Machine Learning Based Identification of Microseismic Signals Using Characteristic Parameters
Abstract
1. Introduction
2. Materials and Methods
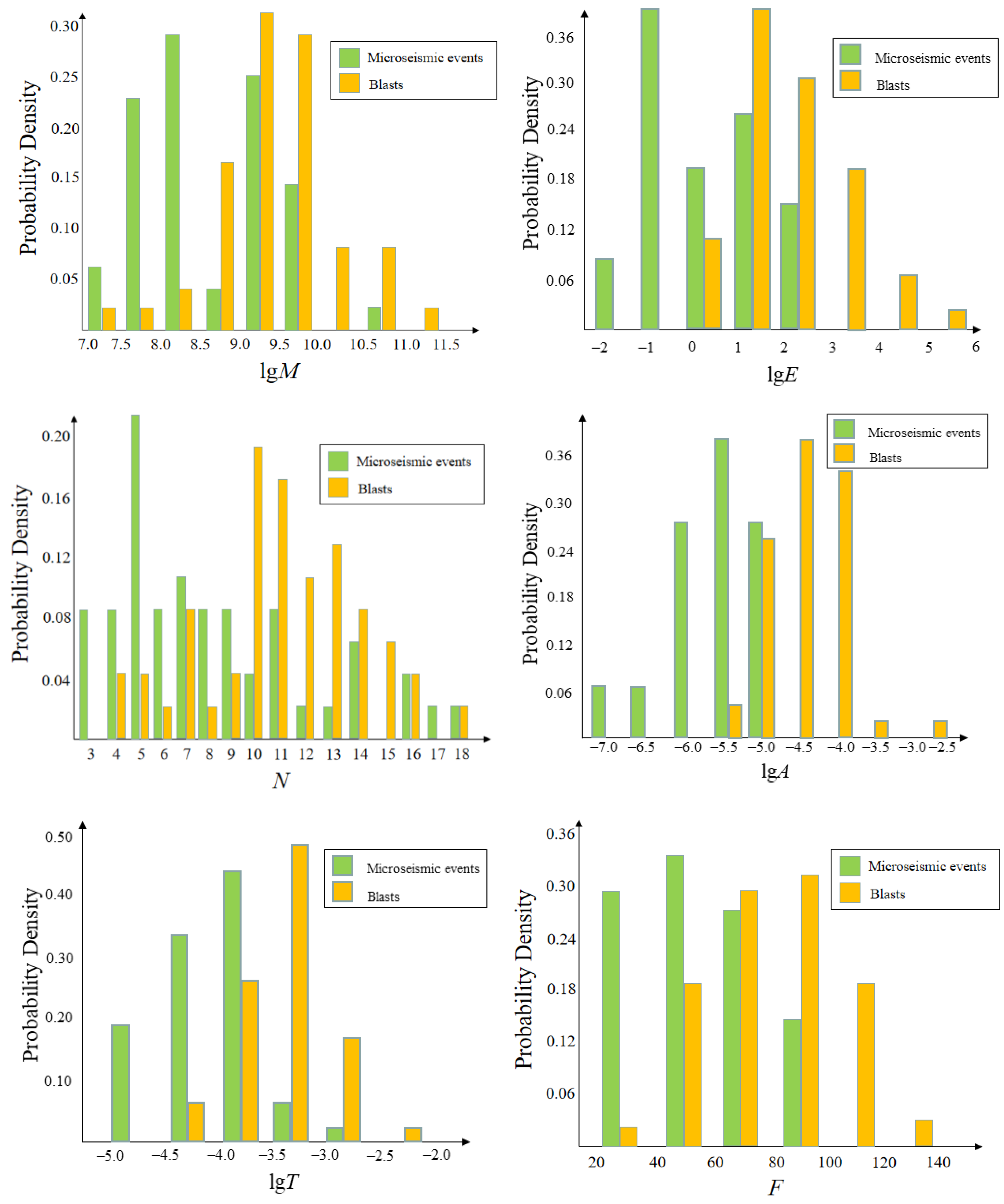
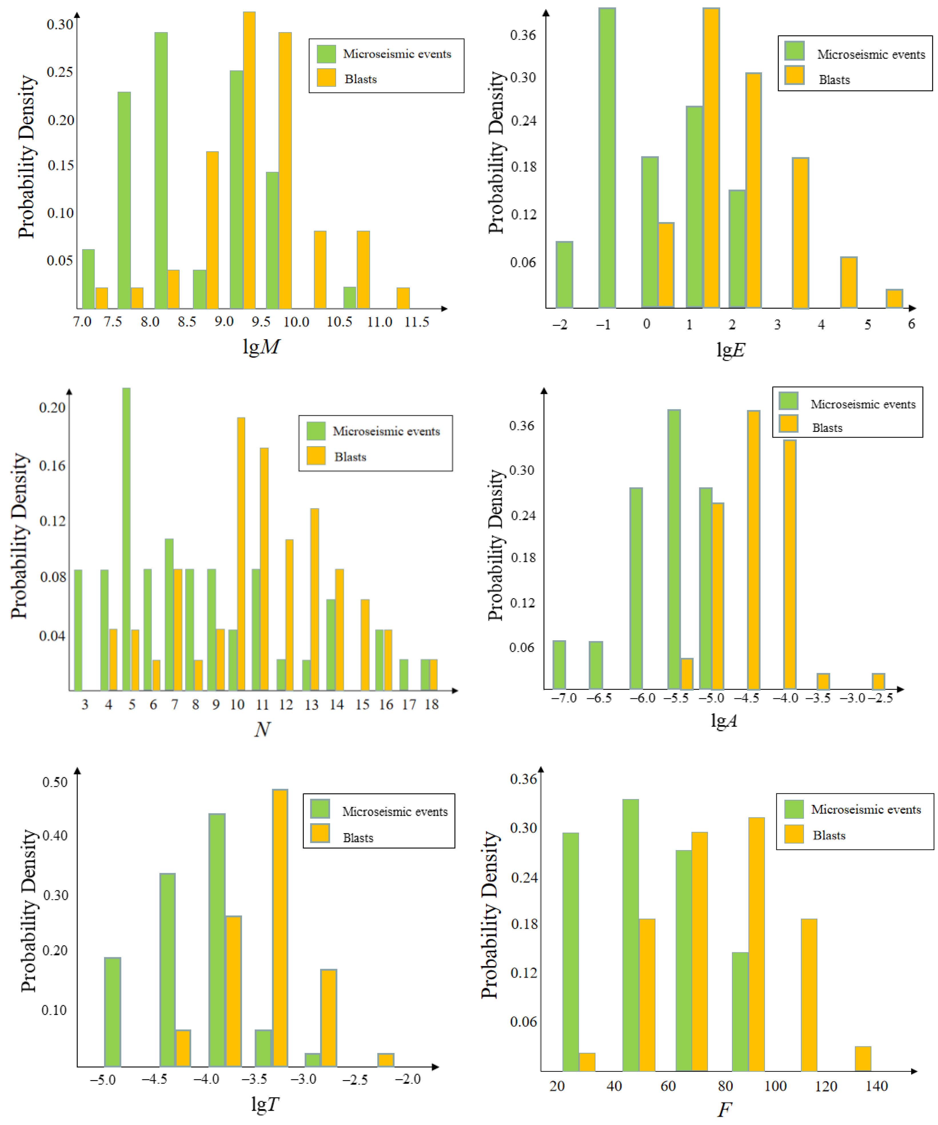
2.1. Event Features
2.2. Methods
3. Results and Discussion
3.1. Assessment Results Using Traditional Models
3.2. Assessment Results Using Ten Machine Learning Classifiers
3.3. Discussion
4. Conclusions
Author Contributions
Funding
Data Availability Statement
Conflicts of Interest
Appendix A
| No. | lg0 | lgE | N | lgA | lgT | F | Type | No. | lg0 | lgE | N | lgA | lgT | F | Type |
|---|---|---|---|---|---|---|---|---|---|---|---|---|---|---|---|
| 1 | 8.41 | 0.25 | 11 | −3.67 | −3.14 | 88 | B | 51 | 9.22 | 1.98 | 10 | −3.54 | −2.56 | 83.4 | B |
| 2 | 9.21 | 2.61 | 14 | −4.57 | −3.55 | 66.1 | B | 52 | 8.71 | 0.63 | 10 | −4.32 | −3.61 | 80.3 | B |
| 3 | 7.96 | 0.25 | 4 | −3.55 | −3.14 | 92.1 | B | 53 | 9.72 | 4.93 | 11 | −4.02 | −3.72 | 68.6 | B |
| 4 | 9.3 | 2.09 | 10 | −3.77 | −2.91 | 114 | B | 54 | 9.17 | 1.75 | 9 | −4.72 | −4.26 | 81.2 | B |
| 5 | 9.61 | 2.69 | 13 | −3.65 | −3.22 | 117.2 | B | 55 | 8.7 | 1.54 | 8 | −4.48 | −3.67 | 111.4 | B |
| 6 | 11.31 | 5.31 | 18 | −3.86 | −3.1 | 84.4 | B | 56 | 9.25 | 2.73 | 15 | −4.6 | −3.68 | 67.5 | B |
| 7 | 8.91 | 1.91 | 12 | −4.89 | −3.71 | 105 | B | 57 | 9.98 | 2.52 | 12 | −4.29 | −3.43 | 76.6 | B |
