Development of an IoT Architecture Based on a Deep Neural Network against Cyber Attacks for Automated Guided Vehicles
Abstract
:1. Introduction
2. Proposed IoT Architecture
3. Deep Learning Overview
4. Results and Discussion
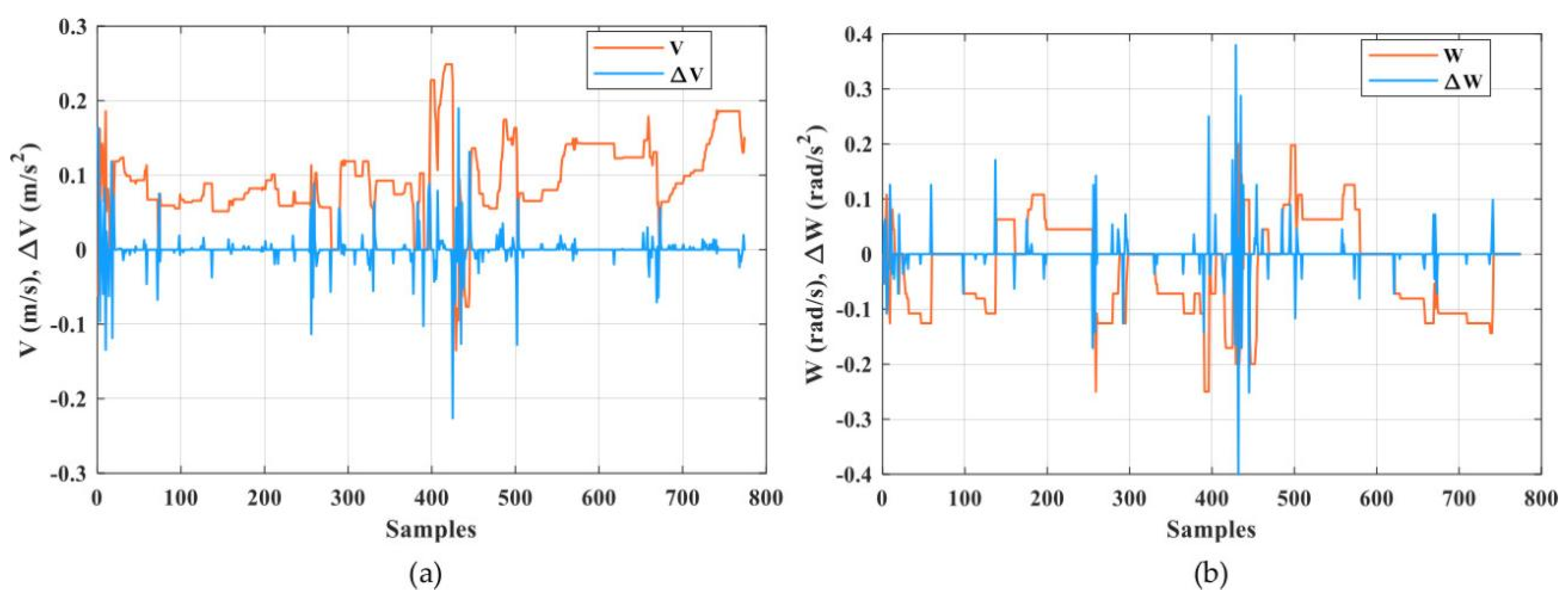
4.1. Dataset
| Algorithm 1. The steps of the proposed IoT architecture based on the DNN | 
| 1: Read the speed signals from AGV microcontroller. | 
| 2: Connect to the MQTT broker. | 
| 3: Input data to the DNN model. | 
| 4: Recognize the AGV status by the DNN. | 
| 5: If the result of DNN = = 0. | 
| 6: Publish that the AGV status is ‘Real Tracking’ and the network status is ‘Stable Network’. | 
| 7: Else if the result of the DNN = = 1. | 
| 8: Publish that the AGV status is ‘Fake Tracking’ and the network status is ‘Unstable Network’. | 
| 9: If the velocity > 0. | 
| 10: Publish that the service status of the AGV is ‘In Service’. | 
| 11: Else. | 
| 12: Publish that the service status of the AGV is ‘Out of Service’. | 
| 13: End. | 
4.2. Performance Assessment
4.3. Scenario 1: Real Tracking for AGVs
4.4. Scenario 2: Out of Service State
4.5. Scenario 3: Cyber Attack and Fake Tracking
4.6. Discussion
- The normal state of the AGV was recognized and visualized effectively by the proposed IoT architecture based on the DNN, as presented in scenario 1. Furthermore, the network status was presented in the IoT dashboard beside the AGV speed to confirm the real tracking of the AGV.
