Influence of Flow Disturbances behind the 90° Bend on the Indications of the Ultrasonic Flow Meter with Clamp-On Sensors on Pipelines
Abstract
1. Introduction
2. Measurements
Measurement Stand
3. Experiment
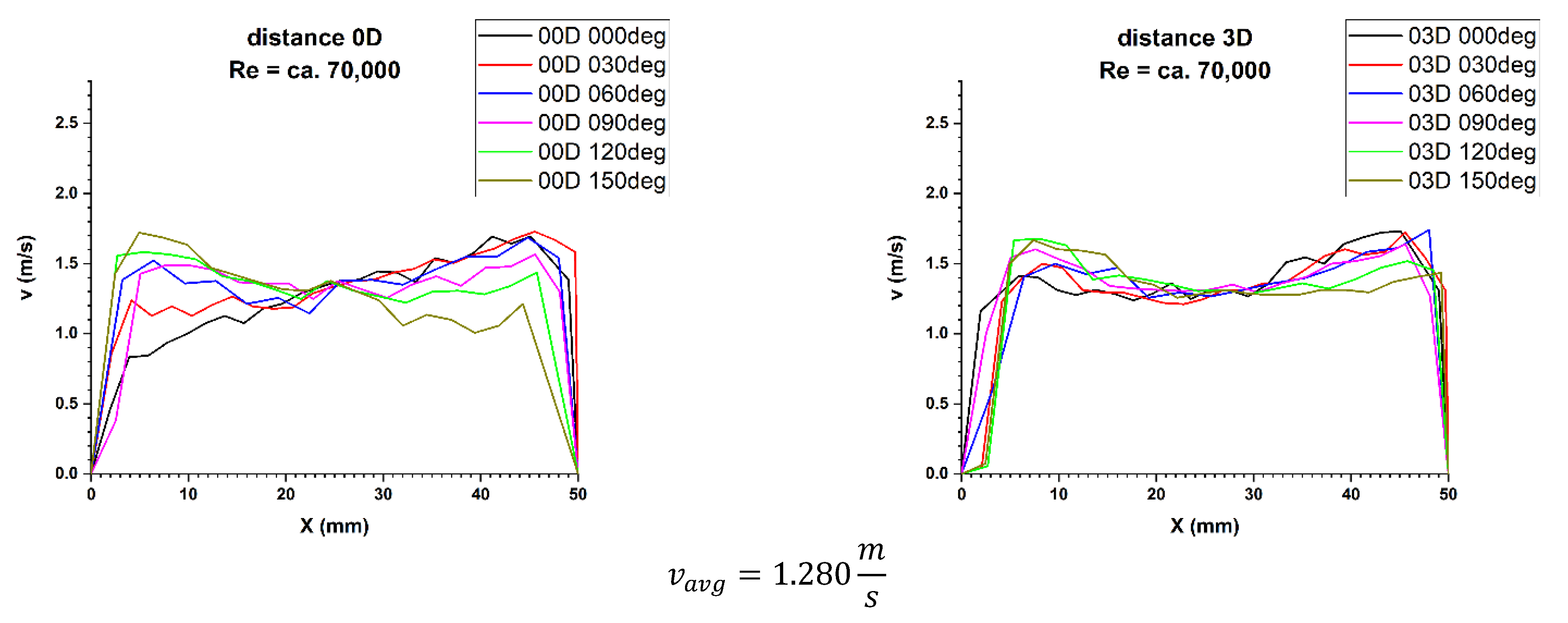
4. Experimental Results
5. Summary
Author Contributions
Funding
Institutional Review Board Statement
Informed Consent Statement
Data Availability Statement
Conflicts of Interest
Abbreviations
| List of Symbols | |
| nominal diameter of the pipeline | |
| bending radius of 90° bend | |
| Reynolds number | |
| maximum Reynolds number —volume stream | |
| maximum volume stream | |
| flow velocity | |
| maximum flow velocity | |
| average flow velocity | |
References
- Endress+Hauser, Manual Proline Prosonic Flow 93T HART-Portable Ultrasonic Flowmeter. Available online: https://portal.endress.com/wa001/dla/5000255/6790/000/02/BA00136DEN_1311.pdf (accessed on 20 January 2021).