| 8 | 9.26 | 1.87 | 13 | −3.86 | −3.16 | 96.4 | B | 58 | 9.22 | 4.63 | 7 | −4.59 | −4.29 | 88.2 | B |
| 9 | 10.09 | 3.15 | 14 | −4.24 | −3.41 | 47.6 | B | 59 | 8.6 | 1.23 | 6 | −4.07 | −3.46 | 77.6 | B |
| 10 | 10.72 | 3.76 | 11 | −4.74 | −3.61 | 52.9 | B | 60 | 9.72 | 2.17 | 5 | −4.4 | −3.58 | 99.2 | B |
| 11 | 9.05 | 1.41 | 7 | −4.38 | −3.41 | 88.2 | B | 61 | 9.81 | 1.85 | 9 | −4.43 | −3.48 | 75.3 | B |
| 12 | 9.54 | 2.89 | 13 | −4.25 | −3.19 | 68.3 | B | 62 | 8.86 | 1.97 | 7 | −5.08 | −3.4 | 97.6 | B |
| 13 | 9.87 | 3.44 | 11 | −3.71 | −2.64 | 82.8 | B | 63 | 10.77 | 4.83 | 10 | −3.29 | −2.67 | 122.6 | B |
| 14 | 9.62 | 3.07 | 13 | −4.64 | −3.85 | 42.6 | B | 64 | 9.17 | 1.96 | 10 | −4.09 | −3.2 | 58.5 | B |
| 15 | 9.56 | 2.71 | 11 | −4.08 | −2.94 | 43.6 | B | 65 | 10.01 | 3.09 | 15 | −5.17 | −3.09 | 100.4 | B |
| 16 | 10.52 | 1.87 | 11 | −2.41 | −2 | 93.5 | B | 66 | 9.96 | 2.41 | 14 | −3.67 | −3.14 | 64.4 | B |
| 17 | 9.16 | 2.25 | 14 | −4.03 | −3.35 | 58.2 | B | 67 | 9.2 | 2.77 | 11 | −4.57 | −3.55 | 41.9 | B |
| 18 | 8.67 | 1.31 | 7 | −4.36 | −3.75 | 48.2 | B | 68 | 9.19 | 2.21 | 10 | −3.55 | −3.14 | 117 | B |
| 19 | 9.66 | 1.57 | 10 | −4.29 | −3.86 | 124.6 | B | 69 | 9.6 | 3.27 | 11 | −3.77 | −2.91 | 83.6 | B |
| 20 | 10.22 | 3.47 | 16 | −4.71 | −4.02 | 64.4 | B | 70 | 8.74 | 0.89 | 4 | −3.65 | −3.22 | 105.5 | B |
| 21 | 9.23 | 2.83 | 12 | −4.24 | −2.59 | 74.7 | B | 71 | 9.3 | 1.68 | 13 | −3.86 | −3.1 | 67.9 | B |
