Assessing Post-Driving Discomfort and Its Influence on Gait Patterns
Abstract
1. Introduction
2. Materials and Methods
2.1. Participants
2.2. Instruments
2.3. Driving Simulator
2.4. Equipment Synchronisation
2.5. Characterisation of Driving Discomfort
2.6. Procedures
2.7. Data Processing
2.8. Statistical Analysis
3. Results
3.1. Description of the Sample Size Based on the Cluster Classification
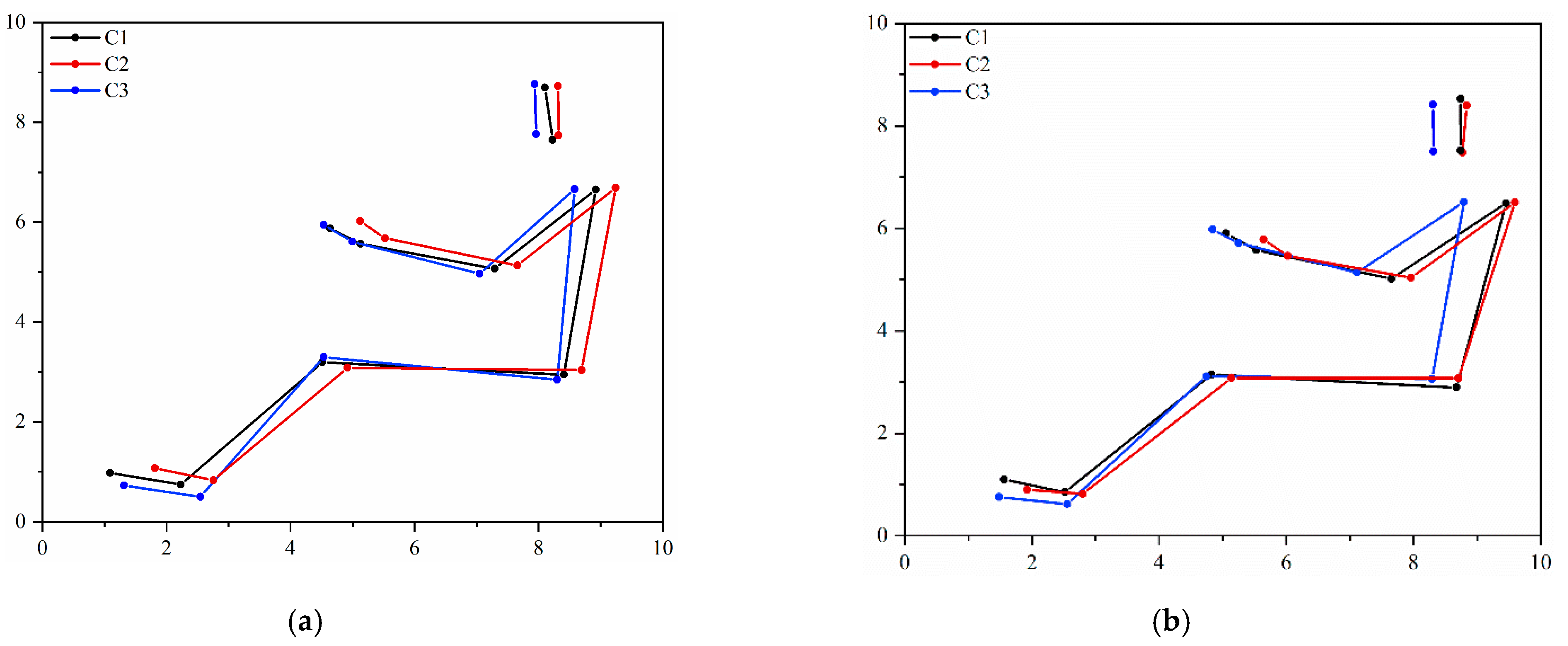
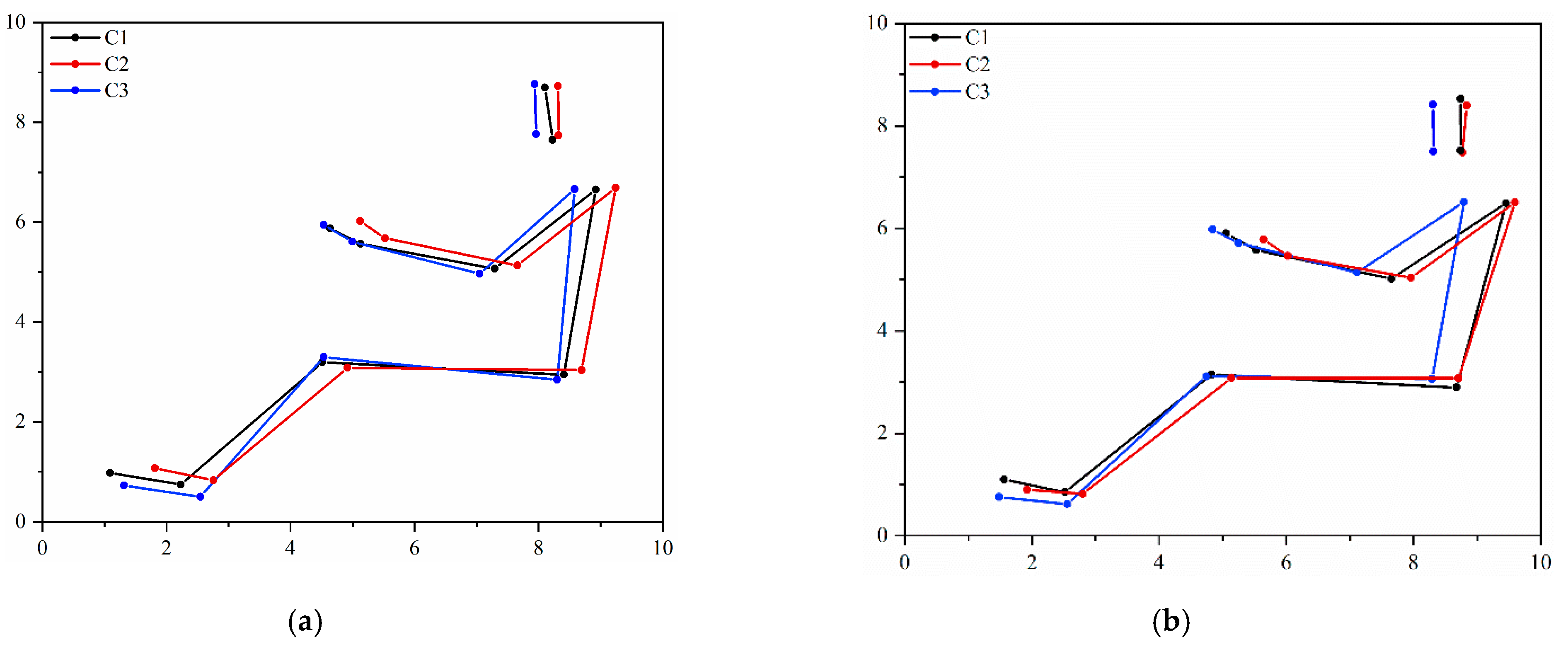
3.2. Influence of Prolonged Driving on Spatiotemporal Characteristics
3.3. Postures during Prolonged Driving
3.4. Average Interface Pressure and Covered Area on the Drivers’ Seat Pan
3.4.1. Interface Pressure Variables by Total Seat Pan Area
3.4.2. Average Interface Pressure by Defined Zones
4. Discussion
4.1. Variation of Spatial and Temporal Data between Two Gait Cycles
4.2. Influence of the Driving Venue and Long-Time Driving on Preferred Driving Postures
4.3. Growth of Applied Interface Pressure Variables over the Driving Time
4.4. Limitations
5. Conclusions
Author Contributions
Funding
Institutional Review Board Statement
Informed Consent Statement
Data Availability Statement
Acknowledgments
Conflicts of Interest
References
- Spielholz, P.; Cullen, J.; Smith, C.; Howard, N.; Silverstein, B.; Bonauto, D. Assessment of perceived injury risks and priorities among truck drivers and trucking companies in Washington State. J. Saf. Res. 2008, 39, 569–576. [Google Scholar] [CrossRef] [PubMed]
- Wrona, M.; Jöckel, K.-H.; Pannier, F.; Bock, E.; Hoffmann, B.; Rabe, E. Association of venous disorders with leg symptoms: Results from the Bonn Vein Study 1. Eur. J. Vasc. Endovasc. Surg. 2015, 50, 360–367. [Google Scholar] [CrossRef] [PubMed]
- De Looze, M.P.; Kuijt-Evers, L.F.M.; Van Dieen, J. Sitting comfort and discomfort and the relationships with objective measures. Ergonomics 2003, 46, 985–997. [Google Scholar] [CrossRef]
- Hiemstra-van Mastrigt, S.; Groenesteijn, L.; Vink, P.; Kuijt-Evers, L.F.M. Predicting passenger seat comfort and discomfort on the basis of human, context and seat characteristics: A literature review. Ergonomics 2017, 60, 889–911. [Google Scholar] [CrossRef]
