Design and Manufacturing Optoelectronic Sensors for the Measurement of Refractive Index Changes under Unknown Polarization State
Abstract
1. Introduction
2. Materials, Instruments and Methods
2.1. Principle of FBG and TFBG Sensing Mechanism
2.2. Sensor Fabrication Method
3. Results and Discussion
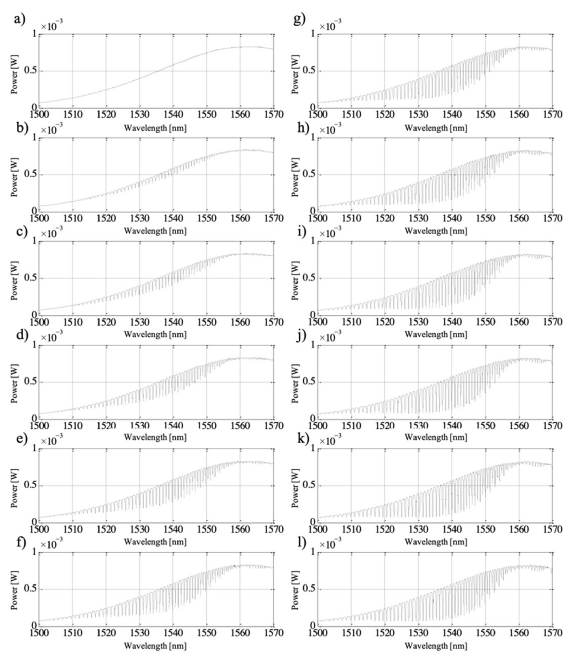
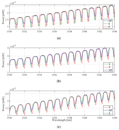
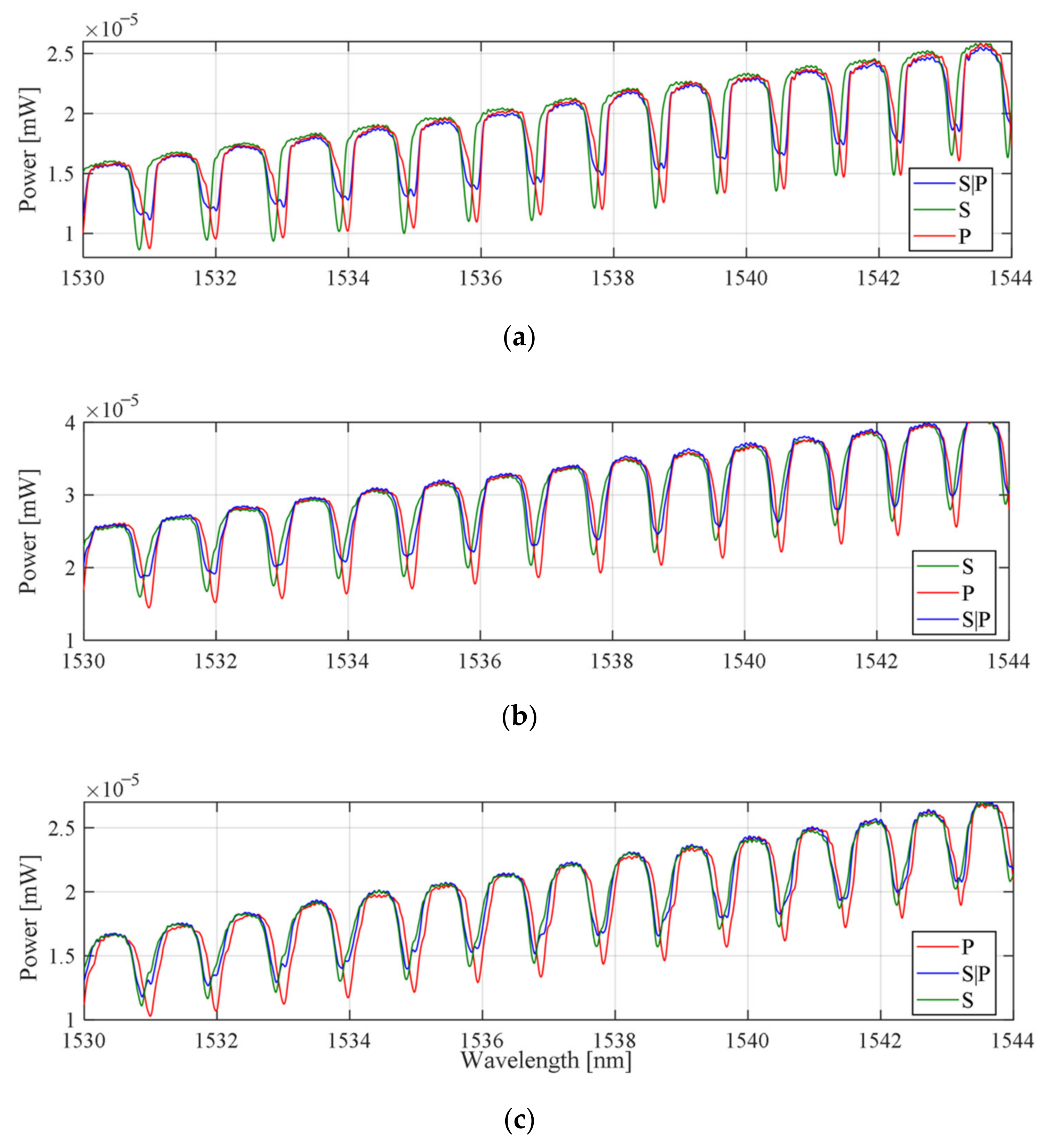
3.1. Polarization Insensibilization Results
3.2. Mode Preselection
3.3. Refractive Index of Glucose Solution Measurements
4. Future Works
5. Conclusions
Author Contributions
Funding
Institutional Review Board Statement
Informed Consent Statement
Data Availability Statement
Conflicts of Interest
References
- Mroczka, J.; Świrniak, G. Approximate solution for optical measurement of the diameter and refractive index of a small and transparent fiber. J. Opt. Soc. Am. A Opt. Image Sci. Vis. 2016, 33, 667–676. [Google Scholar]
- Li, Z.; Hirst, J.D. Computed optical spectra of SARS-CoV-2 proteins. Chem. Phys. Lett. 2020, 758, 137935. [Google Scholar] [CrossRef]
- Mroczka, J.; Wysoczański, D. Plane-wave and Gaussian-beam scattering on an infinite cylinder. Opt. Eng. 2000, 39, 763–770. [Google Scholar] [CrossRef]
- Onofri, F.R.A.; Krzysiek, M.A.; Barbosa, S.; Messager, V.; Ren, K.-F.; Mroczka, J. Near-critical-angle scattering for the characterization of clouds of bubbles: Particular effect. Appl. Opt. 2011, 50, 5759–5769. [Google Scholar] [CrossRef] [PubMed]
- Onofri, F.; Krzysiek, M.; Mroczka, J. Critical angle refractometry and sizing of bubble clouds. Opt. Lett. 2007, 32, 2070–2072. [Google Scholar] [CrossRef] [PubMed]
- Hawkes, P. Future directions in high-resolution electron microscopy: Novel optical components and techniques. Comptes Rendus Phys. 2014, 15, 110–118. [Google Scholar] [CrossRef]
- Zinzula, L.; Basquin, J.; Bohn, S.; Beck, F.; Klumpe, S.; Pfeifer, G.; Nagy, I.; Bracher, A.; Hartl, F.U.; Baumeister, W. High-resolution structure and biophysical characterization of the nucleocapsid phosphoprotein dimerization domain from the Covid-19 severe acute respiratory syndrome coronavirus 2. Biochem. Biophys. Res. Commun. 2021, 538, 54–62. [Google Scholar] [CrossRef] [PubMed]
- Manuylovich, E.; Tomyshev, K.; Butov, O.V. Method for Determining the Plasmon Resonance Wavelength in Fiber Sensors Based on Tilted Fiber Bragg Gratings. Sensors 2019, 19, 4245. [Google Scholar] [CrossRef] [PubMed]
- Ye, M.; Luo, G.; Ye, D.; She, M.; Sun, N.; Lu, Y.-J.; Zheng, J. Network pharmacology, molecular docking integrated surface plasmon resonance technology reveals the mechanism of Toujie Quwen Granules against coronavirus disease 2019 pneumonia. Phytomedicine 2021, 85, 153401. [Google Scholar] [CrossRef]