- The out of service state of the AGV due to any fault, maintenance, and charging were presented in scenario 2. The out of service state was detected when the AGV speed was equal to zero. The proposed IoT architecture recorded and presented this state effectively on the IoT dashboard. Furthermore, the CONTACT Elements for the IoT performed an alarm by changing the light color of the operating condition indicator to a yellow color to indicate to the operator about the outage of the AGV from the service to support the decision-making.
- The instability of the network due to a cyber attack was detected successfully by the proposed IoT architecture based on the DNN, as clarified in scenario 3. This abnormal state was presented in a clearer way on the dashboard of the IoT platform. The light color of the operating condition indicator changed to a red color as an alarm to indicate to the operator that there was a cyber attack on the internet network.
5. Conclusions
Author Contributions
Funding
Institutional Review Board Statement
Informed Consent Statement
Data Availability Statement
Acknowledgments
Conflicts of Interest
References
- Zhang, Y.; Guo, L.; Gao, B.; Qu, T.; Chen, H. Deterministic Promotion Reinforcement Learning Applied to Longitudinal Velocity Control for Automated Vehicles. IEEE Trans. Veh. Technol. 2020, 69, 338–348. [Google Scholar] [CrossRef]
- Zhang, Z.; Guo, Q.; Chen, J.; Yuan, P. Collision-free route planning for multiple AGVs in an automated warehouse based on collision classification. IEEE Access 2018, 6, 26022–26035. [Google Scholar] [CrossRef]
- Su, S.; Dai, H.; Cheng, S.; Chen, Z. Improved Magnetic Guidance Approach for Automated Guided Vehicles by Error Analysis and Prior Knowledge. IEEE Trans. Intell. Transp. Syst. 2020, 22, 6843–6852. [Google Scholar] [CrossRef]
- Zhu, S.; Gelbal, S.Y.; Aksun-Guvenc, B.; Guvenc, L. Parameter-Space Based Robust Gain-Scheduling Design of Automated Vehicle Lateral Control. IEEE Trans. Veh. Technol. 2019, 68, 9660–9671. [Google Scholar] [CrossRef]
- Goli, A.; Tirkolaee, E.B.; Aydin, N.S. Fuzzy Integrated Cell Formation and Production Scheduling Considering Automated Guided Vehicles and Human Factors. IEEE Trans. Fuzzy Syst. 2021, 29, 3686–3695. [Google Scholar] [CrossRef]
- Oyekanlu, E.A.; Smith, A.C.; Thomas, W.P.; Mulroy, G.; Hitesh, D.; Ramsey, M.; Kuhn, D.J.; Mcghinnis, J.D.; Buonavita, S.C.; Looper, N.A.; et al. A Review of Recent Advances in Automated Guided Vehicle Technologies: Integration Challenges and Research Areas for 5G-Based Smart Manufacturing Applications. IEEE Access 2020, 8, 202312–202353. [Google Scholar] [CrossRef]
- Hrušecká, D.; Lopes, R.B.; Juřičková, E. Challenges in the introduction of AGVS in production lines: Case studies in the automotive industry. Serb. J. Manag. 2019, 14, 233–247. [Google Scholar] [CrossRef]
- Al-Turjman, F.; Lemayian, J.P. Intelligence, security, and vehicular sensor networks in internet of things (IoT)-enabled smart-cities: An overview. Comput. Electr. Eng. 2020, 87, 106776. [Google Scholar] [CrossRef]
- AlZubi, A.A.; Alarifi, A.; Al-Maitah, M.; Alheyasat, O. Multi-sensor information fusion for Internet of Things assisted automated guided vehicles in smart city. Sustain. Cities Soc. 2021, 64, 102539. [Google Scholar] [CrossRef]
