HeadUp: A Low-Cost Solution for Tracking Head Movement of Children with Cerebral Palsy Using IMU
Abstract
1. Introduction
2. Related Work
- These devices were heavy (220 g without the helmet), and some of the children experienced difficulty raising their head while wearing the apparatus compared with those without wearing the device.
- Cables must connect these devices to a control unit, increasing the size of the overall system.
- These devices did not provide any information about head movement in 3 dimensions.
- The presence of a physiotherapist is mandatory during the experiments.
- Difficulty in reliable device positioning occurred because of the working principle of mercury tilt switching.
- A deviation angle threshold for each child had to be established and applied every time the device was used.
3. Methodology
3.1. HeadUp System Design
- Flexion (F)
- Extension (E)
- Right Lateral Flexion (RLF)
- Left Lateral Flexion (LLF)
- Right Rotation (RR)
- Left Rotation (LR)
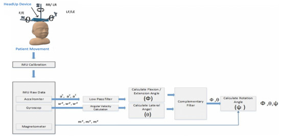
3.2. Data Acquisition and Sensor Fusion Algorithm
3.2.1. Data Acquisition
3.2.2. Sensor Fusion Algorithm
| Algorithm 1: Sensor Fusion Procedure |
![]() |
- Calibration step for all the sensors’ readings (Acc, Gyro, and Mag) to ensure that all the measurements are close to zero when the system is at rest;
- Butterworth low pass filter for the Acc readings to get rid of high-frequency additive noise;
- To get faster response time and noise-free measurements, a complementary filter was used;
- Finally, the magnetometer was used along with Acc and gyro to acquire the head rotation.
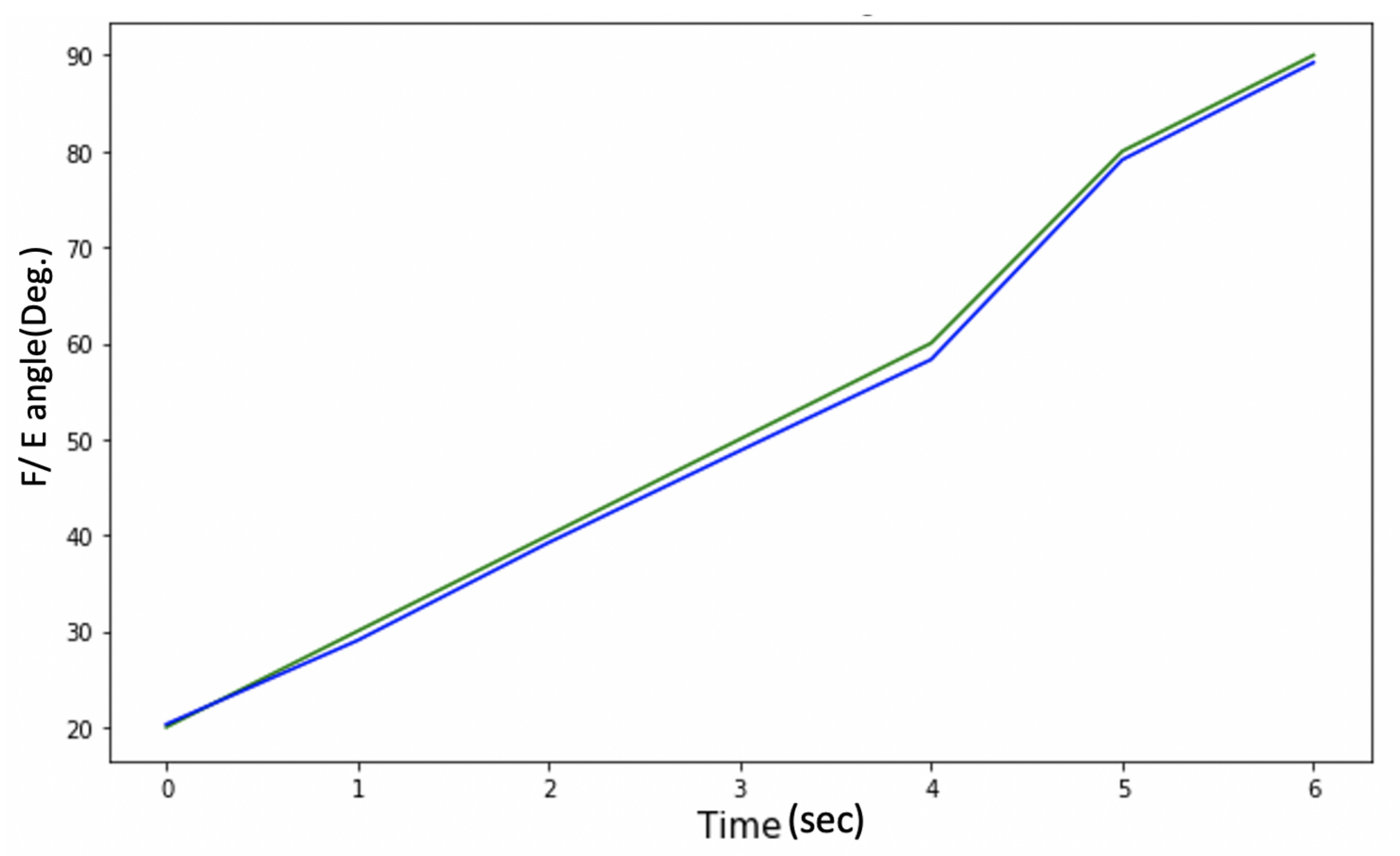
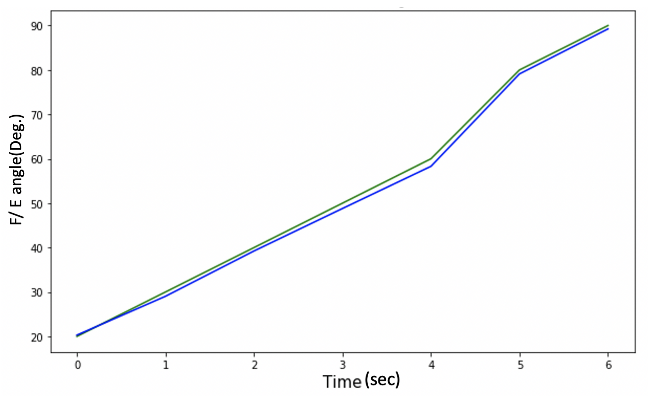
3.3. System Validation
4. System Implementation
4.1. Subjects’ Selection
4.2. Measurements
- Case 1: sit still without any movement (Natural).
- Case 2: dorsal extension and ventral flexion.
- Case 3: right lateral flexion and left lateral flexion.
- Case 4: right rotation and left rotation.
5. Result
6. Discussion
- All participants with CP have a poor head control ability.
- The head of subject 4 collapsed consistently to the right side, while the head of subject 5 collapsed consistently to the left side, which mean the muscles in these sides are weak(this can be seen from RLF/LLF angles).
- Subject 3 has better HCA than other participants with CP.
7. Conclusions
- Validates the HeadUp system’s results against a more reliable tool in three planes with both devices on the child’s head.
- Investigates different filtering algorithms, such as the Kalman filter
- Use the HeadUp device in an entertaining way as a HCA trainer and examine its performance to improve the child’s head stability.
- Constructed a standalone HCA diagnosis device with the help of machine learning algorithms to distinguish head movement disorder from the typical head movement patterns pattern.
Author Contributions
Funding
Institutional Review Board Statement
Informed Consent Statement
Data Availability Statement
Acknowledgments
Conflicts of Interest
Abbreviations
| CP | Cerebral palsy |