- Zhou, Z.; Yang, Z.; Ou, J.; Zhang, H.; Zhang, Q.; Dong, M.; Zhang, G. Temperature dependence of the SARS-CoV-2 affinity to human ACE2 determines COVID-19 progression and clinical outcome. Comput. Struct. Biotechnol. J. 2021, 19, 161–167. [Google Scholar] [CrossRef]
- Sahin, I. Cholecalciferol has strong effect on the order and dynamics of DPPC membranes: A combined Fourier transform infrared spectroscopy and differential scanning calorimetry study. Vib. Spectrosc. 2021, 113, 103207. [Google Scholar] [CrossRef]
- Rad, A.S.; Ardjmand, M.; Esfahani, M.R.; Khodashenas, B. DFT calculations towards the geometry optimization, electronic structure, infrared spectroscopy and UV–vis analyses of Favipiravir adsorption on the first-row transition metals doped fullerenes; a new strategy for COVID-19 therapy. Spectrochim. Acta Part A Mol. Biomol. Spectrosc. 2021, 247, 119082. [Google Scholar] [CrossRef] [PubMed]
- Lukose, J.; Chidangil, S.; George, S.D. Optical technologies for the detection of viruses like COVID-19: Progress and prospects. Biosens. Bioelectron. 2021, 178, 113004. [Google Scholar] [CrossRef]
- Sengupta, J.; Hussain, C.M. Graphene-based field-effect transistor biosensors for the rapid detection and analysis of viruses: A perspective in view of COVID-19. Carbon Trends 2021, 2, 100011. [Google Scholar] [CrossRef]
- Sheikhzadeh, E.; Eissa, S.; Ismail, A.; Zourob, M. Diagnostic techniques for COVID-19 and new developments. Talanta 2020, 220, 121392. [Google Scholar] [CrossRef] [PubMed]
- Yang, S.; Chu, M.; Du, J.; Li, Y.; Gai, T.; Tan, X.; Xia, B.; Wang, S. Graphene quantum dot electrochemiluminescence increase by bio-generated H2O2 and its application in direct biosensing. R. Soc. Open Sci. 2020, 7, 191404. [Google Scholar] [CrossRef] [PubMed]
- Jadhav, S.A.; Biji, P.; Panthalingal, M.K.; Krishna, C.M.; Rajkumar, S.; Joshi, D.S.; Sundaram, N. Development of integrated microfluidic platform coupled with Surface-enhanced Raman Spectroscopy for diagnosis of COVID-19. Med. Hypotheses 2021, 146, 110356. [Google Scholar] [CrossRef] [PubMed]
- Mary, S.J.J.; Siddique, M.U.M.; Pradhan, S.; Jayaprakash, V.; James, C. Quantum chemical insight into molecular structure, NBO analysis of the hydrogen-bonded interactions, spectroscopic (FT–IR, FT–Raman), drug likeness and molecular docking of the novel anti COVID-19 molecule 2-[(4,6-diaminopyrimidin-2-yl)sulfanyl]-N-(4-fluorophenyl)acetamide—dimer. Spectrochim. Acta Part A Mol. Biomol. 2021, 244, 118825. [Google Scholar]