- Sammonds, G.M.; Fray, M.; Mansfield, N.J. Effect of long term driving on driver discomfort and its relationship with seat fidgets and movements (SFMs). Appl. Ergon. 2017, 58, 119–127. [Google Scholar] [CrossRef] [PubMed]
- Kim, S.Y.; An, J.R.; Kim, K.S. A study on the stiffness characteristics according to the body pressure on the seat cushion for vehicle. Indian J. Sci. Technol. 2016, 9, 1–6. [Google Scholar] [CrossRef][Green Version]
- Slayton, S.; Morris, P.; Brinkley, J. Pressure Mapping of a Standard Hospital Recliner and Select Cushions with Healthy Adults. J. Wound Ostomy Cont. Nurs. 2017, 44, 228–235. [Google Scholar] [CrossRef]
- Park, S.J.; Kim, C.-B. The Evaluation of Seating Comfort by the Objective Measures. Available online: https://www.sae.org/publications/technical-papers/content/970595/ (accessed on 28 November 2021). [CrossRef]
- Cascioli, V.; Liu, Z.; Heusch, A.; McCarthy, P.W. A methodology using in-chair movements as an objective measure of discomfort for the purpose of statistically distinguishing between similar seat surfaces. Appl. Ergon. 2016, 54, 100–109. [Google Scholar] [CrossRef]
- Le, P.; Rose, J.; Knapik, G.; Marras, W.S. Objective classification of vehicle seat discomfort. Ergonomics 2014, 57, 536–544. [Google Scholar] [CrossRef] [PubMed]
- Gyi, D.E.; Porter, J.M. Interface pressure and the prediction of car seat discomfort. Appl. Ergon. 1999, 30, 99–107. [Google Scholar] [CrossRef]
- Luboz, V.; Bailet, M.; Grivot, C.B.; Rochette, M.; Diot, B.; Bucki, M.; Payan, Y. Personalized modeling for real-time pressure ulcer prevention in sitting posture. J. Tissue Viability 2018, 27, 54–58. [Google Scholar] [CrossRef]
- Xia, T.; Iles, R.; Newnam, S.; Lubman, D.I.; Collie, A. Work-related injury and disease in Australian road transport workers: A retrospective population based cohort study. J. Transp. Health 2019, 12, 34–41. [Google Scholar] [CrossRef]
- Chiu, M.-C.; Wang, M.-J. The effect of gait speed and gender on perceived exertion, muscle activity, joint motion of lower extremity, ground reaction force and heart rate during normal walking. Gait Posture 2007, 25, 385–392. [Google Scholar] [CrossRef] [PubMed]
- Taylor, M.E.; Delbaere, K.; Mikolaizak, A.S.; Lord, S.R.; Close, J.C.T. Gait parameter risk factors for falls under simple and dual task conditions in cognitively impaired older people. Gait Posture 2013, 37, 126–130. [Google Scholar] [CrossRef] [PubMed]