| CROM | cervical range of motion |
| IMU | inertial measurement unit |
| SFA | sensor fusion algorithm |
| GMFCS | Gross Motor Function Classification System |
| HCD | head control device |
| HPT | head position trainer |
| F | Flexion |
| E | Extension |
| RLF | Right Lateral Flexion |
| LLF | Left Lateral Flexion |
| RR | Right Rotation |
| LR | Left Rotation |
| Acc | accelerometer |
| Gyro | gyroscope |
| LPF | low pass filter |
| HCA | head control ability |
| ROM | range of motion |
References
- Bax, M. Terminology and classification of cerebral palsy. Dev. Med. Child Neurol. 1964, 6, 295–297. [Google Scholar] [CrossRef]
- Bax, M.; Goldstein, M.; Rosenbaum, P.; Leviton, A.; Paneth, N.; Dan, B.; Jacobsson, B.; Damiano, D. Proposed definition and classification of cerebral palsy, April 2005. Dev. Med. Child Neurol. 2005, 47, 571–576. [Google Scholar] [CrossRef] [PubMed]
- Kirby, R.; Wingate, M.; Braun, K.; Doernberg, N.; Arneson, C.; Benedict, R.; Mulvihill, B.; Durkin, M.; Fitzgerald, R.; Maenner, M. Others Prevalence and functioning of children with cerebral palsy in four areas of the United States in 2006: A report from the Autism and Developmental Disabilities Monitoring Network. Res. Dev. Disabil. 2011, 32, 462–469. [Google Scholar] [CrossRef]
- Krigger, K. Cerebral palsy: An overview. Am. Fam. Phy. 2006, 73, 91–100. [Google Scholar]
- Berker, A.; Yalçin, M. Cerebral palsy: Orthopedic aspects and rehabilitation. Pediatr. Clin. N. Am. 2008, 55, 1209–1225. [Google Scholar] [CrossRef] [PubMed]
- Palisano, R.; Rosenbaum, P.; Bartlett, D.; Livingston, M. Content validity of the expanded and revised Gross Motor Function Classification System. Dev. Med. Child Neurol. 2008, 50, 744–750. [Google Scholar] [CrossRef]
- Harris, F.; Spelman, F.; Hymer, J. Electronic sensory aids as treatment for cerebral-palsied children: Inapproprioception: Part II. Phys. Ther. 1974, 54, 354–365. [Google Scholar] [CrossRef] [PubMed]
- Redstone, F.; West, J. The importance of postural control for feeding. Pediatr. Nurs. 2004, 30, 97–100. [Google Scholar]
- Curtis, D.; Butler, P.; Saavedra, S.; Bencke, J.; Kallemose, T.; Sonne-Holm, S.; Woollacott, M. The central role of trunk control in the gross motor function of children with cerebral palsy: A retrospective cross-sectional study. Dev. Med. Child Neurol. 2015, 57, 351–357. [Google Scholar] [CrossRef]
- Kramer, J.; Ashton, B.; Brander, R. Training of head control in the sitting and semi-prone positions. Child Care Health Dev. 1992, 18, 365–376. [Google Scholar] [CrossRef] [PubMed]
- Ian, L.; Paul, H.; John, D.; Penelope, B. Others Quantification of head motion in children with cerebral palsy when testing segmental trunk control. In Proceedings of the 2018 IX International Seminar Of Biomedical Engineering (SIB), Bogota, Colombia, 16–18 May 2018; pp. 1–4. [Google Scholar]
- Wong, W.; Wong, M.; Lo, K. Clinical applications of sensors for human posture and movement analysis: A review. Prosthet. Orthot. Int. 2007, 31, 62–75. [Google Scholar] [CrossRef] [PubMed]