- Micronics Ltd. User Manual of Portable Ultrasonic Flow Meter Micronics Portaflow PF330; Micronics Ltd.: Loudwater, UK, 2012. [Google Scholar]
- Mickan, B.; Wendt, G.; Kramer, R.; Dopheide, D. Systematic investigation of flow profiles in pipes and their effects on gas meter behaviour. Measurement 1997, 22, 1–14. [Google Scholar] [CrossRef]
- Mousavi, S.F.; Hashemabadi, S.H.; Jamali, J. Calculation of geometric flow profile correction factor for ultrasonic flow meter using semi-3D simulation technique. Ultrasonics 2020, 106, 106165. [Google Scholar] [CrossRef] [PubMed]
- Sun, Y.; Zhang, T.; Zheng, D. New analysis scheme of flow-acoustic coupling for gas ultrasonic flowmeter with vortex near the transducer. Sensors 2018, 18, 1151. [Google Scholar]
- Zhang, H.; Guo, C.; Lin, J. Effects of velocity profiles on measuring accuracy of transit-time ultrasonic flowmeter. Appl. Sci. 2019, 9, 1648. [Google Scholar] [CrossRef]
- Synowiec, P.; Wędrychowicz, W.; Andruszkiewicz, A. Pomiary strumieni przepływów dwufazowych metodami ultradźwiękowymi za kolanem rurociągu. Elektron. Technol. Konstr. Zastos. 2016, 57, 115–117. [Google Scholar] [CrossRef]
- Wongsaroj, W.; Hamdani, A.; Thong-un, N.; Takahashi, H.; Kikura, H. Extended short-time fourier transform for ultrasonic velocity profiler on two-phase bubbly flow using a single resonant frequency. Appl. Sci. 2019, 9, 50. [Google Scholar] [CrossRef]
- Piechota, P.; Synowiec, P.; Andruszkiewicz, A.; Wędrychowicz, W. Selection of the relevant turbulence model in a CFD simulation of a flow disturbed by hydraulic elbow—Comparative analysis of the simulation with measurements results obtained by the ultrasonic flowmeter. J. Therm. Sci. 2018, 27, 413–420. [Google Scholar] [CrossRef]
- Knapp, C. Geschwindigkeits-und Mengenmessung strömender Flüssigkeiten mit Ultraschall; VDI Berichte, Durchflußmessung—Offene Probleme, Neuere Methoden; VDI-Verlag: Düsseldorf, Deutschland, 1964; Volume 86, pp. 65–71. [Google Scholar]
- Nguyen, T.H.L.; Park, S. Multi-angle liquid flow measurement using ultrasonic linear array transducer. Sensors 2020, 20, 388. [Google Scholar] [CrossRef] [PubMed]
- Baker, R.C. Flow Measurement Handbook, Industrial Design, Operating Principles, Performance and Applications, 1st ed.; Cambridge University Press: Cambridge, UK, 2000. [Google Scholar]
- Kang, L.; Feeney, A.; Su, R.; Lines, D.; Ramadas, S.N.; Rowlands, G.; Dixon, S. Flow velocity measurement using a spatial averaging method with two-dimensional flexural ultrasonic array technology. Sensors 2019, 19, 4786. [Google Scholar] [CrossRef] [PubMed]
- Zheng, D.; Zhang, P.; Zhang, T.; Zhao, D. A method based on a novel flow pattern model for the flow adaptability study of ultrasonic flowmeter. Flow Meas. Instrum. 2013, 29, 25–31. [Google Scholar] [CrossRef]
- Wada, S.; Furuichi, N. Influence of obstacle plates on flowrate measurement uncertainty based on ultrasonic Doppler velocity profile method. Flow Meas. Instrum. 2016, 48, 81–89. [Google Scholar] [CrossRef]
