A Cybersecure P300-Based Brain-to-Computer Interface against Noise-Based and Fake P300 Cyberattacks
Abstract
1. Introduction
2. Related Works
3. Simulated Cyberattacks
3.1. Materials and Methods
- (i)
- Addition of white Gaussian noise with SNR = 20 dB (AWGN 20);
- (ii)
- Addition of white Gaussian noise with SNR = 40 dB (AWGN 40);
- (iii)
- Modulated noise with 3rd-order median filter and low-amplitude pink noise (MF3, 001);
- (iv)
- Modulated noise with 9th-order median filter and low-amplitude pink noise (MF9, 001);
- (v)
- Modulated noise with 9th-order median filter and high-amplitude pink noise (MF9, 05).
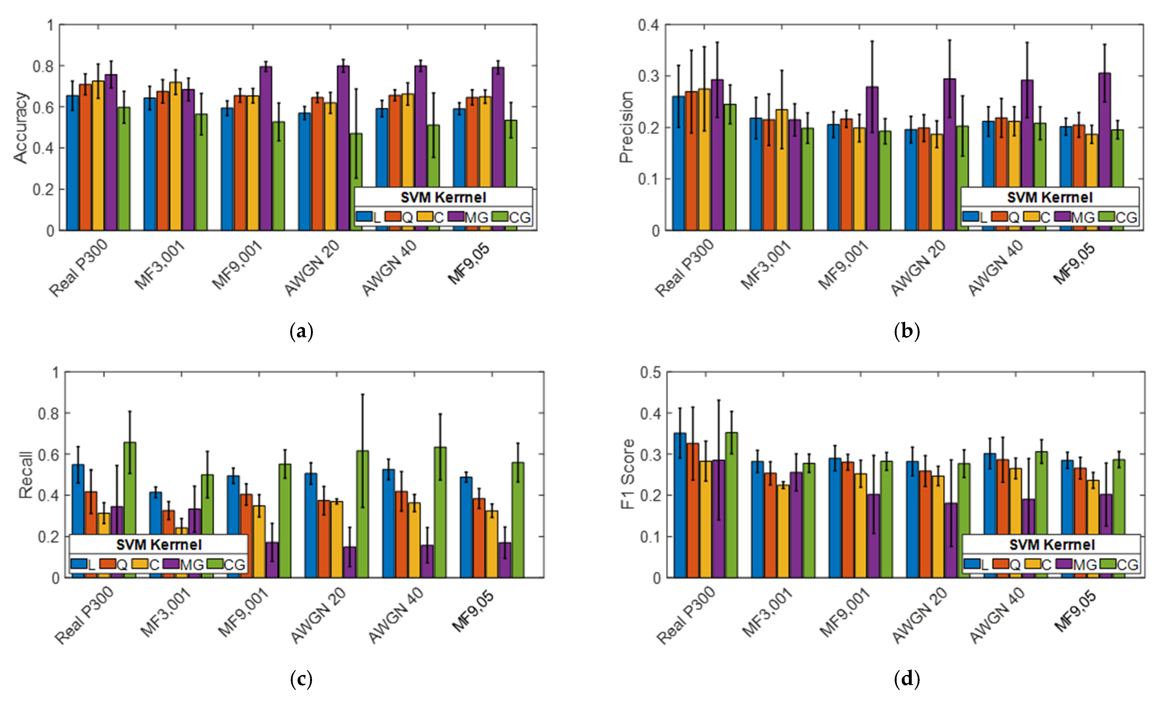
3.2. Results of the Simulated Cyberattack
4. Architecture of the Brain Hacking Recognizer (BHR) for the Cybersecure BCI
4.1. Brain Hacking Recognizer
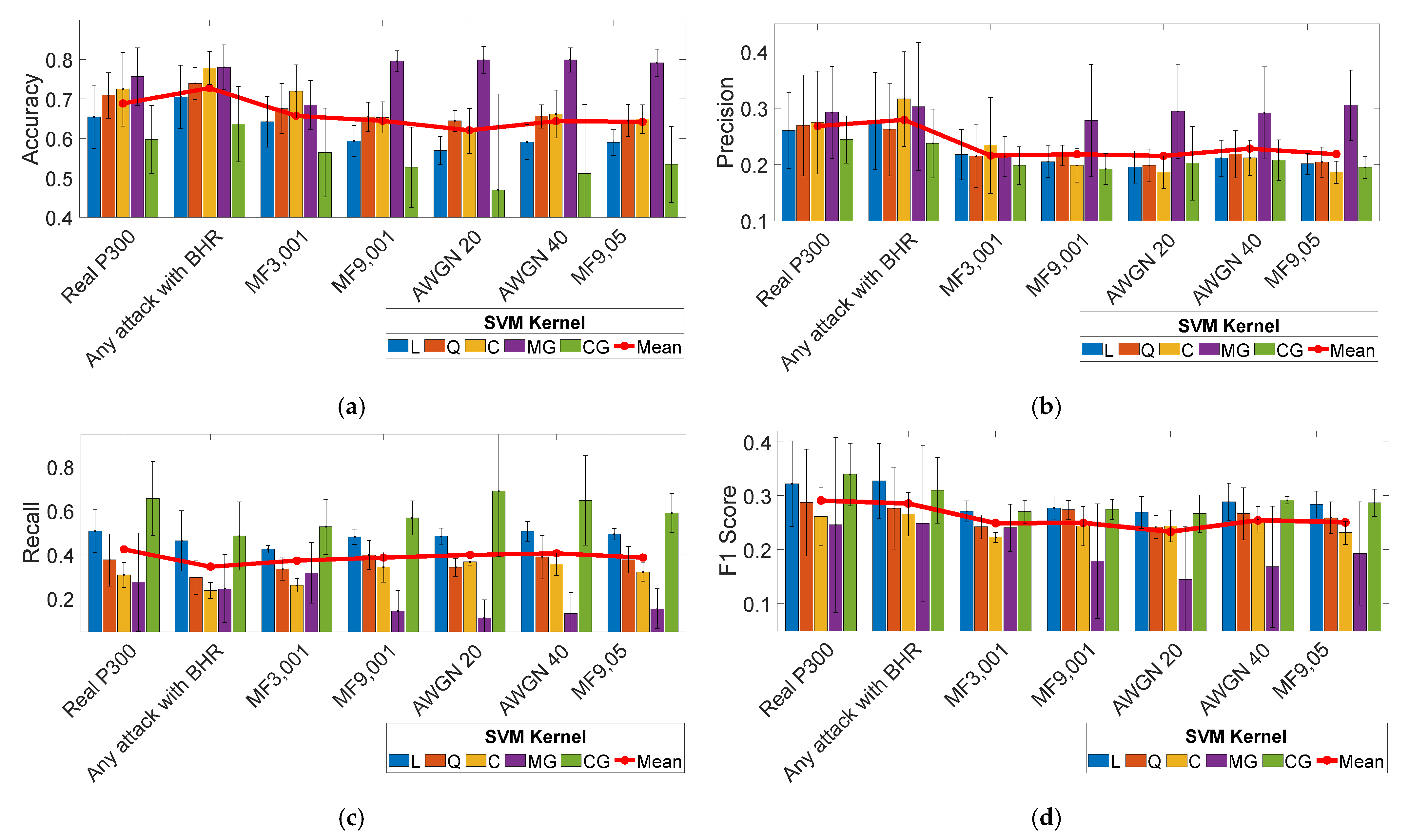
4.2. Results of the BHR Rejection Capabilities
4.3. Results of the Simulated Cyberattack with BHR
4.4. Discussion
5. Conclusions
Supplementary Materials
Author Contributions
Funding
Data Availability Statement
Conflicts of Interest
References
- De Venuto, D.; Annese, V.F.; Mezzina, G. Real-time P300-based BCI in mechatronic control by using a multi-dimensional approach. IET Softw. 2018, 12, 5. [Google Scholar] [CrossRef]
- Annese, V.F.; Mezzina, G.; De Venuto, D. Towards mobile health care: Neurocognitive impairment monitoring by BCI-based game. In Proceedings of the 2016 IEEE SENSORS, Orlando, FL, USA, 30 October–3 November 2016. [Google Scholar] [CrossRef]
- Brain Computer Interface Market Size and Industry Trends|2030. Available online: https://www.alliedmarketresearch.com/brain-computer-interfaces-market (accessed on 16 September 2021).