- Barrett, R.S.; Mills, P.M.; Begg, R.K. A systematic review of the effect of ageing and falls history on minimum foot clearance characteristics during level walking. Gait Posture 2010, 32, 429–435. [Google Scholar] [CrossRef] [PubMed]
- Hollman, J.H.; McDade, E.M.; Petersen, R.C. Normative spatiotemporal gait parameters in older adults. Gait Posture 2011, 34, 111–118. [Google Scholar] [CrossRef]
- Maktouf, W.; Durand, S.; Boyas, S.; Pouliquen, C.; Beaune, B. Combined effects of aging and obesity on postural control, muscle activity and maximal voluntary force of muscles mobilizing ankle joint. J. Biomech. 2018, 79, 198–206. [Google Scholar] [CrossRef] [PubMed]
- Senthanar, S.; Bigelow, P.L. Factors associated with musculoskeletal pain and discomfort among Canadian truck drivers: A cross-sectional study of worker perspectives. J. Transp. Health 2018, 11, 244–252. [Google Scholar] [CrossRef]
- Zemp, R.; Taylor, W.R.; Lorenzetti, S. Seat pan and backrest pressure distribution while sitting in office chairs. Appl. Ergon. 2016, 53, 1–9. [Google Scholar] [CrossRef]
- Jackson, C.; Emck, A.J.; Hunston, M.J.; Jarvis, P.C. Pressure measurements and comfort of foam safety cushions for confined seating. Aviat Space Environ. Med. 2009, 80, 565–569. [Google Scholar] [CrossRef]
- Lewis, A.R.; Haydon, D.S.; Phillips, E.J.; Grimshaw, P.N.; Robertson, W.S.P.; Portus, M. Monitoring seating interface pressure in wheelchair sports. Sport Eng. 2018, 21, 311–319. [Google Scholar] [CrossRef]
- Hartung, J. Objektivierung des Statischen Sitzkomforts auf Fahrzeugsitzen Durch die Kontaktkräfte Zwischen Mensch und Sitz; Technische Universität München: Munich, Germany, 2006; Available online: https://mediatum.ub.tum.de/601971 (accessed on 28 November 2021).
- SAE J1100. Motor Vehicle Dimensions. SAE Int. J. Aerosp. 2002. Available online: https://standards.globalspec.com/std/1205131/sae-j1100 (accessed on 28 November 2021).
- Cvetkovic, M.; Soares, D.; Fonseca, P.; Ferreira, S.; Baptista, J.S. Changes in Postures of Male Drivers Caused by Long-Time Driving. In Occupational and Environmental Safety and Health, II; Springer: Berlin/Heidelberg, Germany, 2020; pp. 491–498. [Google Scholar] [CrossRef]