- Treenuson, W.; Tsuzuki, N.; Kikura, H.; Aritomi, M.; Wada, S.; Tezuka, K. Accurate flowrate measurement on the double bent pipe using ultrasonic velocity profile method. J. Jpn. Soc. Exp. Mech. 2013, 13, 200–211. [Google Scholar] [CrossRef]
- Masasi, B.; Frazier, S.R.; Taghvaeian, S. Review and Operational Guidelines for Portable Ultrasonic Flowmeters; Oklahoma Cooperative Extension Service, BAE-1535-9; Oklahoma State University: Oklahoma, OK, USA, 2017. [Google Scholar]
- Eisenhauer, D.E. Using Ultrasonic Flow Meters in Irrigation Applications; University of Nebraska—Lincoln Extension: Lincoln, NE, USA, 2001; pp. 1–3, Revised March 2008 G1426. [Google Scholar]
- Sritham, E.; Wachirapunyanont, R.; Siriparinyanan, P.; Nunak, N.; Suesut, T. Similarity model for estimating the error of clamp-on ultrasonic flowmeter: Flow in water supply piping system. Eng. Lett. 2017, 25, 1–8. [Google Scholar]
- Synowiec, P.; Piechota, P.; Wędrychowicz, W.; Andruszkiewicz, A. Stanowisko do badań przepływu za elementami armatury hydraulicznej, zaburzającymi przepływ. Elektronika 2018, 10, 53–55. [Google Scholar] [CrossRef]
- Mousavi, S.F.; Hashemabadi, S.H.; Jamali, J. New semi three-dimensional approach for simulation of Lamb wave clamp-on ultrasonic gas flowmeter. Sens. Rev. 2020, 40. [Google Scholar] [CrossRef]
- Regucki, P.; Synowiec, P.; Wędrychowicz, W.; Andruszkiewicz, A. Pomiary strumieni płynów dwufazowych woda-powietrze przepływomierzami ultradźwiękowymi. Elektron. Technol. Konstr. Zastos. 2015, 56, 96–99. [Google Scholar] [CrossRef]
- Synowiec, P.; Andruszkiewicz, A.; Wędrychowicz, W.; Regucki, P. Badania możliwości pomiaru strumienia objętości czynnika dwufazowego przepływomierzem ultradźwiękowym. Przegląd Elektrotechniczny 2015, 10, 179–182. [Google Scholar] [CrossRef]
- Wongsaroj, W.; Hamdani, A.; Thong-un, N.; Takahashi, H.; Kikura, H. Ultrasonic measurement of velocity profile on bubbly flow using a single resonant frequency. Proceedings 2018, 2, 549. [Google Scholar] [CrossRef]
- Hellström, L.H.O.; Sinha, A.; Smits, A.J. Visualizing the very-large-scale motions in turbulent pipe flow. Phys. Fluids 2011, 23, 11703. [Google Scholar] [CrossRef]
- Sadrehaghighi, I. Turbulence Modeling—A Review; Technical Report for Independent CFD Reasercher: Annapolis, MD, USA, 2018. [Google Scholar]
- Frenzel, F.; Grothey, H.; Habersetzer, C.; Hiatt, M.; Hogrefe, W.; Kirchner, M.; Lütkepohl, G.; Marchewka, W.; Mecke, U.; Ohm, M. Industrielle Durchfluss-Messtechnik Grundlagen und Praxis; ABB Automation Products GmbH; ABB Measurement & Analytics: Zurich, Switzerland, 2011. [Google Scholar]
- Fraden, J. Handbook of Modern Sensors—Physics, Designs, and Applications, 3rd ed.; AIP Press: San Diego, CA, USA, 2004; pp. 359–378. [Google Scholar]
- Hofmann, F. Fundamentals of Ultrasonic Flow Measurement for Industrial Applications; Krohne Messtechnik GmbH & Co. KG: Duisburg, Germany, 2000. [Google Scholar]
- John, J.E.A.; Haberman, W.L. Introduction to Fluid Mechanics, 3rd ed.; Prentice Hall: Englewood Cliffs, NJ, USA, 1988. [Google Scholar]


























