60–700 K CTAT and PTAT Temperature Sensors with 4H-SiC Schottky Diodes
Abstract
1. Introduction
2. Materials and Methods
2.1. Temperature Detection Methods Based on SiC Schottky Diodes
- The innate variation of VF. Equation (2) contains a non-linearly temperature-dependent logarithmic term, which becomes significant when extending the T domain.
- Contact inhomogeneity. Analyzing Equation (2), it can be seen that Schottky diodes used for temperature sensing need to have constant barrier height and ideality factor values over the entire range of interest. Fluctuations in these parameters, primarily due to Schottky contact inhomogeneity, have been, however, ubiquitously reported [36,41,42,43,44,45]. The domain of variation for n and ΦBn,T is proportional with temperature range.
2.2. Sample Preparation
2.3. Readout Circuit Architecture
3. Results
3.1. X-ray Diffraction Analysis
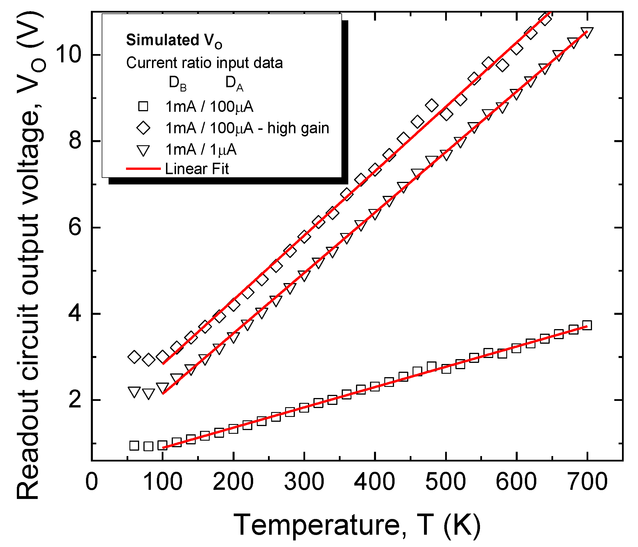
3.2. Modeling and Sensing Performances
- DA and DB may work over the entire domain of 60–700K, due to the localized effects of the parallel diodes. Forward bias-current values can be tuned to higher levels in order to restrict inhomogeneity influences (having only two parallel diodes dictate the majority current flow, rather than all of them).
- The standard CTAT sensing technique (using a single diode, either DA or DB, biased at constant current) will suffer from poor linearity. This is because both Dp3 and Dp4 significantly affect conduction in the high-bias domain, but with different contributions depending on temperature.
- Using PTAT sensing techniques based on voltage difference can greatly improve linearity. As Dp3 and Dp4 have comparable barrier heights and effective areas, their combined apparent barrier height will have a slow temperature variation, which will be mitigated by forward voltage differentiation.
