Towards ML-Based Diagnostics of Laser–Plasma Interactions
Abstract
:1. Introduction
2. Problem Statement
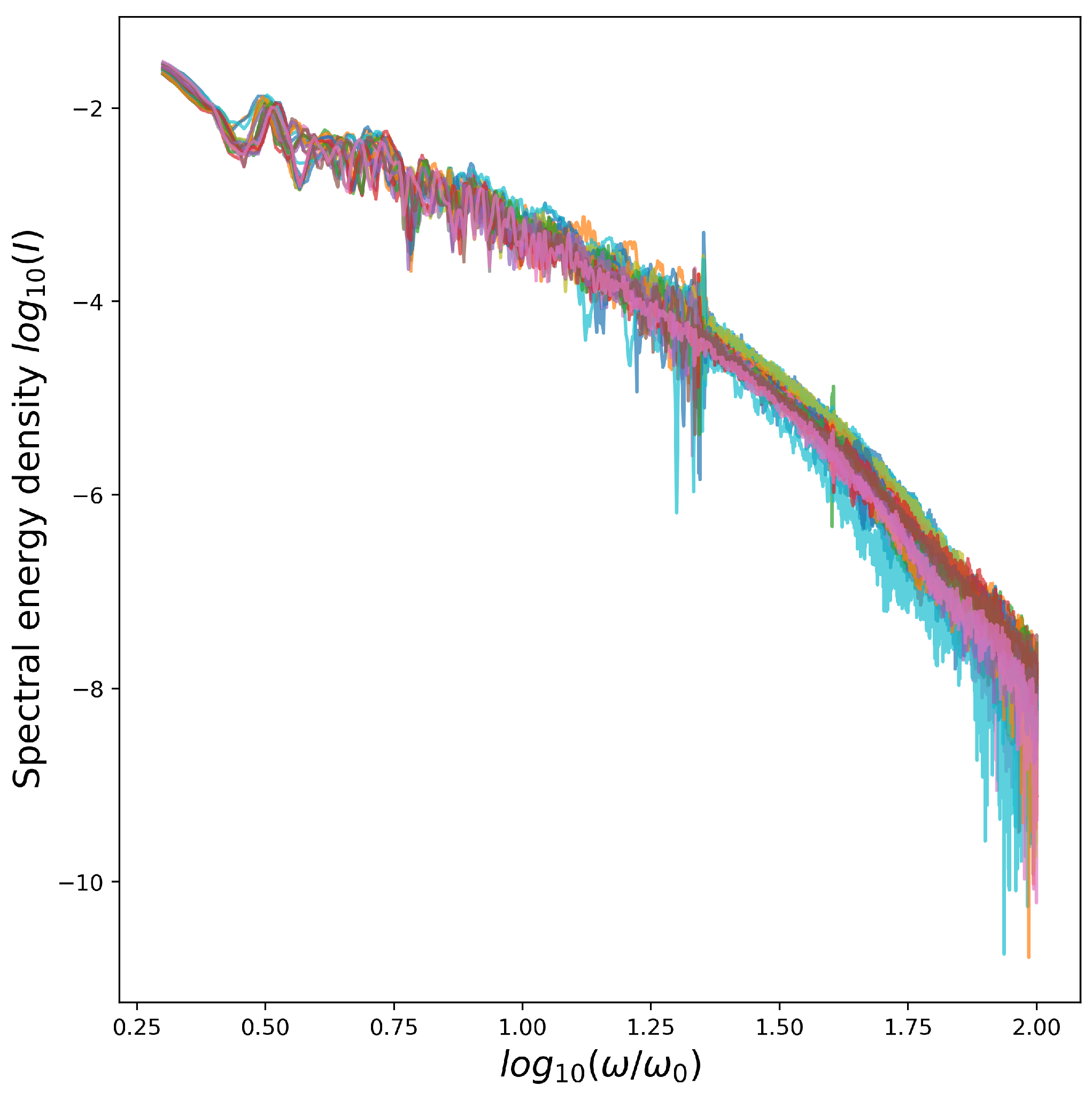
3. Data Acquisition
4. Experimental Results
4.1. Metrics
4.2. Methods
4.3. Experiments with Data of Numerical Simulation
4.3.1. Baseline Model
4.3.2. PCA Preprocessing
4.3.3. Data Augmentation
4.3.4. Comparison of the Results
4.4. On the Way to Experimental Data Processing
4.4.1. Basic Idea
4.4.2. Baseline Model
4.4.3. Employing PCA to Diminish Noise
4.4.4. Adding Noise to Data Gradually
4.4.5. Comparison of the Results
5. Conclusions
Author Contributions
Funding
Institutional Review Board Statement
Informed Consent Statement
Data Availability Statement
Acknowledgments
Conflicts of Interest
References
- Spears, B.K.; Brase, J.; Bremer, P.T.; Chen, B.; Field, J.; Gaffney, J.; Kruse, M.; Langer, S.; Lewis, K.; Nora, R.; et al. Deep learning: A guide for practitioners in the physical sciences. Phys. Plasmas 2018, 25, 080901. [Google Scholar] [CrossRef]
- Gonoskov, A.; Wallin, E.; Polovinkin, A.; Meyerov, I. Employing machine learning for theory validation and identification of experimental conditions in laser-plasma physics. Sci. Rep. 2019, 9. [Google Scholar] [CrossRef] [PubMed]
- Shalloo, R.J.; Dann, S.J.D.; Gruse, J.N.; Underwood, C.I.D.; Antoine, A.F.; Arran, C.; Backhouse, M.; Baird, C.D.; Balcazar, M.D.; Bourgeois, N.; et al. Automation and control of laser wakefield accelerators using Bayesian optimization. Nat. Commun. 2020, 11. [Google Scholar] [CrossRef]
- Lin, J.; Qian, Q.; Murphy, J.; Hsu, A.; Hero, A.; Ma, Y.; Thomas, A.G.R.; Krushelnick, K. Beyond optimization—supervised learning applications in relativistic laser-plasma experiments. Phys. Plasmas 2021, 28, 083102. [Google Scholar] [CrossRef]
- Carrasquilla, J.; Melko, R.G. Machine learning phases of matter. Nat. Phys. 2017, 13, 431–434. [Google Scholar] [CrossRef] [Green Version]
- Deng, D.L.; Li, X.; Sarma, S.D. Machine learning topological states. Phys. Rev. B 2017, 96. [Google Scholar] [CrossRef] [Green Version]
- Krenn, M.; Malik, M.; Fickler, R.; Lapkiewicz, R.; Zeilinger, A. Automated Search for new Quantum Experiments. Phys. Rev. Lett. 2016, 116. [Google Scholar] [CrossRef] [Green Version]
- Carleo, G.; Troyer, M. Solving the quantum many-body problem with artificial neural networks. Science 2017, 355, 602–606. [Google Scholar] [CrossRef] [Green Version]