| No. on Drawing | Device | Label | Model | Specification | Maximum Permissible Error (MPE) |
|---|---|---|---|---|---|
| 4 | Electromagnetic flow meter | E+H | Promag 53W | DN50, current loop 4-20 mA | ±(0.2% × measured value) |
| 5 | ISA orifice plate | --- | Annular Chamber Pressure Tapping | D = 35.71mm D = 50.00 mm C = 0.602 | ±(2% × measured value) |
| 9 | Data logger | Lumel | KD7 | Inputs of current loop 4-20 mA | ±0.25% × measurement range |
| 11 | Ultrasonic flow meter | Micronics | Portaflow PF330 | Transit time measurement, Clamp-on sensors | 0.5% to 2% of speed reading for v > 0.2 m/s |
| 13 | Ultrasonic flow meter | E+H | Prosonic Flow 93T | Transit Time measurement, Clamp-on sensors | 0.5% to 2% of speed reading for v > 0.3 m/s for Re > 10,000 |
| 14 | Laser Doppler anemometer | Dantec | One-channel laser Doppler anemometer | power of laser: 10 mW light wavelength: 632.8 nm-red light focal length: 160 mm measuring volume: 75 μm × 630 μm | --- |
| Name of Parameter | Parameter |
|---|---|
| Nominal diameter of the research pipeline | DN 50 |
| Distance between sensors | ca. 91mm |
| Velocities | w1 = 1.418 m/s for Re ca. 70,000 w2 = 2.04 m/s for Re ca. 100,000 |
| The ultrasound wave path | 2V |
| Sampling interval | 5s |
| 0D, Re ≅ 70,000 | ||||||||||||
|---|---|---|---|---|---|---|---|---|---|---|---|---|
| 0 | 30 | 60 | 90 | 120 | 150 | 180 | 210 | 240 | 270 | 300 | 330 | |
| v behind bend m/s | ||||||||||||
| vavg 93T ± 2% | 1.237 | 1.290 | 1.313 | 1.302 | 1.273 | 1.273 | 1.249 | 1.287 | 1.305 | 1.302 | 1.277 | 1.248 |
| qavg 93T ±2% | 8.743 | 9.119 | 9.284 | 9.202 | 8.998 | 8.998 | 8.826 | 9.099 | 9.224 | 9.200 | 9.024 | 8.819 |
| v before bend m/s | ||||||||||||
| vavg PF330 ± 2% | 1.418 | |||||||||||
| qavg PF330 ± 2% | 10.022 | |||||||||||
| Re before bend PF330 | 69,819 | |||||||||||
| correction factor | ||||||||||||
| K* [vbefore avg/vbehind avg] PF330/ PS93T | 1.146 | 1.099 | 1.079 | 1.089 | 1.114 | 1.114 | 1.135 | 1.101 | 1.086 | 1.089 | 1.111 | 1.136 |
| K*avg | 1.108 ± 0.022 | |||||||||||
| 0D, Re ≅ 100,000 | ||||||||||||
|---|---|---|---|---|---|---|---|---|---|---|---|---|
| 0 | 30 | 60 | 90 | 120 | 150 | 180 | 210 | 240 | 270 | 300 | 330 | |
| v behind bend m/s | ||||||||||||
| vavg 93T ± 2% | 1.797 | 1.852 | 1.932 | 1.862 | 1.805 | 1.788 | 1.792 | 1.852 | 1.932 | 1.862 | 1.810 | 1.830 |
| qavg 93T ± 2% | 12.706 | 13.090 | 13.654 | 13.161 | 12.759 | 12.641 | 12.670 | 13.090 | 13.654 | 13.161 | 12.794 | 12.936 |
| v before bend m/s | ||||||||||||
| vavg PF330 ± 2% | 2.040 | |||||||||||
| qavg PF330 ± 2% | 14.420 | |||||||||||
| Re before bend PF330 | 100,462 | |||||||||||
| correction factor | ||||||||||||
| K* [vbefore avg/vbehind avg] PF330/ PS93T | 1.146 | 1.102 | 1.056 | 1.096 | 1.130 | 1.141 | 1.138 | 1.102 | 1.056 | 1.096 | 1.127 | 1.115 |
| K*avg | 1.108 ± 0.030 | |||||||||||
| 6D, Re ≅ 70,000 | ||||||||||||
|---|---|---|---|---|---|---|---|---|---|---|---|---|
| 0 | 30 | 60 | 90 | 120 | 150 | 180 | 210 | 240 | 270 | 300 | 330 | |
| v behind bend m/s | ||||||||||||