4. Conclusions
Author Contributions
Funding
Institutional Review Board Statement
Informed Consent Statement
Data Availability Statement
Acknowledgments
Conflicts of Interest
References
- Madhusoodhanan, S.; Koukourinkova, S.; White, T.; Chen, Z.; Zhao, Y.; Ware, M.E. Highly linear temperature sensor using GaN-on-SiC heterojunction diode for Harsh environment applications. In Proceedings of the 2016 IEEE 4th Workshop on Wide Bandgap Power Devices and Applications, Fayetteville, AR, USA, 7–9 November 2016; pp. 171–175. [Google Scholar] [CrossRef]
- Kim, M.K.; Yoon, S.W. Miniature Piezoelectric Sensor for In-Situ Temperature Monitoring of Silicon and Silicon Carbide Power Modules Operating at High Temperature. IEEE Trans. Ind. Appl. 2018, 54, 1614–1621. [Google Scholar] [CrossRef]
- Yakaboylu, G.A.; Pillai, R.C.; Sabolsky, K.; Sabolsky, E.M. Fabrication and thermoelectric characterization of transition metal silicide-based composite thermocouples. Sensors 2018, 18, 3759. [Google Scholar] [CrossRef] [PubMed]
- Cui, J.; Liu, H.; Li, X.; Jiang, S.; Zhang, B.; Song, Y.; Zhang, W. Fabrication and characterization of nickel thin film as resistance temperature detector. Vacuum 2020, 176, 109288. [Google Scholar] [CrossRef]
- Turkani, V.S.; Maddipatla, D.; Narakathu, B.B.; Altay, B.N.; Fleming, D.; Bazuin, B.J.; Atashbar, M.Z. A Screen-Printed Nickel Based Resistance Temperature Detector (RTD) on Thin Ceramic Substrate. In Proceedings of the 2020 IEEE International Conference on Electro Information Technology, Chicago, IL, USA, 31 July–1 August 2020; pp. 577–580. [Google Scholar] [CrossRef]
- Park, S.; Byun, S. A 0.026 mm2 time domain cmos temperature sensor with simple current source. Micromachines 2020, 11, 899. [Google Scholar] [CrossRef] [PubMed]
- Li, J.; Lin, Y.; Ning, N.; Yu, Q. A +0.44 °C/−0.4 °C Inaccuracy Temperature Sensor With Multi-Threshold MOSFET-Based Sensing Element and CMOS Thyristor-Based VCO. IEEE Trans. Circuits Syst. 2020. [Google Scholar] [CrossRef]
- Draghici, F.; Brezeanu, G.; Pristavu, G.; Pascu, R.; Badila, M.; Pribeanu, A.; Ceuca, E. 400 °C Sensor Based on Ni/4H-SiC Schottky Diode for Reliable Temperature Monitoring in Industrial Environments. Sensors 2019, 19, 2384. [Google Scholar] [CrossRef]
- Pascu, R.; Craciunoiu, F.; Kusko, M. A promising technology of Schottky diode based on 4H-SiC for high temperature application. In Proceedings of the 2013 9th Conference on Ph.D. Research in Microelectronics and Electronics (PRIME), Villach, Austria, 24–27 June 2013; pp. 297–300. [Google Scholar]
- Pascu, R.; Draghici, F.; Badila, M.; Craciunoiu, F.; Brezeanu, G.; Dinescu, A.; Rusu, I. High temperature sensor based on SiC Schottky diodes with undoped oxide ramp termination. In Proceedings of the International Semiconductor Conference, Sinaia, Romania, 17–19 October 2011; Volume 2, pp. 379–382. [Google Scholar]
- Rahali, A.; Ouremchi, M.; Elboutahiri, A.; Elkhadiri, K.; Tahiri, A.; Qjidaa, H. Design of a Temperature Sensor with 0 °C to 120 °C Sensing Range for Li-Ion Battery Charger in 180 nm CMOS Technology. In Proceedings of the 2019 7th Mediterranean Congress of Telecommunications, Fès, Morocco, 24–25 October 2019; pp. 4–7. [Google Scholar] [CrossRef]