- Chen, Y.-T.; Liao, Y.-Y.; Chen, C.-C.; Hsiao, H.H.; Huang, J.J. Surface plasmons coupled two-dimensional photonic crystal biosensors for Epstein-Barr virus protein detection. Sens. Actuators B Chem. 2019, 291, 81–88. [Google Scholar] [CrossRef]
- Lo Presti, D.; Massaroni, C.; Jorge Leitao, C.S.; Domingues, M.F.; Sypabekova, M.; Barrera, D.; Floris, I.; Massari, L.; Oddo, C.M.; Sales, S.; et al. Fiber Bragg Gratings for Medical Applications and Future Challenges: A Review. IEEE Access 2020, 8, 156863–156888. [Google Scholar] [CrossRef]
- Samavati, A.; Samavati, Z.; Velashjerdi, M.; Ismail, A.F.; Othman, M.H.D.; Eisaabadi, G.; Abdullah, M.S.; Bolurian, M.; Bolurian, M. Sustainable and fast saliva-based COVID-19 virus diagnosis kit using a novel GO-decorated Au/FBG sensor. Chem. Eng. J. 2021, 420, 127655. [Google Scholar] [CrossRef]
- Esposito, F.; Sansone, L.; Srivastava, A.; Baldini, F.; Campopiano, S.; Chiavaioli, F.; Giordano, M.; Giannetti, A.; Iadicicco, A. Fiber optic biosensor for inflammatory markers based on long period grating. IEEE Sens. J. 2020, 20212191. [Google Scholar] [CrossRef]
- Udos, W.; Ooi, C.W.; Tan, S.H.; Lim, K.S.; Ee, Y.J.; Ong, K.C.; Ahmad, H. Label-free surface-plasmon resonance fiber grating biosensor for Hand-foot-mouth disease (EV-A71) detection. Optik 2021, 228, 166221. [Google Scholar] [CrossRef]
- Lepinay, S.; Ianoul, A.; Albert, J. Molecular imprinted polymer-coated opticalfiber sensor for theidentification of low molecular weight molecules. Talanta 2014, 128, 401–407. [Google Scholar] [CrossRef]
- Lepinay, S.; Staff, A.; Ianoul, A.; Albert, J. Improved detection limits of protein opticalfiber biosensors coatedwith gold nanoparticles. Biosens. Bioelectron. 2014, 52, 337–344. [Google Scholar] [CrossRef] [PubMed]
- Tosi, D.; Shaimerdenova, M.; Bekmurzayeva, A.; Sypabekova, M. Demodulation of tilted fiber Bragg grating refractive index sensors with KLT. In Proceedings of the 2017 IEEE Sensors, Glasgow, UK, 29 October–1 November 2017; pp. 1–3. [Google Scholar]
- Dai, R.; Zhang, L.; Liu, Y.; Zhou, Y. Twist characteristics of the helical long-period fiber gratings written in the polarization maintaining fiber. In Proceedings of the 2017 16th International Conference on Optical Communications and Networks (ICOCN), Wuzhen, China, 7–10 August 2017; pp. 1–3. [Google Scholar]
- Jiang, C.; Liu, Y.; Zhao, Y.; Zhang, L.; Mou, C.; Wang, T. Helical Long-period Fiber Grating Written in Polarization-maintaining Fiber by CO2-laser. In Proceedings of the 2018 Conference on Lasers and Electro-Optics (CLEO), San Jose, CA, USA, 13–18 May 2018; pp. 1–2. [Google Scholar]