| 22 | 9.66 | 3.2 | 12 | −4.11 | −2.73 | 63.6 | B | 72 | 9.45 | 2.59 | 10 | −4.89 | −3.71 | 35.6 | B |
| 23 | 8.61 | 1.11 | 10 | −4.5 | −3.9 | 84.2 | B | 73 | 10.12 | 3.25 | 13 | −4.96 | −3.25 | 42.5 | B |
| 24 | 7.25 | 1.21 | 5 | −4.17 | −3.15 | 110.3 | B | 74 | 9.98 | 1.78 | 15 | −3.58 | −3.19 | 106.9 | B |
| 25 | 8.16 | 0.94 | 12 | −3.8 | −3.5 | 65.7 | B | 75 | 11 | 1.15 | 16 | −3.87 | −3.26 | 67.6 | B |
| 26 | 7.99 | −0.04 | 4 | −5.47 | −3.86 | 23.4 | M | 76 | 8.89 | −0.88 | 5 | −5.39 | −3.57 | 34.3 | M |
| 27 | 9.31 | 1.68 | 14 | −6.11 | −4.51 | 49 | M | 77 | 9.03 | 1.63 | 9 | −6.84 | −4.58 | 18.9 | M |
| 28 | 9.03 | 0.49 | 14 | −6.34 | −4.89 | 28.9 | M | 78 | 8.35 | −0.77 | 5 | −4.71 | −4.13 | 39 | M |
| 29 | 8.59 | 2.4 | 7 | −5.76 | −4.62 | 9.2 | M | 79 | 7.49 | −0.31 | 3 | −5.34 | −4.19 | 66.5 | M |
| 30 | 9.41 | 2.32 | 11 | −5.98 | −4.83 | 33.1 | M | 80 | 9.02 | 0.93 | 12 | −5.26 | −3.99 | 46.8 | M |
| 31 | 9.82 | 1.96 | 14 | −5.19 | −4.69 | 23 | M | 81 | 7.63 | 0 | 3 | −4.78 | −3.25 | 35.3 | M |
| 32 | 9.43 | 1.96 | 8 | −5.93 | −4.23 | 50.7 | M | 82 | 7.93 | −1.15 | 6 | −4.85 | −4.14 | 10.4 | M |
| 33 | 9.83 | 2.01 | 6 | −5.55 | −3.83 | 13.7 | M | 83 | 8.37 | 0.97 | 13 | −5.55 | −4.26 | 14.4 | M |
| 34 | 9.67 | 1 | 4 | −5.27 | −3.96 | 11.6 | M | 84 | 8.17 | −0.36 | 6 | −6.26 | −4.25 | 59.1 | M |
| 35 | 9.13 | −0.29 | 8 | −5.9 | −4.18 | 14.9 | M | 85 | 7.83 | 1.76 | 3 | −4.63 | −2.81 | 31 | M |