- Megherbi, M.L.; Pezzimenti, F.; Dehimi, L.; Saadoune, M.A.; Della Corte, F.G. Analysis of trapping effects on the forward current-voltage characteristics of al-implanted 4H-SiC p-i-n Diodes. IEEE Trans. Electron Devices 2018, 65, 3371–3378. [Google Scholar] [CrossRef]
- Bencherif, H.; Dehimi, L.; Pezzimenti, F.; Corte, F.G.D. Temperature and SiO2/4H-SiC interface trap effects on the electrical characteristics of low breakdown voltage MOSFETs. Appl. Phys. A Mater. Sci. Process. 2019, 125, 1–10. [Google Scholar] [CrossRef]
- Fiorenza, P.; Giannazzo, F.; Cascino, S.; Saggio, M.; Roccaforte, F. Identification of two trapping mechanisms responsible of the threshold voltage variation in SiO2/4H-SiC MOSFETs. Appl. Phys. Lett. 2020, 117, 103502. [Google Scholar] [CrossRef]
- Fiorenza, P.; Alessandrino, M.; Carbone, B.; Di Martino, C.; Russo, A.; Saggio, M.; Venuto, C.; Zanetti, E.; Giannazzo, F.; Roccaforte, F. Understanding the role of threading dislocations on 4H-SiC MOSFET breakdown under high temperature reverse bias stress. Nanotechnology 2020, 31, 125203. [Google Scholar] [CrossRef]
- Kimoto, T.; Watanabe, H. Defect engineering in SiC technology for high-voltage power devices. Appl. Phys. Express 2020, 13, 120101. [Google Scholar] [CrossRef]
- Pascu, R.; Pristavu, G.; Craciunoiu, F.; Badila, M.; Kusko, M.; Brezeanu, G.; Neamtu, J.; Gavrila, R. POCl3 annealing effect on the flat band voltage instabilities for a SiC based MOS capacitor at high temperature. Rom. J. Inf. Sci. Technol. 2014, 17, 340–352. [Google Scholar]
- Pascu, R.; Craciunoiu, F.; Pristavu, G.; Brezeanu, G.; Kusko, M. Oxide trap states versus gas sensing in SiC-MOS capacitors–The effect of N- and P- based post oxidation processes. Sens. Actuators B Chem. 2017, 245, 911–922. [Google Scholar] [CrossRef]
- Matthus, C.D.; Erlbacher, T.; Schöfer, B.; Bauer, A.J.; Frey, L. Implementation of 4H-SiC PiN-diodes as nearly linear temperature sensors up to 800 K towards SiC multi-sensor integration. Mater. Sci. Forum 2017, 897 MSF, 618–621. [Google Scholar] [CrossRef]
- Sakakima, H.; Goryu, A.; Kano, A.; Hatano, A.; Hirohata, K.; Izumi, S. Modeling the effect of mechanical stress on bipolar degradation in 4H-SiC power devices. J. Appl. Phys. 2020, 128, 025701. [Google Scholar] [CrossRef]
- Matthus, C.D.; Erlbacher, T.; Hess, A.; Bauer, A.J.; Frey, L. Advanced 4H-SiC p-i-n Diode as Highly Sensitive High-Temperature Sensor Up To 460 °C. IEEE Trans. Electron Devices 2017, 64, 3399–3404. [Google Scholar] [CrossRef]
- Tanimoto, S.; Matsui, K. High junction temperature and low parasitic inductance power module technology for compact power conversion systems. IEEE Trans. Electron Devices 2015, 62, 258–269. [Google Scholar] [CrossRef]
- Kaminski, N.; Rugen, S.; Hoffmann, F. Gaining Confidence–A Review of Silicon Carbide’s Reliability Status. IEEE Int. Reliab. Phys. Symp. Proc. 2019, 1–7. [Google Scholar] [CrossRef]
- Pristavu, G.; Brezeanu, G.; Pascu, R.; Drăghici, F.; Bădilă, M. Characterization of non-uniform Ni/4H-SiC Schottky diodes for improved responsivity in high-temperature sensing. Mater. Sci. Semicond. Process. 2019, 94, 64–69. [Google Scholar] [CrossRef]
