Importance of muscle selection for EMG signal analysis during upper limb rehabilitation of stroke patients. In Proceedings of the 39th Annual International Conference of the IEEE Engineering in Medicine and Biology Society (EMBC), Seogwipo, Korea, 11–15 July 2017; pp. 2510–2513. [Google Scholar]
- Thiamchoo, N.; Phukpattaranont, P. The Study of EMG Channel Reduction for Hand Grasping Classification. In Proceedings of the 16th International Conference on Electrical Engineering/Electronics, Computer, Telecommunications and Information Technology (ECTI-CON), Pattaya, Chonburi, Thailand, 10–13 July 2019; pp. 629–632. [Google Scholar]
- She, Q.; Gao, Y. Multiclass Recognition of Lower Limb EMG using Wavelet SVM. J. Huazhong Univ. Sci. Tech. (Natl. Sci. Ed.) 2010, 38, 75–79. [Google Scholar]
- Wu, C. SEMG Measurement Position and Feature Optimization Strategy for Gesture Recognition Based on ANOVA and Neural Networks. IEEE Access 2020, 8, 56290–56299. [Google Scholar] [CrossRef]
- Kiguchi, K.; Hayashi, Y. An EMG-based control for an upper-limb power-assist exoskeleton robot. IEEE Trans. Syst. Man Cybern. Part. B Cybern. 2012, 42, 1064–1071. [Google Scholar] [CrossRef]
- Xu, W.; Fang, Y.; Zhang, G.; Ju, Z.; Li, G.; Liu, H. Surface Emg Channel Selection for Thumb Motion Classification signal. In Proceedings of the International Conference on Machine Learning and Cybernetics (ICMLC), Chengdu, China, 15–18 July 2018; pp. 662–666. [Google Scholar]
- Liu, J.; Li, X.; Li, G. EMG feature assessment for myoelectric pattern recognition and channel selection: A study with incomplete spinal cord injury. Med. Eng. Phys. 2014, 36, 975–980. [Google Scholar] [CrossRef]
- Huang, H.; Zhou, P.; Li, G.; Kuiken, T.A. An Analysis of EMG Electrode Configuration for Targeted Muscle Reinnervation Based Neural Machine Interface. IEEE Trans. Neural Syst. Rehabil. Eng. 2008, 16, 37–45. [Google Scholar] [CrossRef]
- Imbinto, I. Treatment of the Partial Hand Amputation: An Engineering Perspective. IEEE Rev. Biomed. Eng. 2016, 9, 32–48. [Google Scholar] [CrossRef] [PubMed]
- Huang, S.; Wensman, J.P.; Ferris, D.P. Locomotor Adaptation by Transtibial Amputees Walking with an Experimental Powered Prosthesis under Continuous Myoelectric Control. IEEE Trans. Neural Syst. Rehabil. Eng. 2016, 24, 573–581. [Google Scholar] [CrossRef]
- Zheng, X.; Zhang, D.; Li, Y. Incompatible and Sterile Insect Techniques Combined Eliminate Mosquitoes. Nature 2019, 527, 56–61. [Google Scholar] [CrossRef]
- Watts, D.; Strogatz, S. Collective Dynamics of ‘Small-World’ Network. Nature 1998, 393, 440–442. [Google Scholar] [CrossRef]
- Gao, J.; Barzel, B.; Barbasi, A. Universal Resilience Patterns in Complex Networks. Nature 2016, 530, 307–312. [Google Scholar] [CrossRef] [PubMed]
- Boers, N.; Goswami, B.; Rheinwalt, A. Complex Network Reveal Global Pattern of Extreme-Rainfall Teleconnection. Nature 2019, 566, 373–377. [Google Scholar] [CrossRef] [PubMed]
- Li, Z.; Guiraud, D.; Hayashibe, M. Inverse Estimation of Multiple Muscle Activations from Joint Moment with Muscle Synergy Extraction. IEEE J. Biomed. Health Inform. 2015, 19, 64–73. [Google Scholar] [CrossRef]
- Young, C.B.; Raz, G.; Everaerd, D. Dynamic shifts in large-scale brain network balance as a function of arousal. J. Neurosci. 2017, 37, 281–290. [Google Scholar] [CrossRef]
- Yin, Z.; Li, J.; Zhang, Y. Functional brain network analysis of schizophrenic patients with positive and negative syndrome based on mutual information of EEG time series. Biomed. Signal. Proc. Control. 2017, 31, 331–338. [Google Scholar] [CrossRef]
- Shannon, C.E. A Mathematical Theory of Communication. Bell Syst. Techn. J. 1948, 27, 379–429, 623–656. [Google Scholar] [CrossRef]
- Wang, J.; Yang, C.; Wang, R. Functional brain networks in Alzheimer’s disease: EEG analysis based on limited penetrable visibility graph and phase space method. Phys. A Stat. Mech. Appl. 2016, 460, 174–187. [Google Scholar] [CrossRef]
- Wu, J.; Tan, Y.J. Finding the most vital node by node contraction in communication networks. In Proceedings of the 2005 International Conference on Communications, Circuits and Systems, Hong Kong, China, 27–30 May 2005; p. 1286. [Google Scholar]
- Sugihara, G. Nonlinear forecasting as away of distinguishing chaos from measurement error in time series. Nature 1990, 344, 734–741. [Google Scholar] [CrossRef] [PubMed]
- Sugihara, G. Nonlinear forecasting for the classification of natural time series. Philos. Trans. Roy. Soc. A 1994, 348, 477–495. [Google Scholar]



















| Movement | |||
|---|---|---|---|
| appropriate angle | 0.69 ± 0.029 | 28.8 ± 2.23 | 1.32 ± 0.12 |
| excessive angle | 0.87 ± 0.057 | 25.2 ± 3.03 | 1.22 ± 0.33 |
| angle too small | 0.80 ± 0.034 | 26.2 ± 2.44 | 1.24 ± 0.23 |
Publisher’s Note: MDPI stays neutral with regard to jurisdictional claims in published maps and institutional affiliations. |
© 2021 by the authors. Licensee MDPI, Basel, Switzerland. This article is an open access article distributed under the terms and conditions of the Creative Commons Attribution (CC BY) license (http://creativecommons.org/licenses/by/4.0/).
Share and Cite
Chen, L.; Liu, X.; Xuan, B.; Zhang, J.; Liu, Z.; Zhang, Y. Selection of EMG Sensors Based on Motion Coordinated Analysis. Sensors 2021, 21, 1147. https://doi.org/10.3390/s21041147
Chen L, Liu X, Xuan B, Zhang J, Liu Z, Zhang Y. Selection of EMG Sensors Based on Motion Coordinated Analysis. Sensors. 2021; 21(4):1147. https://doi.org/10.3390/s21041147
Chicago/Turabian StyleChen, Lingling, Xiaotian Liu, Bokai Xuan, Jie Zhang, Zuojun Liu, and Yan Zhang. 2021. "Selection of EMG Sensors Based on Motion Coordinated Analysis" Sensors 21, no. 4: 1147. https://doi.org/10.3390/s21041147
APA StyleChen, L., Liu, X., Xuan, B., Zhang, J., Liu, Z., & Zhang, Y. (2021). Selection of EMG Sensors Based on Motion Coordinated Analysis. Sensors, 21(4), 1147. https://doi.org/10.3390/s21041147