- Wolpaw, J.R.; McFarland, D.J.; Neat, G.W.; Forneris, C.A. An EEG-based brain-computer interface for cursor control. Electroencephalogr. Clin. Neurophysiol. 1991, 78, 252–259. [Google Scholar] [CrossRef]
- Yin, E.; Zhou, Z.; Jiang, J.; Yu, Y.; Hu, D. A dynamically optimized SSVEP brain-computer interface (BCI) speller. IEEE Trans. Biomed. Eng. 2015, 62, 1447–1456. [Google Scholar] [CrossRef]
- Navarro, J.; Reynaud, E.; Osiurak, F. Neuroergonomics of car driving: A critical meta-analysis of neuroimaging data on the human brain behind the wheel. Neurosci. Biobehav. Rev. 2018, 95, 464–479. [Google Scholar] [CrossRef]
- De Venuto, D.; Annese, V.F.; Mezzina, G.; Ruta, M.; di Sciascio, E. Brain-computer interface using P300: A gaming approach for neurocognitive impairment diagnosis. In 2016 IEEE International High Level Design Validation and Test Workshop (HLDVT); IEEE: Piscataway, NJ, USA, 2016; pp. 93–99. [Google Scholar]
- Christensen, S.M.; Holm, N.S.; Puthusserypady, S. An improved five class MI based BCI Scheme for Drone Control Using Filter Bank CSP. In Proceedings of the 7th International Winter Conference on Brain-Computer Interface, BCI 2019, Gangwon, Korea, 18–20 February 2019. [Google Scholar] [CrossRef]
- De Venuto, D.; Annese, V.F.; Mezzina, G.; Defazio, G. FPGA-Based Embedded Cyber-Physical Platform to Assess Gait and Postural Stability in Parkinson’s Disease. IEEE Trans. Compon. Packag. Manuf. Technol. 2018, 8, 1167–1179. [Google Scholar] [CrossRef]
- Pugh, J.; Pycroft, L.; Sandberg, A.; Aziz, T.; Savulescu, J. Brainjacking in deep brain stimulation and autonomy. Ethics Inf. Technol. 2018, 203, 219–232. [Google Scholar] [CrossRef]
- Hosseini, M.-P.; Pompili, D.; Elisevich, K.; Soltanian-Zadeh, H. Optimized Deep Learning for EEG Big Data and Seizure Prediction BCI via Internet of Things. IEEE Trans. Big Data 2017, 3, 392–404. [Google Scholar] [CrossRef]
- Attiah, M.A.; Farah, M.J. Minds, motherboards, and money: Futurism and realism in the neuroethics of BCI technologies. Front. Syst. Neurosci. 2014, 86. [Google Scholar] [CrossRef][Green Version]
- Fouad, I.A. A robust and reliable online P300-based BCI system using Emotiv EPOC + headset. J. Med. Eng. Technol. 2021, 45, 94–114. [Google Scholar] [CrossRef] [PubMed]
- Beltrán, E.T.M.; Pérez, M.Q.; Bernal, S.L.; Celdrán, A.H.; Pérez, G.M. Noise-based cyberattacks generating fake P300 waves in brain–computer interfaces. Clust. Comput. 2021, 1–16. [Google Scholar] [CrossRef]
- Shaukat, K.; Luo, S.; Varadharajan, V.; Hameed, I.A.; Chen, S.; Liu, D.; Li, J. Performance Comparison and Current Challenges of Using Machine Learning Techniques in Cybersecurity. Energies 2020, 13, 2509. [Google Scholar] [CrossRef]
- Bernal, S.L.; Celdrán, A.H.; Pérez, G.M.; Barros, M.T.; Balasubramaniam, S. Security in Brain-Computer Interfaces: State-of-the-Art, Opportunities, and Future Challenges. ACM Comput. Surv. 2021, 54, 11. [Google Scholar] [CrossRef]
- Escolano, C.; Antelis, J.M.; Minguez, J. A telepresence mobile robot controlled with a noninvasive brain-computer interface. IEEE Trans. Syst. Man Cybern. Part. B Cybern. 2012, 42, 793–804. [Google Scholar] [CrossRef] [PubMed]
- AIatropoulos, L.; Moysis, L.; Giakoumis, A.; Volos, C.; Ouannas, A.; Goudos, S. Medical Data Encryption based on a Modified Sinusoidal 1D Chaotic Map and Its Microcontroller Implementation. In Proceedings of the 2021 10th International Conference on Modern Circuits and Systems Technologies (MOCAST), Thessaloniki, Greece, 5–7 July 2021. [Google Scholar] [CrossRef]