- Brezeanu, G.; Pristavu, G.; Draghici, F.; Badila, M.; Pascu, R. Characterization technique for inhomogeneous 4H-SiC Schottky contacts: A practical model for high temperature behavior. J. Appl. Phys. 2017, 122, 084501. [Google Scholar] [CrossRef]
- Pascu, R.; Kusko, M.; Craciunoiu, F.; Pristavu, G.; Brezeanu, G.; Badila, M.; Avramescu, V. A new 4H-SiC hydrogen sensor with oxide ramp termination. Mater. Sci. Semicond. Process. 2016, 42, 268–272. [Google Scholar] [CrossRef]
- Della Corte, F.G.; Pangallo, G.; Rao, S.; Carotenuto, R.; Iero, D.; Merenda, M.; Pezzimenti, F. Use of 4H-SiC-based diodes as temperature sensors. In Proceedings of the 2019 International Semiconductor Conference, Sinaia, Romania, 9–11 October 2019; pp. 71–74. [Google Scholar] [CrossRef]
- Rao, S.; Pangallo, G.; Pezzimenti, F.; Corte, F.G.D. High-Performance Temperature Sensor Based on 4H-SiC Schottky Diodes. IEEE Electron Device Lett. 2015, 36, 720–722. [Google Scholar] [CrossRef]
- Kumar, V.; Maan, A.S.; Akhtar, J. Barrier height inhomogeneities induced anomaly in thermal sensitivity of Ni/4H-SiC Schottky diode temperature sensor. J. Vac. Sci. Technol. B 2014, 32, 041203. [Google Scholar] [CrossRef]
- Pristavu, G.; Brezeanu, G.; Badila, M.; Draghici, F.; Pascu, R.; Craciunoiu, F.; Rusu, I.; Pribeanu, A. Barrier stability of Pt/4H-SiC schottky diodes used for high temperature sensing. In Proceedings of the Materials Science Forum (2016 European Conference on Silicon Carbide & Related Materials (ECSCRM), Halkidiki, Greece, 25–29 September 2016; Volume 897, pp. 606–609. [Google Scholar]
- Pristavu, G.; Brezeanu, G.; Badila, M.; Draghici, F.; Pascu, R.; Craciunoiu, F.; Rusu, I.; Pribeanu, A. High Temperature Behavior Prediction Techniques for Non-Uniform Ni/SiC Schottky Diodes. Mater. Sci. Forum 2018, 924, 967–970. [Google Scholar] [CrossRef]
- Tuy, T.Q.; Mojzes, I.; Szentpáli, B. The Dependence of Schottky Barrier Height of Metal-Semiconductor Contacts on the Ratio of Interfacial Area Occupied by Different Metal Components. Mater. Sci. Forum 1991, 69, 101–106. [Google Scholar] [CrossRef]
- Tuy, T.Q.; Mojzes, I.; Szentpali, B. Dependence of Schottky barrier height on the ratio of different metal components. Period. Polytech. Electr. Eng. 1993, 37, 3–19. [Google Scholar]
- Rang, T. Modelling of Inhomogeneities of SiC Schottky Interfaces; WIT Press: Ashurst Lodge, Ashurst, UK, 2001; pp. 3–15. [Google Scholar]
- Roccaforte, F.; Giannazzo, F.; Alberti, A.; Spera, M.; Cannas, M.; Cora, I.; Pécz, B.; Iucolano, F.; Greco, G. Barrier inhomogeneity in vertical Schottky diodes on free standing gallium nitride. Mater. Sci. Semicond. Process. 2019, 94, 164–170. [Google Scholar] [CrossRef]
- Bellone, S.; Di Benedetto, L.; Rubino, A. On the electrical behavior of V2O5/4H-SiC Schottky diodes. J. Appl. Phys. 2013, 113, 224503. [Google Scholar] [CrossRef]
- Huang, L.; Qin, F.; Li, S.; Wang, D. Effects of surface properties on barrier height and barrier inhomogeneities of platinum contacts to n-type 4H-SiC. Appl. Phys. Lett. 2013, 103, 033520. [Google Scholar] [CrossRef]
- Shivaraman, S.; Herman, L.H.; Rana, F.; Park, J.; Spencer, M.G. Schottky barrier inhomogeneities at the interface of few layer epitaxial graphene and silicon carbide. Appl. Phys. Lett. 2012, 100, 183112. [Google Scholar] [CrossRef]