- Chryssis, A.N.; Saini, S.S.; Lee, S.M.; Yi, H.; Bentley, W.E.; Dagenais, M. Detecting Hybridization of DNA by Highly Sensitive Evanescent Field Etched Core Fiber Bragg Grating Sensors. IEEE J. Sel. Top. Quantum Electron. 2005, 11, 864–872. [Google Scholar] [CrossRef]
- Rahimi, S.; Ban, D.; Xiao, G.; Zhang, Z.; Albert, J. Temperature and Strain Sensors Based on Integration of Tilted Fiber Bragg Gratings with a Free Spectral Range Matched Interrogation System. IEEE Sens. J. 2009, 9, 858–861. [Google Scholar] [CrossRef]
- Jiang, Q.; Hu, D. Microdisplacement Sensor Based on Tilted Fiber Bragg Grating Transversal Load Effect. IEEE Sens. J. 2011, 11, 1776–1779. [Google Scholar] [CrossRef]
- Bekmurzayeva, A.; Shaimerdenova, M.; Abukhanov, Y.; Sypabekova, M.; Tosi, D. Detection of Tilted Fiber Bragg Grating Fiber-Optic Sensors with Short-Term KLT: Towards Low-Cost Biosensors. In Proceedings of the 2018 IEEE Sensors, New Delhi, India, 28–31 October 2018; pp. 1–4. [Google Scholar]
- Márquez-Cruz, V.; Albert, J. High Resolution NIR TFBG-Assisted Biochemical Sensors. J. Lightwave Technol. 2015, 33, 3363–3373. [Google Scholar] [CrossRef]
- Caucheteur, C.; Malachovska, V.; Ribaut, C.; Wattiez, R. Cell sensing with near-infrared plasmonic optical fiber sensors. Opt. Laser Technol. 2016, 78A, 116–121. [Google Scholar] [CrossRef]
- Ribaut, C.; Loyez, M.; Larrieu, J.-C.; Chevineau, S.; Lambert, P.; Remmelink, M.; Wattiez, R.; Caucheteur, C. Cancer biomarker sensing using packaged plasmonic optical fiber gratings: Towards in vivo diagnosis. Biosens. Bioelectron. 2017, 92, 449–456. [Google Scholar] [CrossRef] [PubMed]
- Bueno, A.; Debliquy, M.; Lahem, D.; Van Baekel, A.; Mégret, P.; Caucheteur, C. NO2 optical fiber sensor based on TFBG coated with LuPc2. In Proceedings of the Sensors, 2014 IEEE, Valencia, Spain, 2–5 November 2014; pp. 1073–1076. [Google Scholar]
- Liang, P.; Jiang, Q.; Zhang, T. Researches and experiments on reflective TFBG—SPR biosensor. In Proceedings of the 2017 Chinese Automation Congress (CAC), Jinan, China, 20–22 October 2017; pp. 1158–1162. [Google Scholar]
- Shen, C.; Lou, W.; Shentu, F.; Wang, Y.; Tong, L. Tilted fiber Bragg gratings and its fiber humidity and twist sensing applications. In Proceedings of the 2016 15th International Conference on Optical Communications and Networks (ICOCN), Hangzhou, China, 24–27 September 2016; pp. 1–3. [Google Scholar]
- Yang, J.; Dong, X.; Ni, K.; Chan, C.C.; Shum, P.P. Relative humidity sensor based on optical fiber gratings and polyvinyl alcohol. In Proceedings of the 7th IEEE/International Conference on Advanced Infocomm Technology, Fuzhou, China, 14–16 November 2014; pp. 137–142. [Google Scholar]