| 36 | 8.41 | 0.11 | 5 | −5.39 | −3.98 | 52.6 | M | 86 | 8.36 | −1.93 | 11 | −5.76 | −3.71 | 28.4 | M |
| 37 | 7.98 | 1.67 | 5 | −5.82 | −3.74 | 12.3 | M | 87 | 8.14 | 2.8 | 4 | −4.8 | −3.76 | 45.2 | M |
| 38 | 9.39 | 0.09 | 17 | −5.59 | −3.67 | 10.4 | M | 88 | 9.22 | 2.04 | 11 | −5.04 | −3.77 | 26.3 | M |
| 39 | 10.74 | 0.02 | 16 | −5.59 | −3.62 | 19.9 | M | 89 | 7.22 | 1.66 | 3 | −5.66 | −3.89 | 29.5 | M |
| 40 | 9.17 | −0.28 | 9 | −5.71 | −4.05 | 67.5 | M | 90 | 9.96 | −1.2 | 8 | −5.17 | −4.36 | 41 | M |
| 41 | 8.46 | −0.44 | 9 | −4.72 | −3.59 | 23.9 | M | 91 | 9.59 | 1.58 | 10 | −4.88 | −3.12 | 50.2 | M |
| 42 | 7.93 | −0.51 | 10 | −4.59 | −3.86 | 10.2 | M | 92 | 9.59 | −0.51 | 18 | −4.68 | −3.79 | 17.4 | M |
| 43 | 7.93 | −0.33 | 5 | −5.45 | −4.89 | 53.1 | M | 93 | 7.83 | 2.67 | 4 | −6.73 | −4.72 | 35.3 | M |
| 44 | 8.35 | −0.67 | 7 | −4.68 | −3.88 | 30.4 | M | 94 | 9.77 | 1.05 | 16 | −5 | −4.19 | 65 | M |
| 45 | 7.9 | −0.62 | 7 | −6.96 | −3.96 | 68.4 | M | 95 | 7.68 | −0.02 | 5 | −5.34 | −4.01 | 40.4 | M |
| 46 | 8.02 | −0.57 | 8 | −5.17 | −3.82 | 33 | M | 96 | 9.33 | −1.16 | 5 | −5.28 | −4.14 | 71.8 | M |
| 47 | 8.5 | −0.4 | 6 | −5.54 | −4.01 | 67.1 | M | 97 | 9.24 | 0.7 | 7 | −5.39 | −4.48 | 32.3 | M |
| 48 | 8.14 | 0.18 | 5 | −4.83 | −3.36 | 45 | M | 98 | 8.39 | 1.82 | 9 | −5.37 | −4.67 | 18.7 | M |
| 49 | 8.23 | 1.39 | 7 | −5.08 | −4.38 | 43.4 | M | 99 | 7.46 | 2.98 | 5 | −4.63 | −3.66 | 18.4 | M |