- Heyrman, L.; Molenaers, G.; Desloovere, K.; Verheyden, G.; De Cat, J.; Monbaliu, E.; Feys, H. A clinical tool to measure trunk control in children with cerebral palsy: The Trunk Control Measurement Scale. Res. Dev. Disabil. 2011, 32, 2624–2635. [Google Scholar] [CrossRef] [PubMed]
- Fedorak, C.; Ashworth, N.; Marshall, J.; Paull, H. Reliability of the visual assessment of cervical and lumbar lordosis: How good are we? Spine 2003, 28, 1857–1859. [Google Scholar] [CrossRef]
- Krosshaug, T.; Nakamae, A.; Boden, B.; Engebretsen, L.; Smith, G.; Slauterbeck, J.; Hewett, T.; Bahr, R. Estimating 3D joint kinematics from video sequences of running and cutting maneuvers—Assessing the accuracy of simple visual inspection. Gait Posture 2007, 26, 378–385. [Google Scholar] [CrossRef] [PubMed]
- Abyarjoo, F.; Barreto, A.; Cofino, J.; Ortega, F. Implementing a sensor fusion algorithm for 3D orientation detection with inertial/magnetic sensors. In Innovations And Advances In Computing, Informatics, Systems Sciences, Networking And Engineering; Springer: Cham, Switzerland, 2015; pp. 305–310. [Google Scholar]
- Sharif Bidabadi, S.; Murray, I.; Lee, G. The application of inertial measurements unit for the clinical evaluation and assessment of gait events. J. Med. Eng. Technol. 2017, 41, 612–622. [Google Scholar] [CrossRef] [PubMed]
- Chandrasiri, R.; Abhayasinghe, N.; Murray, I. Bluetooth embedded inertial measurement unit for real-time data collection for gait analysis. In Proceedings of the International Conference On Indoor Positioning And Indoor Navigation, Montbeliard, France, 28–32 October 2013. [Google Scholar]
- Petraglia, F.; Scarcella, L.; Pedrazzi, G.; Brancato, L.; Puers, R.; Costantino, C. Inertial sensors versus standard systems in gait analysis: A systematic review and meta-analysis. Eur. J. Phys. Rehabil. Med. 2019, 55, 265–280. [Google Scholar] [CrossRef] [PubMed]
- Xu, W.; Ortega-Sanchez, C.; Murray, I. Measuring human joint movement with IMUs: Implementation in custom-made low cost wireless sensors. In Proceedings of the 2017 IEEE 15th Student Conference on Research And Development (SCOReD), Wilayah Persekutuan Putrajaya, Malaysia, 13–14 December 2017; pp. 172–177. [Google Scholar]
- Rodríguez-Martín, D.; Pérez-López, C.; Samà, A.; Català, A.; Moreno Arostegui, J.; Cabestany, J.; Mestre, B.; Alcaine, S.; Prats, A.; Crespo, C. Others A waist-worn inertial measurement unit for long-term monitoring of Parkinsons disease patients. Sensors 2017, 17, 827. [Google Scholar] [CrossRef]
- OReilly, M.; Caulfield, B.; Ward, T.; Johnston, W.; Doherty, C. Wearable inertial sensor systems for lower limb exercise detection and evaluation: A systematic review. Sport. Med. 2018, 48, 1221–1246. [Google Scholar] [CrossRef]
- Velasco, M.; Raya, R.; Muzzioli, L.; Morelli, D.; Otero, A.; Iosa, M.; Cincotti, F.; Rocon, E. Evaluation of cervical posture improvement of children with cerebral palsy after physical therapy based on head movements and serious games. Biomed. Eng. Online 2017, 16, 1–13. [Google Scholar] [CrossRef] [PubMed]