- Bohannon, R.W.; Consultants, P.T.; Andrews, A.W. Normal walking speed: A descriptive meta-analysis. Physiotherapy 2011, 97, 182–189. [Google Scholar] [CrossRef] [PubMed]
- Segal, A.; Rohr, E.; Orendurff, M.; Shofer, J.; O’Brien, M.; Sangeorzan, B. The effect of walking speed on peak plantar pressure. Foot Ankle Int. 2004, 25, 926–933. [Google Scholar] [CrossRef]
- Kirkwood, R.N.; de Souza Moreira, B.; Vallone, M.L.D.C.; Mingoti, S.A.; Dias, R.C.; Sampaio, R.F. Step length appears to be a strong discriminant gait parameter for elderly females highly concerned about falls: A cross-sectional observational study. Physiotherapy 2011, 97, 126–131. [Google Scholar] [CrossRef]
- Burnfield, J.M.; Few, C.D.; Mohamed, O.S.; Perry, J. The influence of walking speed and footwear on plantar pressures in older adults. Clin. Biomech. 2004, 19, 78–84. [Google Scholar] [CrossRef] [PubMed]
- Franklin, S.; Grey, M.J.; Heneghan, N.; Bowen, L.; Li, F.-X. Barefoot vs common footwear: A systematic review of the kinematic, kinetic and muscle activity differences during walking. Gait Posture 2015, 42, 230–239. [Google Scholar] [CrossRef]
- Fryzowicz, A.; Murawa, M.; Kabacinski, J.; Rzepnicka, A.; Dworak, L.B. Reference values of spatiotemporal parameters, joint angles, ground reaction forces, and plantar pressure distribution during normal gait in young women. ACTA Bioeng. Biomech. 2018, 20, 49–57. [Google Scholar] [CrossRef]
- Lin, M.-W.; Liu, W.; Yang, F. Influence of multiple sclerosis on dynamic gait stability. J. Biomech. 2020, 106, 109827. [Google Scholar] [CrossRef] [PubMed]
- Verghese, J.; Holtzer, R.; Lipton, R.B.; Wang, C. Quantitative gait markers and incident fall risk in older adults. J. Gerontol. Ser. A 2009, 64, 896–901. [Google Scholar] [CrossRef] [PubMed]
- do Carmo Aprigio, P.S.; de Jesus, I.R.T.; Porto, C.; Lemos, T.; de Sá Ferreira, A. Lower limb muscle fatigability is not associated with changes in movement strategies for balance control in the upright stance. Hum. Mov. Sci. 2020, 70, 102588. [Google Scholar] [CrossRef] [PubMed]
- Oullier, O.; Kavounoudias, A.; Duclos, C.; Albert, F.; Roll, J.-P.P.; Roll, R. Countering postural posteffects following prolonged exposure to whole-body vibration: A sensorimotor treatment. Eur. J. Appl. Physiol. 2009, 105, 235–245. [Google Scholar] [CrossRef]