- Wang, Q.; Jing, J.; Wang, B. Highly Sensitive SPR Biosensor Based on Graphene Oxide and Staphylococcal Protein A Co-Modified TFBG for Human IgG Detection. Trans. Instrum. Meas. 2019, 68, 3350–3357. [Google Scholar] [CrossRef]
- Zheng, J.; Dong, X.; Shao, L.-Y.; Zu, P.; Chan, C.C.; Cui, Y.; Shum, P.P. Magneto-optical fiber sensor based on magnetic fluid surrounded tilted fiber Bragg grating. In Proceedings of the 2013 6th IEEE/International Conference on Advanced Infocomm Technology (ICAIT), Hsinchu, Taiwan, 6–9 July 2013; pp. 171–172. [Google Scholar]
- Duan, Y.; Wang, F.; Zhang, X.; Liu, Q.; Lu, M.; Ji, W.; Zhang, Y.; Jing, Z.; Peng, W. TFBG-SPR DNA-Biosensor for Renewable Ultra-Trace Detection of Mercury Ions. J. Light. Technol. 2021, 39, 3903–3910. [Google Scholar] [CrossRef]
- Wang, R.; Li, Z.; Chen, X.; Hu, N.; Xiao, Y.; Li, K.; Guo, T. Mode Splitting in ITO-Nanocoated Tilted Fiber Bragg Gratings for Vector Twist Measurement. J. Light. Technol. 2021, 39, 4151–4157. [Google Scholar] [CrossRef]
- Cięszczyk, S.; Harasim, D.; Kisała, P. A Novel Simple TFBG Spectrum Demodulation Method for RI Quantification. IEEE Photonics Technol. Lett. 2017, 29, 2264–2267. [Google Scholar] [CrossRef]
- Moreno, Y.; Song, Q.; Xing, Z.; Lu, T.; Qin, H.; Sun, Y.; Zhou, W.; Zhang, W.; Yan, Z.; Sun, Q.; et al. Hybrid Polarizing Grating and TFBG based SPR Refractive Index Sensor. In Proceedings of the 2019 18th International Conference on Optical Communications and Networks (ICOCN), Huangshan, China, 5–8 August 2019; pp. 1–3. [Google Scholar]
- Tomyshev, K.A.; Manuilovich, E.S.; Tazhetdinova, D.K.; Dolzhenko, E.I.; Butov, O.V. High-precision data analysis for TFBG-assisted refractometer. Sens. Actuators A Phys. 2020, 308, 112016. [Google Scholar] [CrossRef]
- Liu, Q.; Zhang, B.; Chai, Q.; Tian, Y.; Liu, Y.; Ren, J.; Liu, C.; Zhang, J.; Lewis, E.; Zhang, W.; et al. Discriminating Twisting Direction by Polarization Maintaining Fiber Bragg Grating. IEEE Photonics Technol. Lett. 2018, 30, 654–657. [Google Scholar] [CrossRef]
- Kisała, P.; Skorupski, K.; Cieszczyk, S.; Panas, P.; Klimek, J. Rotation and twist measurement using tilted fibre bragg gratings. Metrol. Meas. Syst. 2018, 25, 429–440. [Google Scholar]
- Caucheteur, C.; Guo, T.; Albert, J. Polarization-Assisted Fiber Bragg Grating Sensors: Tutorial and Review. J. Light. Technol. 2017, 35, 3311–3322. [Google Scholar] [CrossRef]
- Kisała, P.; Mroczka, J.; Cięszczyk, S.; Skorupski, K.; Panas, P. Twisted tilted fiber Bragg gratings: New structures and polarization properties. Opt. Lett. 2018, 43, 4445–4448. [Google Scholar] [CrossRef] [PubMed]