- Takabi, H.; Bhalotiya, A.; Alohaly, M. Brain Computer Interface (BCI) Applications: Privacy Threats and Countermeasures. In Proceedings of the 2016 IEEE 2nd International Conference on Collaboration and Internet Computing (CIC), Pittsburgh, PA, USA, 1–3 November 2016; pp. 102–111. [Google Scholar] [CrossRef]
- Sasko, A.; Hillsgrove, T.; Gagneja, K.; Katugampola, U. System Usage Profiling Metrics for Notifications on Abnormal User Behavior. Commun. Comput. Inf. Sci. 2019, 1113, 149–160. [Google Scholar] [CrossRef]
- Gui, Q.; Yang, W.; Jin, Z.; Ruiz-Blondet, M.V.; Laszlo, S. A residual feature-based replay attack detection approach for brainprint biometric systems. In Proceedings of the 2016 8th IEEE International Workshop on Information Forensics and Security (WIFS 2016), Abu Dhabi, United Arab Emirates, 4–7 December 2016. [Google Scholar] [CrossRef]
- Belkacem, A.N. Cybersecurity Framework for P300-based Brain Computer Interface. In Proceedings of the 2020 IEEE International Conference on Systems, Man, and Cybernetics (SMC), Toronto, ON, Canada,, 11–14 October 2020; pp. 1–6. [Google Scholar] [CrossRef]
- Salhi, K.; Alimi, A.M.; Khelifa, M.M.B.; Gorce, P. Improved secure navigation of wheelchairs using multi-robot system and cloud computing technologies. In Proceedings of the 2015 11th International Conference on Information Assurance and Security (IAS), Marrakesh, Morocco, 14–16 December 2015; pp. 50–54. [Google Scholar] [CrossRef]
- Ajrawi, S.; Rao, R.; Sarkar, M. Cybersecurity in Brain-Computer Interfaces: RFID-based design-theoretical framework. Inform. Med. Unlocked 2021, 22, 100489. [Google Scholar] [CrossRef]
- Rathi, N.; Singla, R.; Tiwari, S. Authentication framework for security application developed using a pictorial P300 speller. Brain-Comput. Interfaces 2020, 7, 70–89. [Google Scholar] [CrossRef]
- Borkotoky, C.; Galgate, S.; Nimbekar, S.B. Human computer interaction: Harnessing P300 potential brain waves for authentication of individuals. In Proceedings of the 1st Bangalore Annual Compute Conference, Compute 2008, Bangalore, India, 18–20 January 2008. [Google Scholar] [CrossRef]
- Munoz, C.M.B.; Cruz, F.G.; Valero, J.S.J. Software architecture for the application of facial recognition techniques through IoT devices. In Proceedings of the 2020 Congreso Internacional de Innovación y Tendencias en Ingeniería (CONIITI), Bogotá, Colombia, 30 September–2 October 2019. [Google Scholar] [CrossRef]
- Zou, Y.; Zhu, J.; Wang, X.; Hanzo, L. A Survey on Wireless Security: Technical Challenges, Recent Advances, and Future Trends. Proc. IEEE 2016, 104, 1727–1765. [Google Scholar] [CrossRef]
- Bonaci, T.; Herron, J.; Matlack, C.; Chizeck, H.J. Securing the exocortex: A twenty-first century cybernetics challenge. In Proceedings of the IEEE Conference on Norbert Wiener in the 21st Century (21CW), Boston, MA, USA, 24–26 June 2014. [Google Scholar] [CrossRef]
- Rahman, M.L.; Bardhan, S.; Neupane, A.; Papalexakis, E.; Song, C. Learning Tensor-Based Representations from Brain-Computer Interface Data for Cybersecurity. In Joint European Conference on Machine Learning and Knowledge Discovery in Databases; Springer: Berlin/Heidelberg, Germany, 2018; pp. 389–404. [Google Scholar] [CrossRef]
- EMOTIV EPOC+ 14-Channel Wireless EEG Headset|EMOTIV. Available online: https://www.emotiv.com/epoc/ (accessed on 21 September 2021).
- Hoffmann, U.; Vesin, J.M.; Ebrahimi, T.; Diserens, K. An efficient P300-based brain–computer interface for disabled subjects. J. Neurosci. Methods 2008, 167, 115–125. [Google Scholar] [CrossRef]
- Bougrain, L.; Saavedra, C.; Ranta, R.; Bougrain, L.; Saavedra, C.; Ranta, R. Finally, What Is the Best Filter for P300 Detection? 2012. Available online: https://hal.inria.fr/hal-00756669 (accessed on 2 December 2021).