- Carmona-Pérez, C.; Pérez-Ruiz, A.; Garrido-Castro, J.; Vidal, F.; Alcaraz-Clariana, S.; García-Luque, L.; Souza, D. Alburquerque-Sendín, F. Design, Validity, and Reliability of a New Test, Based on an Inertial Measurement Unit System, for Measuring Cervical Posture and Motor Control in Children with Cerebral Palsy. Diagnostics 2020, 10, 661. [Google Scholar] [CrossRef]
- Carmona-Pérez, C.; Garrido-Castro, J.; Torres Vidal, F.; Alcaraz-Clariana, S.; García-Luque, L.; Alburquerque-Sendxixn, F.; Souza, D. Concurrent validity and reliability of an inertial measurement unit for the assessment of craniocervical range of motion in subjects with cerebral palsy. Diagnostics 2020, 10, 80. [Google Scholar] [CrossRef] [PubMed]
- Whitcroft, K.; Massouh, L.; Amirfeyz, R.; Bannister, G. Comparison of methods of measuring active cervical range of motion. Spine 2010, 35, E976–E980. [Google Scholar] [CrossRef]
- Defibaugh, J. Measurement of Head Motion: Part I: A Review of Methods of Measuring Joint Motion. Phys. Ther. 1964, 44, 157–163. [Google Scholar] [CrossRef][Green Version]
- Voss, S.; Page, M.; Benger, J. Methods for evaluating cervical range of motion in trauma settings. Scand. J. Trauma Resusc. Emerg. Med. 2012, 20, 50. [Google Scholar] [CrossRef]
- Werner, I.; Ernst, M.; Treleaven, J.; Crawford, R. Intra and interrater reliability and clinical feasibility of a simple measure of cervical movement sense in patients with neck pain. BMC Musculoskelet. Disord. 2018, 19, 358. [Google Scholar] [CrossRef]
- Yoon, T.; Kim, H.; Min, J. Validity and Reliability of an Inertial Measurement Unit—Based 3-Dimensional Angular Measurement of Cervical Range of Motion. J. Manip. Physiol. Ther. 2019, 42, 75–81. [Google Scholar] [CrossRef] [PubMed]
- Feng, M.; Liang, L.; Sun, W.; Liu, G.; Yin, X.; Han, T.; Wei, X.; Zhu, L. Measurements of cervical range of motion using an optical motion capture system: Repeatability and validity. Exp. Ther. Med. 2019, 18, 4193–4202. [Google Scholar] [CrossRef]
- Lecoublet, B.; Boisclair, D.; Evin, M.; Wagnac, E.; Petit, Y.; Aubin, C.; Arnoux, P. Assessing the global range of motion of the helmeted head through rotational and translational measurements. Int. J. Crashworthiness 2019, 25, 321–327. [Google Scholar] [CrossRef]
- Cuesta-Vargas, A.; Galán-Mercant, A.; Williams, J. The use of inertial sensors system for human motion analysis. Phys. Ther. Rev. 2010, 15, 462–473. [Google Scholar] [CrossRef]
- Abhayasinghe, N.; Murray, I.; Sharif Bidabadi, S., S. Validation of Thigh Angle Estimation Using Inertial Measurement Unit Data against Optical Motion Capture Systems. Sensors 2019, 19, 596. [Google Scholar] [CrossRef]
- Han, Y.; Wong, K.; Murray, I. Gait Phase Detection for Normal and Abnormal Gaits Using IMU. IEEE Sens. J. 2019, 19, 3439–3448. [Google Scholar] [CrossRef]
- Rudigkeit, N.; Gebhard, M.; Gräser, A. Evaluation of control modes for head motion-based control with motion sensors. In Proceedings of the 2015 IEEE International Symposium on Medical Measurements And Applications (MeMeA) Proceedings, Turin, Italy, 7–9 May 2015; pp. 135–140. [Google Scholar]