| vavg 93T ± 2% | 1.355 | 1.358 | 1.370 | 1.349 | 1.340 | 1.345 | 1.355 | 1.371 | 1.374 | 1.364 | 1.345 | 1.335 |
| qavg 93T ± 2% | 9.576 | 9.602 | 9.685 | 9.536 | 9.471 | 9.506 | 9.576 | 9.688 | 9.710 | 9.638 | 9.511 | 9.435 |
| v before bend m/s | ||||||||||||
| vavg PF330 ± 2% | 1.418 | |||||||||||
| qavg PF330 ± 2% | 10.022 | |||||||||||
| Re before bend PF330 | 69,819 | |||||||||||
| correction factor | ||||||||||||
| K* [vbefore avg/vbehind avg] PF330/ PS93T | 1.047 | 1.044 | 1.035 | 1.051 | 1.058 | 1.054 | 1.047 | 1.034 | 1.032 | 1.040 | 1.054 | 1.062 |
| K*avg | 1.046 ±0.010 | |||||||||||
| 6D, Re ≅ 100,000 | ||||||||||||
|---|---|---|---|---|---|---|---|---|---|---|---|---|
| 0 | 30 | 60 | 90 | 120 | 150 | 180 | 210 | 240 | 270 | 300 | 330 | |
| v behind bend m/s | ||||||||||||
| vavg 93T ± 2% | 1.972 | 1.985 | 1.996 | 1.963 | 1.962 | 1.965 | 1.981 | 1.992 | 1.996 | 1.985 | 1.969 | 1.974 |
| qavg 93T ± 2% | 13.939 | 14.032 | 14.108 | 13.872 | 13.869 | 13.889 | 14.006 | 14.079 | 14.110 | 14.029 | 13.921 | 13.957 |
| v before bend m/s | ||||||||||||
| vavg PF330 ± 2% | 2.040 | |||||||||||
| qavg PF330 ± 2% | 14.420 | |||||||||||
| Re before bend PF330 | 100,462 | |||||||||||
| correction factor | ||||||||||||
| K* [vbefore avg/vbehind avg] PF330/ PS93T | 1.034 | 1.028 | 1.022 | 1.039 | 1.040 | 1.038 | 1.030 | 1.024 | 1.022 | 1.028 | 1.036 | 1.033 |
| K*avg | 1.031 ± 0.007 | |||||||||||
| 8D, Re ≅ 70,000 | ||||||||||||
|---|---|---|---|---|---|---|---|---|---|---|---|---|
| 0 | 30 | 60 | 90 | 120 | 150 | 180 | 210 | 240 | 270 | 300 | 330 | |
| v behind bend m/s | ||||||||||||
| vavg 93T ± 2% | 1.403 | 1.403 | 1.407 | 1.390 | 1.394 | 1.394 | 1.397 | 1.396 | 1.405 | 1.395 | 1.389 | 1.386 |
| qavg 93T ± 2% | 9.917 | 9.921 | 9.946 | 9.824 | 9.853 | 9.853 | 9.877 | 9.870 | 9.928 | 9.860 | 9.818 | 9.795 |
| v before bend m/s | ||||||||||||
| vavg PF330 ± 2% | 1.418 | |||||||||||
| qavg PF330 ± 2% | 10.022 | |||||||||||
| Re before bend PF330 | 69,819 | |||||||||||
| correction factor | ||||||||||||
| K* [vbefore avg/vbehind avg] PF330/ PS93T | 1.011 | 1.010 | 1.008 | 1.020 | 1.017 | 1.017 | 1.015 | 1.015 | 1.009 | 1.016 | 1.021 | 1.023 |
| K*avg | 1.015 ± 0.005 | |||||||||||
| 8D, Re ≅ 100,000 | ||||||||||||
|---|---|---|---|---|---|---|---|---|---|---|---|---|
| 0 | 30 | 60 | 90 | 120 | 150 | 180 | 210 | 240 | 270 | 300 | 330 | |
| v behind bend m/s | ||||||||||||
| vavg 93T ± 2% | 2.003 | 2.005 | 2.011 | 1.991 | 1.990 | 1.995 | 2.001 | 2.006 | 2.010 | 2.003 | 1.991 | 1.994 |
| qavg 93T ± 2% | 14.158 | 14.173 | 14.217 | 14.072 | 14.066 | 14.102 | 14.144 | 14.183 | 14.208 | 14.158 | 14.074 | 14.095 |
| v before bend m/s | ||||||||||||
| vavg PF330 ± 2% | 2.040 | |||||||||||
| qavg PF330 ± 2% | 14.420 | |||||||||||
| Re before bend PF330 | 100,462 | |||||||||||
| correction factor | ||||||||||||
| K* [vbefore avg/vbehind avg] PF330/ PS93T | 1.018 | 1.017 | 1.014 | 1.025 | 1.025 | 1.023 | 1.019 | 1.017 | 1.015 | 1.018 | 1.025 | 1.023 |
| K*avg | 1.020 ± 0.004 | |||||||||||
| 12D, Re ≅ 70,000 | ||||||||||||
|---|---|---|---|---|---|---|---|---|---|---|---|---|