- Kyung, G.; Nussbaum, M.A. Specifying comfortable driving postures for ergonomic design and evaluation of the driver workspace using digital human models. Ergonomics 2009, 52, 939–953. [Google Scholar] [CrossRef]
- Na, S.; Lim, S.; Choi, H.-S.; Chung, M.K. Evaluation of driver’s discomfort and postural change using dynamic body pressure distribution. Int. J. Ind. Ergon. 2005, 35, 1085–1096. [Google Scholar] [CrossRef]
- Defloor, T.; Grypdonck, M.H.F. Do pressure relief cushions really relieve pressure? West. J. Nurs. Res. 2000, 22, 335–350. [Google Scholar] [CrossRef] [PubMed]
- Bergstrand, S. Tissue Blood Flow Responses to External Pressure Using LDF and PPG: Testing a System Developed for Pressure Ulcer Research; Linköping University Electronic Press: Linköping, Sweden, 2009. [Google Scholar]
- Oomens, C.W.J.; Loerakker, S.; Bader, D.L. The importance of internal strain as opposed to interface pressure in the prevention of pressure related deep tissue injury. J. Tissue Viability 2010, 19, 35–42. [Google Scholar] [CrossRef]




| C1 | C2 | C3 | p-Value | |
|---|---|---|---|---|
| Number of participants (M/F) | 26 (15/11) | 10 (3/7) | 8 (4/4) | n.s. |
| WSD (cm/s) | 2.8 ± 3.0 | 14.5 ± 3.3 | −8.5 ± 6.3 | <0.001 |
| Age (years) | 27.0 ± 4.8 | 27.0 ± 3.6 | 29.4 ± 5.6 | n.s. |
| Body height (cm) | 171.1 ± 8.1 | 168.1 ± 8.6 | 171.1 ± 9.2 | n.s. |
| Weight (kg) | 70.9 ± 15.4 | 66.1 ± 14.0 | 62.9 ± 11.0 | n.s. |
| BMI (kg/m2) | 24.2 ± 4.3 | 23.3 ± 3.8 | 21.3 ± 2.5 | n.s. |
| Driving experience (years) | 7.2 ± 4.6 | 8.6 ± 6.1 | 7.1 ± 2.8 | n.s. |
| Driving per week (hours) | 5.1 ± 4.2 | 4.7 ± 4.2 | 2.5 ± 2.9 | n.s. |
| Spatiotemporal Variable | Period | C1 | C2 | C3 |
|---|---|---|---|---|
| WS (cm/s) | Pre | 91.03 ± 9.79 | 96.61 ± 16.91 | 97.80 ± 14.62 |
| Post | 93.88 ± 10.84 | 111.08 ± 15.96 | 89.28 ± 17.48 | |
| p-value | <0.001 | <0.001 | <0.001 | |
| SL (cm) | Pre | 54.57 ± 5.09 | 54.93 ± 5.60 | 57.56 ± 5.12 |
| Post | 55.76 ± 8.36 | 57.66 ± 7.73 | 54.80 ± 4.72 | |
| p-value | n.s. | n.s. | n.s. | |
| CA (steps/min) | Pre | 101.05 ± 7.73 | 104.91 ± 9.50 | 102.40 ± 7.65 |
| Post | 104.55 ± 9.48 | 113.16 ± 7.14 | 98.30 ± 8.64 | |