- Broecker, P.; Carrasquilla, J.; Melko, R.G.; Trebst, S. Machine learning quantum phases of matter beyond the fermion sign problem. Sci. Rep. 2017, 7. [Google Scholar] [CrossRef] [Green Version]
- Ch’ng, K.; Carrasquilla, J.; Melko, R.G.; Khatami, E. Machine Learning Phases of Strongly Correlated Fermions. Phys. Rev. X 2017, 7. [Google Scholar] [CrossRef]
- Torlai, G.; Melko, R.G. Learning thermodynamics with Boltzmann machines. Phys. Rev. B 2016, 94. [Google Scholar] [CrossRef] [Green Version]
- Li, L.; Snyder, J.C.; Pelaschier, I.M.; Huang, J.; Niranjan, U.N.; Duncan, P.; Rupp, M.; Müller, K.R.; Burke, K. Understanding machine-learned density functionals. Int. J. Quantum Chem. 2015, 116, 819–833. [Google Scholar] [CrossRef] [Green Version]
- Baldi, P.; Sadowski, P.; Whiteson, D. Searching for exotic particles in high-energy physics with deep learning. Nat. Commun. 2014, 5. [Google Scholar] [CrossRef] [Green Version]
- Djordjević, B.Z.; Kemp, A.J.; Kim, J.; Simpson, R.A.; Wilks, S.C.; Ma, T.; Mariscal, D.A. Modeling laser-driven ion acceleration with deep learning. Phys. Plasmas 2021, 28, 043105. [Google Scholar] [CrossRef]
- Carleo, G.; Cirac, I.; Cranmer, K.; Daudet, L.; Schuld, M.; Tishby, N.; Vogt-Maranto, L.; Zdeborová, L. Machine learning and the physical sciences. Rev. Mod. Phys. 2019, 91. [Google Scholar] [CrossRef] [Green Version]
- Sietsma, J.; Dow, R.J. Creating artificial neural networks that generalize. Neural Netw. 1991, 4, 67–79. [Google Scholar] [CrossRef]
- An, G. The Effects of Adding Noise During Backpropagation Training on a Generalization Performance. Neural Comput. 1996, 8, 643–674. [Google Scholar] [CrossRef]
- Albert, F.; Thomas, A.G.R.; Mangles, S.P.D.; Banerjee, S.; Corde, S.; Flacco, A.; Litos, M.; Neely, D.; Vieira, J.; Najmudin, Z.; et al. Laser wakefield accelerator based light sources: Potential applications and requirements. Plasma Phys. Control. Fusion 2014, 56, 084015. [Google Scholar] [CrossRef]
- Edwards, M.R.; Fisch, N.J.; Mikhailova, J.M. Laser-driven plasma sources of intense, ultrafast, and coherent radiation. Phys. Plasmas 2021, 28, 013105. [Google Scholar] [CrossRef]
- Esarey, E.; Schroeder, C.B.; Leemans, W.P. Physics of laser-driven plasma-based electron accelerators. Rev. Mod. Phys. 2009, 81, 1229–1285. [Google Scholar] [CrossRef]
- Macchi, A.; Borghesi, M.; Passoni, M. Ion acceleration by superintense laser-plasma interaction. Rev. Mod. Phys. 2013, 85, 751–793. [Google Scholar] [CrossRef] [Green Version]