- Rao, S.; Pangallo, G.; Di Benedetto, L.; Rubino, A.; Licciardo, G.D.; Della Corte, F.G. A V2O5/4H-SiC Schottky diode-based PTAT sensor operating in a wide range of bias currents. Sens. Actuators A Phys. 2018, 269, 171–174. [Google Scholar] [CrossRef]
- Brezeanu, G.; Pristavu, G.; Draghici, F.; Pascu, R.; Corte, F.D.; Rascuna, S. Enhanced Non-Uniformity Modeling of 4H-SiC Schottky Diode Characteristics Over Wide High Temperature and Forward Bias Ranges. IEEE J. Electron Devices Soc. 2020, 8, 1339–1344. [Google Scholar] [CrossRef]
- Tung, R.T. Recent advances in Schottky barrier concepts. Mater. Sci. Eng. R Rep. 2001, 35, 1–138. [Google Scholar] [CrossRef]
- Pristavu, G.; Brezeanu, G.; Badila, M.; Pascu, R.; Danila, M.; Godignon, P. A model to non-uniform Ni Schottky contact on SiC annealed at elevated temperatures. Appl. Phys. Lett. 2015, 106, 261605. [Google Scholar] [CrossRef]
- Pascu, R.; Pristavu, G.; Brezeanu, G.; Draghici, F.; Badila, M.; Rusu, I.; Craciunoiu, F. Electrical Characterization of Ni-Silicide Schottky Contacts on SiC for High Performance Temperature Sensor. In Materials Science Forum, Proceedings of the European Conference on Silicon Carbide & Related Materials (ECSCRM 2014), Grenoble, France, 21–25 September 2014; Trans Tech Publications Ltd.: Stafa-Zurich, Switzerland; Volume 821–823, ISBN 9783038354789.
- Gammon, P.M.; Pérez-Tomás, A.; Shah, V.A.; Vavasour, O.; Donchev, E.; Pang, J.S.; Myronov, M.; Fisher, C.A.; Jennings, M.R.; Leadley, D.R.; et al. Modelling the inhomogeneous SiC Schottky interface. J. Appl. Phys. 2013, 114, 223704. [Google Scholar] [CrossRef]
- Roccaforte, F.; Giannazzo, F.; Raineri, V. Nanoscale transport properties at silicon carbide interfaces. J. Phys. D Appl. Phys. 2010, 43, 223001. [Google Scholar] [CrossRef]
- Min, S.J.; Shin, M.C.; Nguyen, N.T.; Oh, J.M.; Koo, S.M. High-performance temperature sensors based on dual 4H-SiC JBS and SBD devices. Materials 2020, 13, 445. [Google Scholar] [CrossRef]
- KERN, W. Cleaning solutions based on hydrogen peroxide for use in silicon semiconductor technology. RCA Rev. 1970, 31, 187–206. [Google Scholar]
- Instruments, T. OP07x Precision Operational Amplifiers. Available online: https://www.ti.com/lit/ds/symlink/op07.pdf (accessed on 15 November 2020).
- Instruments, T. REF200 Dual Current Source and Current Sink. Available online: https://www.ti.com/lit/ds/symlink/ref200.pdf (accessed on 15 November 2020).
- La Via, F.; Roccaforte, F.; Raineri, V.; Musumeci, P.; Calcagno, L. Structural and electrical characterisation of titanium and nickel silicide contacts on silicon carbide. Microelectron. Eng. 2002, 60, 269–282. [Google Scholar] [CrossRef]
- La Via, F.; Roccaforte, F.; Raineri, V.; Mauceri, M.; Ruggiero, A.; Musumeci, P.; Calcagno, L.; Castaldini, A.; Cavallini, A. Schottky-ohmic transition in nickel silicide/SiC-4H system: Is it really a solved problem? Microelectron. Eng. 2003, 70, 519–523. [Google Scholar] [CrossRef]