| p-value | 0.002 | <0.001 | 0.041 | |
| SST (s) | Pre | 0.44 ± 0.04 | 0.43 ± 0.04 | 0.44 ± 0.05 |
| Post | 0.43 ± 0.04 | 0.41 ± 0.03 | 0.45 ± 0.04 | |
| p-value | n.s. | n.s. | n.s. | |
| IDST (s) | Pre | 0.17 ± 0.04 | 0.15 ± 0.04 | 0.15 ± 0.04 |
| Post | 0.16 ± 0.03 | 0.13 ± 0.03 | 0.17 ± 0.06 | |
| p-value | n.s. | n.s. | n.s. | |
| TDST (s) | Pre | 0.17 ± 0.03 | 0.18 ± 0.04 | 0.16 ± 0.02 |
| Post | 0.16 ± 0.03 | 0.14 ± 0.03 | 0.20 ± 0.08 | |
| p-value | n.s. | <0.001 | 0.002 | |
| TODST (s) | Pre | 0.34 ± 0.06 | 0.33 ± 0.05 | 0.31 ± 0.06 |
| Post | 0.32 ± 0.05 | 0.28 ± 0.05 | 0.37 ± 0.10 | |
| p-value | 0.002 | <0.001 | <0.001 | |
| GCT | Pre | 1.20 ± 0.08 | 1.21 ± 0.12 | 1.15 ± 0.13 |
| Post | 1.17 ± 0.10 | 1.10 ± 0.09 | 1.23 ± 0.10 | |
| p-value | n.s. | <0.001 | 0.010 | |
| STF (%) | Pre | 64.37 ± 2.30 | 62.45 ± 4.77 | 65.36 ± 1.87 |
| Post | 64.00 ± 2.22 | 62.12 ± 3.50 | 65.65 ± 4.05 | |
| p-value | n.s. | n.s. | n.s. | |
| SWF (%) | Pre | 35.63 ± 2.30 | 37.55 ± 4.77 | 34.64 ± 1.87 |
| Post | 36.00 ± 2.22 | 37.88 ± 3.50 | 34.35 ± 4.05 | |
| p-value | n.s. | n.s. | n.s. |
Publisher’s Note: MDPI stays neutral with regard to jurisdictional claims in published maps and institutional affiliations. |
© 2021 by the authors. Licensee MDPI, Basel, Switzerland. This article is an open access article distributed under the terms and conditions of the Creative Commons Attribution (CC BY) license (https://creativecommons.org/licenses/by/4.0/).
Share and Cite
Cvetkovic, M.M.; Soares, D.; Baptista, J.S. Assessing Post-Driving Discomfort and Its Influence on Gait Patterns. Sensors 2021, 21, 8492. https://doi.org/10.3390/s21248492
Cvetkovic MM, Soares D, Baptista JS. Assessing Post-Driving Discomfort and Its Influence on Gait Patterns. Sensors. 2021; 21(24):8492. https://doi.org/10.3390/s21248492
Chicago/Turabian StyleCvetkovic, Marko M., Denise Soares, and João Santos Baptista. 2021. "Assessing Post-Driving Discomfort and Its Influence on Gait Patterns" Sensors 21, no. 24: 8492. https://doi.org/10.3390/s21248492
APA StyleCvetkovic, M. M., Soares, D., & Baptista, J. S. (2021). Assessing Post-Driving Discomfort and Its Influence on Gait Patterns. Sensors, 21(24), 8492. https://doi.org/10.3390/s21248492