- Wan, J.; Tang, S.; Hua, Q.; Li, D.; Liu, C.; Lloret, J. Context-Aware Cloud Robotics for Material Handling in Cognitive Industrial Internet of Things. IEEE Internet Things J. 2018, 5, 2272–2281. [Google Scholar] [CrossRef]
- Yao, F.; Keller, A.; Ahmad, M.; Ahmad, B.; Harrison, R.; Colombo, A.W. Optimizing the scheduling of autonomous guided vehicle in a manufacturing process. In Proceedings of the 2018 IEEE 16th International Conference on Industrial Informatics (INDIN), IEEE, Porto, Portugal, 18–20 July 2018; pp. 264–269. [Google Scholar]
- Bhamare, D.; Zolanvari, M.; Erbad, A.; Jain, R.; Khan, K.; Meskin, N. Cybersecurity for industrial control systems: A survey. Comput. Secur. 2020, 89, 101677. [Google Scholar] [CrossRef] [Green Version]
- Kravchik, M.; Shabtai, A. Detecting cyber attacks in industrial control systems using convolutional neural networks. In Proceedings of the 2018 Workshop on Cyber-Physical Systems Security and PrivaCy, Toronto, ON, Canada, 15–19 October 2018; pp. 72–83. [Google Scholar]
- Han, S.; Xie, M.; Chen, H.H.; Ling, Y. Intrusion detection in cyber-physical systems: Techniques and challenges. IEEE Syst. J. 2014, 8, 1052–1062. [Google Scholar]
- Pasqualetti, F.; Dörfler, F.; Bullo, F. Cyber-physical attacks in power networks: Models, fundamental limitations and monitor design. In Proceedings of the 2011 50th IEEE Conference on Decision and Control and European Control Conference, IEEE, Orlando, FL, USA, 12–15 December 2011; pp. 2195–2201. [Google Scholar]
- Teixeira, A.; Pérez, D.; Sandberg, H.; Johansson, K.H. Attack models and scenarios for networked control systems. In Proceedings of the 1st International Conference on High Confidence Networked Systems, Beijing, China, 17–18 April 2012; pp. 55–64. [Google Scholar]
- Mitchell, R.; Chen, I.R. A survey of intrusion detection techniques for cyber-physical systems. ACM Comput. Surv. (CSUR) 2014, 46, 1–29. [Google Scholar] [CrossRef] [Green Version]
- Elsisi, M.; Mahmoud, K.; Lehtonen, M.; Darwish, M.M. Reliable Industry 4.0 Based on Machine Learning and IoT for Analyzing, Monitoring, and Securing Smart Meters. Sensors 2021, 21, 487. [Google Scholar] [CrossRef]
- Bligh-Wall, S. Industry 4.0: Security imperatives for IoT—Converging networks, increasing risks. Cyber Secur. Peer-Rev. J. 2017, 1, 61–68. [Google Scholar]
- Preuveneers, D.; Ilie-Zudor, E. The intelligent industry of the future: A survey on emerging trends, research challenges and opportunities in Industry 4.0. J. Ambient. Intell. Smart Environ. 2017, 9, 287–298. [Google Scholar] [CrossRef] [Green Version]
- Benzaoui, N.; Gonzalez, M.S.; Rivera, M.V.; Estaran, J.M.; Mardoyan, H.; Lautenschlaeger, W.; Gebhard, U.; Dembeck, L.; Pointurier, Y.; Bigo, S. DDN: Deterministic dynamic networks. In Proceedings of the 2018 European Conference on Optical Communication (ECOC), IEEE, Rome, Italy, 23–27 September 2018; pp. 1–3. [Google Scholar]
- Redana, S.; Bulakci, Ö.; Zafeiropoulos, A.; Gavras, A.; Tzanakaki, A.; Albanese, A.; Kousaridas, A.; Weit, A.; Sayadi, B.; Jou, B.T.; et al. 5G PPP Architecture Working Group: View on 5G Architecture; European Commission: Brussels, Belgium, 2019. [Google Scholar]
- IoT Platform for Digital Business Models. CONTACT Software. Available online: https://www.contact-software.com/en/ (accessed on 1 April 2021).