- Kuchuk, A.; Kladko, V.; Guziewicz, M.; Piotrowska, A.; Minikayev, R.; Stonert, A.; Ratajczak, R. Fabrication and characterization of nickel silicide ohmic contacts to n-type 4H silicon carbide. J. Phys. Conf. Ser. 2008, 100, 042003. [Google Scholar] [CrossRef]
- Williamson, G.K.; Hall, W.H. X-ray line broadening from filed aluminium and wolfram. Acta Mater 1953, 1, 22–31. [Google Scholar] [CrossRef]
- Cheung, S.K.; Cheung, N.W. Extraction of Schottky diode parameters from forward current-voltage characteristics. Appl. Phys. Lett. 1986, 49, 85–87. [Google Scholar] [CrossRef]
- Kumar, V.; Verma, J.; Maan, A.S.; Akhtar, J. Epitaxial 4H–SiC based Schottky diode temperature sensors in ultra-low current range. Vacuum 2020, 182, 109590. [Google Scholar] [CrossRef]
- Rao, S.; Pangallo, G.; Di Benedetto, L.; Rubino, A.; Licciardo, G.D.; Corte, F.G.D. Divanadium Pentoxide/4H-silicon Carbide: A Schottky Contact for Highly Linear Temperature Sensors. Procedia Eng. 2016, 168, 1003–1006. [Google Scholar] [CrossRef]











| Parallel Diode | ΦBn [V] | peff | n |
|---|---|---|---|
| Dp1 | 1.56 | 8.75 | 1.01 |
| Dp2 | 1.615 | 4.14 | |
| Dp3 | 1.665 | 1.84 | |
| Dp4 | 1.73 | 0.23 |
| Bias Current Setup | Gain | S [mV/K] | R2 [%] | Mean Squared Error [%] | |
|---|---|---|---|---|---|
| 1 mA | 100 µA | 24 | 4.7 | 99.79 | 0.15 |
| 1 mA | 100 µA | 76 | 14.91 | 99.78 | 1.54 |
| 1 mA | 1 µA | 24 | 14.01 | 99.95 | 0.3 |
| This Work | [39] | [46] | [55] | |
| Sensing topology | Single SBD (CTAT)/Differential (PTAT) | Differential (PTAT) | Differential SBD/JBS (PTAT) | Single SBD (CTAT) |
| Temperature range | 60–700 K (CTAT) 100–700 K (PTAT) | 147–400 K | 298–573 K | 233–473 K |
| Sensitivity | 2.32 mV/K (Single) 0.77 mV/K (Differential) 14.91 mV/K (Differential + Readout) | 0.307 mV/K | 4.32 mV/K (JBS) 2.85 mV/K (SBD) | 3.425 mV/K |
| R2 | 99.8% (Single) 99.95% (Differential) | 99.93% | 99.96% | 99.96% |
Publisher’s Note: MDPI stays neutral with regard to jurisdictional claims in published maps and institutional affiliations. |
© 2021 by the authors. Licensee MDPI, Basel, Switzerland. This article is an open access article distributed under the terms and conditions of the Creative Commons Attribution (CC BY) license (http://creativecommons.org/licenses/by/4.0/).
Share and Cite
Pascu, R.; Pristavu, G.; Brezeanu, G.; Draghici, F.; Godignon, P.; Romanitan, C.; Serbanescu, M.; Tulbure, A. 60–700 K CTAT and PTAT Temperature Sensors with 4H-SiC Schottky Diodes. Sensors 2021, 21, 942. https://doi.org/10.3390/s21030942
Pascu R, Pristavu G, Brezeanu G, Draghici F, Godignon P, Romanitan C, Serbanescu M, Tulbure A. 60–700 K CTAT and PTAT Temperature Sensors with 4H-SiC Schottky Diodes. Sensors. 2021; 21(3):942. https://doi.org/10.3390/s21030942
Chicago/Turabian StylePascu, Razvan, Gheorghe Pristavu, Gheorghe Brezeanu, Florin Draghici, Philippe Godignon, Cosmin Romanitan, Matei Serbanescu, and Adrian Tulbure. 2021. "60–700 K CTAT and PTAT Temperature Sensors with 4H-SiC Schottky Diodes" Sensors 21, no. 3: 942. https://doi.org/10.3390/s21030942
APA StylePascu, R., Pristavu, G., Brezeanu, G., Draghici, F., Godignon, P., Romanitan, C., Serbanescu, M., & Tulbure, A. (2021). 60–700 K CTAT and PTAT Temperature Sensors with 4H-SiC Schottky Diodes. Sensors, 21(3), 942. https://doi.org/10.3390/s21030942