- Kaper, M.; Meinicke, P.; Grossekathoefer, U.; Lingner, T.; Ritter, H. BCI competition 2003—Data set IIb: Support vector machines for the P300 speller paradigm. IEEE Trans. Biomed. Eng. 2004, 51, 1073–1076. [Google Scholar] [CrossRef] [PubMed]
- Patrone, M.; Lecumberry, F.; Martín, Á.; Ramirez, I.; Seroussi, G. EEG Signal Pre-Processing for the P300 Speller. In Iberoamerican Congress on Pattern Recognition; Springer: Berlin/Heidelberg, Germany, 2015; pp. 559–566. [Google Scholar] [CrossRef]
- Parisot, A.; Bento, L.M.S.; Machado, R.C.S. Testing and selecting lightweight pseudo-random number generators for IoT devices. In Proceedings of the 2021 IEEE International Workshop on Metrology for Industry 4.0 & IoT (MetroInd4. 0&IoT), Rome, Italy, 7–9 June 2021; pp. 715–720. [Google Scholar] [CrossRef]
- Baldanzi, L.; Crocetti, L.; Falaschi, F.; Bertolucci, M.; Belli, J.; Fanucci, L.; Saponara, S. Cryptographically Secure Pseudo-Random Number Generator IP-Core Based on SHA2 Algorithm. Sensors 2020, 20, 1869. [Google Scholar] [CrossRef]
- De Venuto, D.; Annese, V.F.; Mezzina, G. An embedded system remotely driving mechanical devices by P300 brain activity. In Proceedings of the Design, Automation & Test in Europe Conference & Exhibition (DATE), Lausanne, Switzerland, 27–31 March 2017. [Google Scholar] [CrossRef]
- De Venuto, D.; Rabaey, J. RFID transceiver for wireless powering brain implanted microelectrodes and backscattered neural data collection. Microelectron. J. 2014, 45, 1585–1594. [Google Scholar] [CrossRef]
- De Venuto, D.; Ohletz, M.J. On-chip test for mixed-signal ASICs using two-mode comparators with bias-programmable reference voltages. J. Electron. Test. 2001, 17, 243–253. [Google Scholar] [CrossRef]







| Method | Solution | Application | Ref. |
|---|---|---|---|
| Supervision | Navigation unit (camera, laser odometry) | P300-based navigation system | [17] |
| Navigation unit (wheel encoders, proximity sensors, gyro sensor, and an RGBD sensor) | P300-driven wheelchair | [23] | |
| Authentication | RFID technology | Bidirectional BCI | [24] |
| Near-field communication | User framework | [28] | |
| Facial recognition | IoT framework | [27] | |
| Brainprint biometric authentication | P300 speller | [25] | |
| BCI framework | [26] | ||
| Encryption | BCI anonymizer | BCI Framework | [29] |
| Tensor-based data representation | EEG data | [30] | |
| Chaotic encryption | EEG data | [18] | |
| Randomization | BCI Framework | [19] | |
| Cyberattack identification software | User-specific action profile | User framework | [20] |
| User-specific EEG data | EEG data | [21] | |
| P300 BCI | [22] |
| DATASETS | |||||
| Dataset | Data Type | Method | Description | ||
| Training | Real data | EEG acquisition | 5 subjects, 1440 trials per subject | ||
| Testing | Real data | EEG acquisition | 5 subjects, 1440 trials per subject | ||
| Hacked data | EEG + AWGN 20 | 5 subjects, 1040 real trials per subject 400 fake trials per subject | |||
| EEG + AWGN 40 | |||||
| EEG + MF3,001 | |||||
| EEG + MF9,001 | |||||
| EEG + MF9,05 | |||||
| METRICS | |||||
| Parameter | Relation 1 | ||||
| Accuracy (A) | (3) | ||||
| Precision or positive predicted value (PPV) | (4) | ||||
| Recall or true positive rate (TPR) | (5) | ||||
| F1 score (F1) | (6) | ||||
| Cyberattack impact (Δ) | (7) | ||||
Publisher’s Note: MDPI stays neutral with regard to jurisdictional claims in published maps and institutional affiliations. |
© 2021 by the authors. Licensee MDPI, Basel, Switzerland. This article is an open access article distributed under the terms and conditions of the Creative Commons Attribution (CC BY) license (https://creativecommons.org/licenses/by/4.0/).
Share and Cite
Mezzina, G.; Annese, V.F.; De Venuto, D. A Cybersecure P300-Based Brain-to-Computer Interface against Noise-Based and Fake P300 Cyberattacks. Sensors 2021, 21, 8280. https://doi.org/10.3390/s21248280
Mezzina G, Annese VF, De Venuto D. A Cybersecure P300-Based Brain-to-Computer Interface against Noise-Based and Fake P300 Cyberattacks. Sensors. 2021; 21(24):8280. https://doi.org/10.3390/s21248280
Chicago/Turabian StyleMezzina, Giovanni, Valerio F. Annese, and Daniela De Venuto. 2021. "A Cybersecure P300-Based Brain-to-Computer Interface against Noise-Based and Fake P300 Cyberattacks" Sensors 21, no. 24: 8280. https://doi.org/10.3390/s21248280
APA StyleMezzina, G., Annese, V. F., & De Venuto, D. (2021). A Cybersecure P300-Based Brain-to-Computer Interface against Noise-Based and Fake P300 Cyberattacks. Sensors, 21(24), 8280. https://doi.org/10.3390/s21248280