- Velasco, M.; Raya, R.; Muzzioli, L.; Morelli, D.; Iosa, M.; Cincotti, F.; Rocon, E. Evaluation of cervical posture improvement of children with cerebral palsy after physical therapy with a HCI based on head movements and serious videogames. In International Conference On Bioinformatics And Biomedical Engineering; Springer: Cham, Switzerland, 2016; pp. 495–504. [Google Scholar]
- Cunningham, R.; Sánchez, M.; Butler, P.; Southgate, M.; Loram, I. Fully automated image-based estimation of postural point-features in children with cerebral palsy using deep learning. R. Soc. Open Sci. 2019, 6, 191011. [Google Scholar] [CrossRef]
- Ball, T.; Crady, R.; Hart, A. Automated reinforcement of head posture in two cerebral palsied retarded children. Percept. Mot. Skills 1975, 40, 619–622. [Google Scholar] [CrossRef]
- Wooldridge, C.; Russell, G. Head position training with the cerebral palsied child: An application of biofeedback techniques. Arch. Phys. Med. Rehabil. 1976, 57, 407–414. [Google Scholar] [PubMed]
- Walmsley, R.; Crichton, L.; Droog, D. Music as a feedback mechanism for teaching head control to severely handicapped children: A pilot study. Dev. Med. Child Neurol. 1981, 23, 739–746. [Google Scholar] [CrossRef] [PubMed]
- Leiper, C.; Miller, A.; Lang, J.; Herman, R. Sensory feedback for head control in cerebral palsy. Phys. Ther. 1981, 61, 512–518. [Google Scholar] [CrossRef] [PubMed]
- Malouin, F.; Gemmell, M.; Parrot, A.; Dutil, R. Effects of auditory feedback on head position training in young children with cerebral palsy: A pilot study. Physiother. Can. 1985, 37, 150–156. [Google Scholar]
- Ashton, B.; Kramer, J.; Heaver, A. Head position trainer application for research and clinical use. Phys. Ther. 1986, 66, 1228–1232. [Google Scholar] [CrossRef]
- Tousignant, M.; Smeesters, C.; Breton, A.; Breton, É.; Corriveau, H. Criterion validity study of the cervical range of motion (CROM) device for rotational range of motion on healthy adults. J. Orthop. Sport. Phys. Ther. 2006, 36, 242–248. [Google Scholar] [CrossRef] [PubMed]
- Islam, T.; Islam, M.; Shajid-Ul-Mahmud, M.; Hossam-E-Haider, M. Comparison of complementary and Kalman filter based data fusion for attitude heading reference system. AIP Conf. Proc. 2017, 1919, 020002. [Google Scholar]
- Yan, W.; Zhang, Q.; Wang, L.; Mao, Y.; Wang, A.; Zhao, C. A modified kalman filter for integrating the different rate data of gyros and accelerometers retrieved from android smartphones in the GNSS/IMU coupled navigation. Sensors. 2020, 20, 5208. [Google Scholar] [CrossRef]
- Mahmooda, D.; Javaida, N.; Imranb, M.; Qasimc, U.; Khand, Z. Data Fusion for Orientation Sensing in Wireless Body Area Sensor Networks using Smart Phones. Sensors 2015, 15, 14458–14486. [Google Scholar]
- Chaves, T.; Nagamine, H.; Belli, J.; De Hannai, M.; Bevilaqua-Grossi, D.; De Oliveira, A. Reliability of fleximetry and goniometry for assessing cervical range of motion among children. Braz. J. Phys. Ther. 2008, 12, 283–289. [Google Scholar] [CrossRef]