- Panova, E.; Volokitin, V.; Efimenko, E.; Ferri, J.; Blackburn, T.; Marklund, M.; Muschet, A.; Gonzalez, A.D.A.; Fischer, P.; Veisz, L.; et al. Optimized Computation of Tight Focusing of Short Pulses Using Mapping to Periodic Space. Appl. Sci. 2021, 11, 956. [Google Scholar] [CrossRef]
- Tang, Y.; Eliasmith, C. Deep Networks for Robust Visual Recognition. In Proceedings of the 27th International Conference on Machine Learning (ICML 2010), Haifa, Israel, 21–24 June 2010; pp. 1055–1062. [Google Scholar]
- Park, M.Y.; Hastie, T. L1-Regularization Path Algorithm for Generalized Linear Models. J. R. Stat. Soc. Ser. B Stat. Methodol. 2007, 69, 659–677. [Google Scholar] [CrossRef]
- Hoerl, A.E.; Kennard, R.W. Ridge Regression: Biased Estimation for Nonorthogonal Problems. Technometrics 1970, 12, 55–67. [Google Scholar] [CrossRef]
- Hastie, T.; Tibshirani, R.; Friedman, J. The Elements of Statistical Learning; Springer Series in Statistics; Springer New York Inc.: New York, NY, USA, 2001; pp. 241–249. [Google Scholar]
- Zhao, Y.X.; Li, Y.; Wu, N. Data augmentation and its application in distributed acoustic sensing data denoising. Geophys. J. Int. 2021, 228, 119–133. [Google Scholar] [CrossRef]
- Breiman, L. Random forests. Mach. Learn. 2001, 45, 5–32. [Google Scholar] [CrossRef] [Green Version]
- Friedman, J.H. Greedy Function Approximation: A Gradient Boosting Machine. Ann. Stat. 2000, 29, 1189–1232. [Google Scholar]
- Pearson, K. LIII. On lines and planes of closest fit to systems of points in space. Lond. Edinb. Dublin Philos. Mag. J. Sci. 1901, 2, 559–572. [Google Scholar] [CrossRef] [Green Version]
- Satish, L.; Nazneen, B. Wavelet-based denoising of partial discharge signals buried in excessive noise and interference. IEEE Trans. Dielectr. Electr. Insul. 2003, 10, 354–367. [Google Scholar] [CrossRef] [Green Version]
- Vincent, P.; Larochelle, H.; Lajoie, I.; Bengio, Y.; Manzagol, P.A. Stacked Denoising Autoencoders: Learning Useful Representations in a Deep Network with a Local Denoising Criterion. J. Mach. Learn. Res. 2010, 11, 3371–3408. [Google Scholar]
- Kormin, D.; Borot, A.; Ma, G.; Dallari, W.; Bergues, B.; Aladi, M.; Földes, I.B.; Veisz, L. Spectral interferometry with waveform-dependent relativistic high-order harmonics from plasma surfaces. Nat. Commun. 2018, 9. [Google Scholar] [CrossRef]
- Birdsall, C.K.; Langdon, A.B. Plasma Physics via Computer Simulation; IOP: Boca Raton, FL, USA, 1991. [Google Scholar]