- Chen, C.; Wang, J. Optical Biosensors: An exhaustive and comprehensive review. Analyst 2020, 145, 1605–1628. [Google Scholar] [CrossRef] [PubMed]
- Schroeder, K.; Ecke, W.; Mueller, R.; Willsch, R.; Andreev, A. A fibre Bragg grating refractometer. Meas. Sci. Technol. 2001, 12, 757–764. [Google Scholar] [CrossRef]
- Bekmurzayeva, A.; Dukenbayev, K.; Shaimerdenova, M.; Bekniyazov, I.; Ayupova, T.; Sypabekova, M.; Molardi, C.; Tosi, D. Etched Fiber Bragg Grating Biosensor Functionalized with Aptamers for Detection of Thrombin. Sensors 2018, 18, 4298. [Google Scholar] [CrossRef] [PubMed]
- Asseh, A.; Sandgren, S.; Ahlfeldt, H.; Sahlgren, B.; Stubbe, R.; Edwall, G. Fiber Optical Bragg Grating Refractometer. Fiber Integr. Opt. 2010, 17, 51–62. [Google Scholar]
- Caucheteur, C. Light Polarization-Assisted Sensing with Tilted Fiber Bragg Gratings. Open Opt. J. 2014, 7, 95–103. [Google Scholar] [CrossRef][Green Version]
- Cięszczyk, S.; Harasim, D.; Kisała, P. Novel twist measurement method based on TFBG and fully optical ratiometric interrogation. Sens. Actuators A Phys. 2018, 272, 18–22. [Google Scholar]
- Kisała, P.; Harasim, D.; Mroczka, J. Temperature-insensitive simultaneous rotation and displacement (bending) sensor based on tilted fiber Bragg grating. Opt. Express 2016, 24, 29922–29929. [Google Scholar] [CrossRef]
- Lu, Y.; Shen, C.; Chen, D.; Chu, J.; Wang, Q.; Dong, X. Highly sensitive twist sensor based on tilted fiber Bragg grating of polarization-dependent properties. Opt. Fiber Technol. 2014, 20, 491–494. [Google Scholar] [CrossRef]
- Lu, Y.-C.; Geng, R.; Wang, C.; Zhang, F.; Liu, C.; Ning, T.; Jian, S. Polarization Effects in Tilted Fiber Bragg Grating Refractometers. J. Light. Technol. 2010, 28, 1677–1684. [Google Scholar]
- Shao, L.Y.; Laronche, A.; Smietana, M.; Mikulic, P.; Bock, W.J.; Albert, J. Highly sensitive bend sensor with hybrid long-period and tilted fiber Bragg grating. Opt. Commun. 2010, 283, 2690–2694. [Google Scholar] [CrossRef]
- Guo, T.; Liu, F.; Guan, B.O.; Albert, J. Polarimetric multi-mode tilted fiber grating sensors. Opt. Express 2014, 22, 7330–7336. [Google Scholar] [CrossRef] [PubMed]
- Shang, R.B.; Zhang, W.G.; Zhu, W.B.; Geng, P.C.; Ruan, J.; Gao, S.C.; Li, X.N.; Cao, Q.X.; Zeng, X. Fabrication of twisted long period fiber gratings with high frequency CO2 laser pulses and its bend sensing. J. Opt. 2013, 15, 075402. [Google Scholar] [CrossRef]
- Kersey, A.D.; Berkoff, T.A. Fiber-optic Bragg-grating differential-temperature sensor. IEEE Photonics Technol. Lett. 1992, 4, 1183–1185. [Google Scholar] [CrossRef]