- Tran, M.-Q.; Elsisi, M.; Mahmoud, K.; Liu, M.-K.; Lehtonen, M.; Darwish, M.M.F. Experimental Setup for Online Fault Diagnosis of Induction Machines via Promising IoT and Machine Learning: Towards Industry 4.0 Empowerment. IEEE Access 2021, 9, 115429–115441. [Google Scholar] [CrossRef]
- Elsisi, M.; Tran, M.-Q.; Mahmoud, K.; Lehtonen, M.; Darwish, M.M.F. Deep Learning-Based Industry 4.0 and Internet of Things towards Effective Energy Management for Smart Buildings. Sensors 2021, 21, 1038. [Google Scholar] [CrossRef] [PubMed]
- Schmidhuber, J. Deep learning in neural networks: An overview. Neural Netw. 2015, 61, 85–117. [Google Scholar] [CrossRef] [PubMed] [Green Version]
- Ohn, I.; Kim, Y. Smooth Function Approximation by Deep Neural Networks with General Activation Functions. Entropy 2019, 21, 627. [Google Scholar] [CrossRef] [PubMed] [Green Version]
- Zhang, J. Gradient descent based optimization algorithms for deep learning models training. arXiv 2019, arXiv:1903.03614. [Google Scholar]
- Prasad, S. Counteractive control against cyber-attack uncertainties on frequency regulation in the power system. IET Cyber-Phys. Syst. Theory Appl. 2020, 5, 394–408. [Google Scholar] [CrossRef]
- Pasqualetti, F.; Dörfler, F.; Bullo, F. Attack detection and identification in cyber-physical systems. IEEE Trans. Autom. Control 2013, 58, 2715–2729. [Google Scholar] [CrossRef] [Green Version]
- Habibi, M.R.; Sahoo, S.; Rivera, S.; Dragičević, T.; Blaabjerg, F. Decentralized coordinated cyber-attack detection and mitigation strategy in DC microgrids based on artificial neural networks. IEEE J. Emerg. Sel. Top. Power Electron. 2021, 9, 4629–4638. [Google Scholar] [CrossRef]














| Layer (Type) | Output Shape | Number of Parameters | 
|---|---|---|
| Input layer | (1, 4) | - | 
| Hidden layer_1 | (None, 32) | 160 | 
| Hidden layer_2 | (None, 64) | 2112 | 
| Hidden layer_3 | (None, 128) | 8320 | 
| Hidden layer_4 | (None, 32) | 4128 | 
| Output layer | (None, 2) | 66 | 
| Total parameters: 14,786 | ||
| Trainable parameters: 14,786 | ||
| Non-trainable parameters: 0 | ||
| Methods | Decision Tree | SVM | Random Forest | XGBoost | 1D-CNN | Proposed DNN | 
|---|---|---|---|---|---|---|
| Detection Accuracy (%) | 92.43 | 90 | 95.23 | 94.81 | 93.13 | 96.77 | 
| Publisher’s Note: MDPI stays neutral with regard to jurisdictional claims in published maps and institutional affiliations. | 
© 2021 by the authors. Licensee MDPI, Basel, Switzerland. This article is an open access article distributed under the terms and conditions of the Creative Commons Attribution (CC BY) license (https://creativecommons.org/licenses/by/4.0/).
Share and Cite
Elsisi, M.; Tran, M.-Q. Development of an IoT Architecture Based on a Deep Neural Network against Cyber Attacks for Automated Guided Vehicles. Sensors 2021, 21, 8467. https://doi.org/10.3390/s21248467
Elsisi M, Tran M-Q. Development of an IoT Architecture Based on a Deep Neural Network against Cyber Attacks for Automated Guided Vehicles. Sensors. 2021; 21(24):8467. https://doi.org/10.3390/s21248467
Chicago/Turabian StyleElsisi, Mahmoud, and Minh-Quang Tran. 2021. "Development of an IoT Architecture Based on a Deep Neural Network against Cyber Attacks for Automated Guided Vehicles" Sensors 21, no. 24: 8467. https://doi.org/10.3390/s21248467
APA StyleElsisi, M., & Tran, M.-Q. (2021). Development of an IoT Architecture Based on a Deep Neural Network against Cyber Attacks for Automated Guided Vehicles. Sensors, 21(24), 8467. https://doi.org/10.3390/s21248467
 
         
                                                


 
       