- Taflove, A.; Hagness, S.C. Computational Electrodynamics: The Finite-Difference Time-Domain Method; Artech House: London, UK, 2005. [Google Scholar]
- Gonoskov, A.A.; Korzhimanov, A.V.; Kim, A.V.; Marklund, M.; Sergeev, A.M. Ultrarelativistic nanoplasmonics as a route towards extreme-intensity attosecond pulses. Phys. Rev. E 2011, 84, 046403. [Google Scholar] [CrossRef] [PubMed] [Green Version]
- Bashinov, A.; Gonoskov, A.; Kim, A.; Mourou, G.; Sergeev, A. New horizons for extreme light physics with mega-science project XCELS. Eur. Phys. J. Spec. Top. 2014, 223, 1105–1112. [Google Scholar] [CrossRef]
- Blackburn, T.G.; Gonoskov, A.A.; Marklund, M. Relativistically intense XUV radiation from laser-illuminated near-critical plasmas. Phys. Rev. A 2018, 98, 023421. [Google Scholar] [CrossRef] [Green Version]
- Blanco, M.; Flores-Arias, M.T.; Gonoskov, A. Controlling the ellipticity of attosecond pulses produced by laser irradiation of overdense plasmas. Phys. Plasmas 2018, 25, 093114. [Google Scholar] [CrossRef] [Green Version]
- Teubner, U.; Gibbon, P. High-order harmonics from laser-irradiated plasma surfaces. Rev. Mod. Phys. 2009, 81, 445–479. [Google Scholar] [CrossRef]
- Brenner, C.M.; Mirfayzi, S.R.; Rusby, D.R.; Armstrong, C.; Alejo, A.; Wilson, L.A.; Clarke, R.; Ahmed, H.; Butler, N.M.H.; Haddock, D.; et al. Laser-driven x-ray and neutron source development for industrial applications of plasma accelerators. Plasma Phys. Control. Fusion 2015, 58, 014039. [Google Scholar] [CrossRef] [Green Version]
- Gonoskov, A. Theory of relativistic radiation reflection from plasmas. Phys. Plasmas 2018, 25, 013108. [Google Scholar] [CrossRef] [Green Version]
- Gonoskov, A. Ultra-Intense Laser-Plasma Interaction for Applied and Fundamental Physics. Ph.D. Thesis, Umeå University, Umeå, Sweden, 2013. [Google Scholar]
- Bourdier, A. Oblique incidence of a strong electromagnetic wave on a cold inhomogeneous electron plasma. Relativistic effects. Phys. Fluids 1983, 26, 1804–1807. [Google Scholar] [CrossRef]
- Shorten, C.; Khoshgoftaar, T.M. A survey on Image Data Augmentation for Deep Learning. J. Big Data 2019, 6. [Google Scholar] [CrossRef]
- Salamon, J.; Bello, J.P. Deep Convolutional Neural Networks and Data Augmentation for Environmental Sound Classification. IEEE Signal Process. Lett. 2017, 24, 279–283. [Google Scholar] [CrossRef]
- hi-χ Project. (For the Relevant Examples See Machine-Learning). Available online: https://github.com/hi-chi (accessed on 4 September 2020).