- Wood, E. The child with cerebral palsy: Diagnosis and beyond. Semin. Pediatr. Neurol. 2006, 13, 286–296. [Google Scholar] [CrossRef]
- Rudigkeit, N.; Gebhard, M.; Graser, A. An analytical approach for head gesture recognition with motion sensors. In Proceedings of the 2015 9th International Conference On Sensing Technology (ICST), Auckland, New Zealand, 8–10 December 2015; pp. 1–6. [Google Scholar]
- MacNeilage, P.; Glasauer, S. Quantification of head movement predictability and implications for suppression of vestibular input during locomotion. Front. Comput. Neurosci. 2017, 11, 47. [Google Scholar] [CrossRef]
- Severin, I.; Dobrea, D.; Dobrea, M. Head Gesture Recognition using a 6DOF Inertial IMU. Int. J. Comput. Commun. Control 2020, 15, 3–6. [Google Scholar] [CrossRef]
- Tecklin, J. Pediatric Physical Therapy; Lippincott Williams & Wilkins: Philadelphia, PA, USA, 2008. [Google Scholar]
- Aneja, S. Evaluation of a child with cerebral palsy. Indian J. Pediatr. 2004, 71, 627–634. [Google Scholar] [CrossRef]

















| No. | Name | Age | Sex | CP Level | Test Condition | Notes |
|---|---|---|---|---|---|---|
| 1 | IM | 3.5 | M | V | sitting | full term baby, mild squint, Mixed Cp |
| 2 | AH | 5 | M | V | sitting | full term baby, sever squint |
| 3 | MA | 2 | M | IV | sitting | full term baby, No squint |
| 4 | FH | 5 | F | V | sitting | full term baby, mild squint |
| 5 | HJ | 3.5 | M | IV | sitting | neglected baby |
| Movements | Typically Developing Children | Children with CP |
|---|---|---|
| F | 60.3 ± 13.30 | 55.4 ± 10.11 |
| E | 30.38 ± 9.10 | 25.22 ± 10.40 |
| RLF | 35.7 ± 6.98 | 32.1 ± 7.75 |
| LLF | 35.30 ± 8.30 | 33.81 ± 9.82 |
| LR | 80.04 ± 8.03 | 60.96 ± 10.23 |
| RR | 78.81 ± 10.86 | 66.03 ± 9.27 |
Publisher’s Note: MDPI stays neutral with regard to jurisdictional claims in published maps and institutional affiliations. |
© 2021 by the authors. Licensee MDPI, Basel, Switzerland. This article is an open access article distributed under the terms and conditions of the Creative Commons Attribution (CC BY) license (https://creativecommons.org/licenses/by/4.0/).
Share and Cite
Al-azzawi, S.S.; Khaksar, S.; Hadi, E.K.; Agrawal, H.; Murray, I. HeadUp: A Low-Cost Solution for Tracking Head Movement of Children with Cerebral Palsy Using IMU. Sensors 2021, 21, 8148. https://doi.org/10.3390/s21238148
Al-azzawi SS, Khaksar S, Hadi EK, Agrawal H, Murray I. HeadUp: A Low-Cost Solution for Tracking Head Movement of Children with Cerebral Palsy Using IMU. Sensors. 2021; 21(23):8148. https://doi.org/10.3390/s21238148
Chicago/Turabian StyleAl-azzawi, Sana Sabah, Siavash Khaksar, Emad Khdhair Hadi, Himanshu Agrawal, and Iain Murray. 2021. "HeadUp: A Low-Cost Solution for Tracking Head Movement of Children with Cerebral Palsy Using IMU" Sensors 21, no. 23: 8148. https://doi.org/10.3390/s21238148
APA StyleAl-azzawi, S. S., Khaksar, S., Hadi, E. K., Agrawal, H., & Murray, I. (2021). HeadUp: A Low-Cost Solution for Tracking Head Movement of Children with Cerebral Palsy Using IMU. Sensors, 21(23), 8148. https://doi.org/10.3390/s21238148