| 0 | 30 | 60 | 90 | 120 | 150 | 180 | 210 | 240 | 270 | 300 | 330 | |
| v behind bend m/s | ||||||||||||
| vavg 93T ± 2% | 1.410 | 1.413 | 1.415 | 1.410 | 1.401 | 1.401 | 1.409 | 1.409 | 1.412 | 1.404 | 1.403 | 1.409 |
| qavg 93T ± 2% | 9.964 | 9.987 | 10.005 | 9.964 | 9.903 | 9.903 | 9.963 | 9.960 | 9.980 | 9.921 | 9.915 | 9.958 |
| v before bend m/s | ||||||||||||
| vavg PF330 ± 2% | 1.418 | |||||||||||
| qavg PF330 ± 2% | 10.022 | |||||||||||
| Re before bend PF330 | 69,819 | |||||||||||
| correction factor | ||||||||||||
| K* [vbefore avg/vbehind avg] PF330/PS93T | 1.006 | 1.003 | 1.002 | 1.006 | 1.012 | 1.012 | 1.006 | 1.006 | 1.004 | 1.010 | 1.011 | 1.006 |
| K*avg | 1.007 ± 0.004 | |||||||||||
| 12D, Re ≅ 100,000 | ||||||||||||
|---|---|---|---|---|---|---|---|---|---|---|---|---|
| 0 | 30 | 60 | 90 | 120 | 150 | 180 | 210 | 240 | 270 | 300 | 330 | |
| v behind bend m/s | ||||||||||||
| vavg 93T ± 2% | 2.027 | 2.028 | 2.032 | 2.025 | 2.019 | 2.019 | 2.026 | 2.033 | 2.033 | 2.020 | 2.016 | 2.027 |
| qavg 93T ± 2% | 14.327 | 14.333 | 14.363 | 14.315 | 14.270 | 14.270 | 14.318 | 14.372 | 14.368 | 14.279 | 14.252 | 14.327 |
| v before bend m/s | ||||||||||||
| vavg PF330 ± 2% | 2.04 | |||||||||||
| qavg PF330 ± 2% | 14.42 | |||||||||||
| Re before bend PF330 | 100,462 | |||||||||||
| correction factor | ||||||||||||
| K* [vbefore avg/vbehind avg] PF330/PS93T | 1.006 | 1.006 | 1.004 | 1.007 | 1.011 | 1.011 | 1.007 | 1.003 | 1.004 | 1.010 | 1.012 | 1.007 |
| K*avg | 1.007 ± 0.003 | |||||||||||
Publisher’s Note: MDPI stays neutral with regard to jurisdictional claims in published maps and institutional affiliations. |
© 2021 by the authors. Licensee MDPI, Basel, Switzerland. This article is an open access article distributed under the terms and conditions of the Creative Commons Attribution (CC BY) license (http://creativecommons.org/licenses/by/4.0/).
Share and Cite
Synowiec, P.; Andruszkiewicz, A.; Wędrychowicz, W.; Piechota, P.; Wróblewska, E. Influence of Flow Disturbances behind the 90° Bend on the Indications of the Ultrasonic Flow Meter with Clamp-On Sensors on Pipelines. Sensors 2021, 21, 868. https://doi.org/10.3390/s21030868
Synowiec P, Andruszkiewicz A, Wędrychowicz W, Piechota P, Wróblewska E. Influence of Flow Disturbances behind the 90° Bend on the Indications of the Ultrasonic Flow Meter with Clamp-On Sensors on Pipelines. Sensors. 2021; 21(3):868. https://doi.org/10.3390/s21030868
Chicago/Turabian StyleSynowiec, Piotr, Artur Andruszkiewicz, Wiesław Wędrychowicz, Piotr Piechota, and Elżbieta Wróblewska. 2021. "Influence of Flow Disturbances behind the 90° Bend on the Indications of the Ultrasonic Flow Meter with Clamp-On Sensors on Pipelines" Sensors 21, no. 3: 868. https://doi.org/10.3390/s21030868
APA StyleSynowiec, P., Andruszkiewicz, A., Wędrychowicz, W., Piechota, P., & Wróblewska, E. (2021). Influence of Flow Disturbances behind the 90° Bend on the Indications of the Ultrasonic Flow Meter with Clamp-On Sensors on Pipelines. Sensors, 21(3), 868. https://doi.org/10.3390/s21030868