- Erdogan, T. Fiber Grating Spectra. J. Light. Technol. 1997, 15, 1277–1294. [Google Scholar] [CrossRef]





























| α = 180° | α = 90° | α = 45° | α = 0° | |||||
|---|---|---|---|---|---|---|---|---|
| T [-] | min | max | min | max | min | max | min | max |
| 0.720 | 0.740 | 0.635 | 0.824 | 0.635 | 0.824 | 0.546 | 0.895 | |
| T [-] | 0.0200 | 0.0900 | 0.1894 | 0.3493 | ||||
| δT [%] | 2.78 | 11.54 | 23.76 | 39.03 | ||||
| KTα [1/°] | 0.0002 | 0.0010 | 0.0021 | 0.0039 | ||||
| T|0° | 0.72 | 0.78 | 0.7972 | 0.895 | ||||
| Glucose Concentration | Refractive Index | Glucose Concentration | Refractive Index |
|---|---|---|---|
| [%] | [RIU] | [%] | [RIU] |
| 8.810160 | 1.346015248 | 9.059395 | 1.34638910 |
| 8.835083 | 1.346052633 | 9.084318 | 1.346426485 |
| 8.860007 | 1.346090018 | 9.109241 | 1.346463870 |
| 8.884930 | 1.346127404 | 9.134165 | 1.346501255 |
| 8.909854 | 1.346164789 | 9.159088 | 1.346538641 |
| 8.934777 | 1.346202174 | 9.184012 | 1.346576026 |
| 8.959701 | 1.346239559 | 9.208935 | 1.346613411 |
| 8.984624 | 1.346276944 | 9.233859 | 1.346650796 |
| 9.009548 | 1.346314329 | 9.258782 | 1.346688181 |
| 9.034471 | 1.346351715 | 9.283706 | 1.346725566 |
Publisher’s Note: MDPI stays neutral with regard to jurisdictional claims in published maps and institutional affiliations. |
© 2021 by the authors. Licensee MDPI, Basel, Switzerland. This article is an open access article distributed under the terms and conditions of the Creative Commons Attribution (CC BY) license (https://creativecommons.org/licenses/by/4.0/).
Share and Cite
Harasim, D.; Kisała, P.; Yeraliyeva, B.; Mroczka, J. Design and Manufacturing Optoelectronic Sensors for the Measurement of Refractive Index Changes under Unknown Polarization State. Sensors 2021, 21, 7318. https://doi.org/10.3390/s21217318
Harasim D, Kisała P, Yeraliyeva B, Mroczka J. Design and Manufacturing Optoelectronic Sensors for the Measurement of Refractive Index Changes under Unknown Polarization State. Sensors. 2021; 21(21):7318. https://doi.org/10.3390/s21217318
Chicago/Turabian StyleHarasim, Damian, Piotr Kisała, Bakhyt Yeraliyeva, and Janusz Mroczka. 2021. "Design and Manufacturing Optoelectronic Sensors for the Measurement of Refractive Index Changes under Unknown Polarization State" Sensors 21, no. 21: 7318. https://doi.org/10.3390/s21217318
APA StyleHarasim, D., Kisała, P., Yeraliyeva, B., & Mroczka, J. (2021). Design and Manufacturing Optoelectronic Sensors for the Measurement of Refractive Index Changes under Unknown Polarization State. Sensors, 21(21), 7318. https://doi.org/10.3390/s21217318