- Jackson, D.A. Stopping Rules in Principal Components Analysis: A Comparison of Heuristical and Statistical Approaches. Ecology 1993, 74, 2204–2214. [Google Scholar] [CrossRef]
- Kaiser, H.F. The Application of Electronic Computers to Factor Analysis. Educ. Psychol. Meas. 1960, 20, 141–151. [Google Scholar] [CrossRef]
- Mirkes, E.M.; Allohibi, J.; Gorban, A. Fractional Norms and Quasinorms Do Not Help to Overcome the Curse of Dimensionality. Entropy 2020, 22, 1105. [Google Scholar] [CrossRef] [PubMed]
- Zhang, L.; Dong, W.; Zhang, D.; Shi, G. Two-stage image denoising by principal component analysis with local pixel grouping. Pattern Recognit. 2010, 43, 1531–1549. [Google Scholar] [CrossRef] [Green Version]
- Li, B. A Principal Component Analysis Approach to Noise Removal for Speech Denoising. In Proceedings of the 2018 International Conference on Virtual Reality and Intelligent Systems (ICVRIS), Hunan, China, 10–11 August 2018. [Google Scholar] [CrossRef]
- Pan, S.J.; Yang, Q. A Survey on Transfer Learning. IEEE Trans. Knowl. Data Eng. 2010, 22, 1345–1359. [Google Scholar] [CrossRef]








| Model | Metrics | |||
|---|---|---|---|---|
| Baseline | MAPE | 3.823 | 1.781 | 4.890 |
| 0.952 | 0.991 | 0.904 | ||
| PCA preprocessing | MAPE | 3.674 | 1.684 | 4.537 |
| 0.956 | 0.992 | 0.928 | ||
| Data augmentation | MAPE | 3.233 | 1.493 | 4.236 |
| 0.961 | 0.993 | 0.920 |
| Model | Metrics | |||
|---|---|---|---|---|
| Baseline model trained on clean data, tested on clean data | MAPE | 3.823 | 1.781 | 4.890 |
| 0.952 | 0.991 | 0.904 | ||
| Baseline model trained on clean data, tested on noisy data | MAPE | 18.675 | 13.297 | 18.601 |
| 0.327 | 0.638 | 0.304 | ||
| Baseline model trained on noisy data, tested on noisy data | MAPE | 7.638 | 3.179 | 8.743 |
| 0.841 | 0.968 | 0.756 | ||
| PCA preprocessing | MAPE | 5.385 | 2.434 | 6.537 |
| 0.944 | 0.988 | 0.893 | ||
| Adding noise to data gradually | MAPE | 4.170 | 1.911 | 5.095 |
| 0.946 | 0.988 | 0.897 |
Publisher’s Note: MDPI stays neutral with regard to jurisdictional claims in published maps and institutional affiliations. |
© 2021 by the authors. Licensee MDPI, Basel, Switzerland. This article is an open access article distributed under the terms and conditions of the Creative Commons Attribution (CC BY) license (https://creativecommons.org/licenses/by/4.0/).
Share and Cite
Rodimkov, Y.; Bhadoria, S.; Volokitin, V.; Efimenko, E.; Polovinkin, A.; Blackburn, T.; Marklund, M.; Gonoskov, A.; Meyerov, I. Towards ML-Based Diagnostics of Laser–Plasma Interactions. Sensors 2021, 21, 6982. https://doi.org/10.3390/s21216982
Rodimkov Y, Bhadoria S, Volokitin V, Efimenko E, Polovinkin A, Blackburn T, Marklund M, Gonoskov A, Meyerov I. Towards ML-Based Diagnostics of Laser–Plasma Interactions. Sensors. 2021; 21(21):6982. https://doi.org/10.3390/s21216982
Chicago/Turabian StyleRodimkov, Yury, Shikha Bhadoria, Valentin Volokitin, Evgeny Efimenko, Alexey Polovinkin, Thomas Blackburn, Mattias Marklund, Arkady Gonoskov, and Iosif Meyerov. 2021. "Towards ML-Based Diagnostics of Laser–Plasma Interactions" Sensors 21, no. 21: 6982. https://doi.org/10.3390/s21216982
APA StyleRodimkov, Y., Bhadoria, S., Volokitin, V., Efimenko, E., Polovinkin, A., Blackburn, T., Marklund, M., Gonoskov, A., & Meyerov, I. (2021). Towards ML-Based Diagnostics of Laser–Plasma Interactions. Sensors, 21(21), 6982. https://doi.org/10.3390/s21216982