| 50 | 7.99 | −0.29 | 5 | −5.09 | −4.14 | 44 | M | 100 | 8.24 | 1.89 | 11 | −4.83 | −3.58 | 70.7 | M |
References
- Dong, L.J.; Chen, Y.C.; Sun, D.Y.; Zhang, Y.H. Implications for rock instability precursors and principal stress direction from rock acoustic experiments. Int. J. Min. Sci. Technol. 2021, 31, 789–798. [Google Scholar] [CrossRef]
- Dong, L.J.; Wesseloo, J.; Potvin, Y.; Li, X.B. Discriminant models of blasts and seismic events in mine seismology. Int. J. Rock Mech. Min. Sci. 2016, 86, 282–291. [Google Scholar] [CrossRef]
- Dong, L.J.; Zou, W.; Li, X.B.; Shu, W.W.; Wang, Z.W. Collaborative localization method using analytical and iterative solutions for microseismic/acoustic emission sources in the rockmass structure for underground mining. Eng. Fract. Mech. 2019, 210, 95–112. [Google Scholar] [CrossRef]
- Dong, L.J.; Hu, Q.C.; Tong, X.J.; Liu, Y.F. Velocity-Free MS/AE Source Location Method for Three-Dimensional Hole-Containing Structures. Engineering 2020, 6, 827–834. [Google Scholar] [CrossRef]
- Dong, L.J.; Zou, W.; Sun, D.Y.; Tong, X.J.; Li, X.B.; Shu, W.W. Some Developments and New Insights for Microseismic/Acoustic Emission Source Localization. Shock Vib. 2019, 2019, 9732606. [Google Scholar] [CrossRef]
- Dong, L.J.; Tong, X.J.; Ma, J. Quantitative Investigation of Tomographic Effects in Abnormal Regions of Complex Structures. Engineering 2021. [Google Scholar] [CrossRef]
- Dong, L.J.; Tong, X.J.; Hu, Q.C.; Tao, Q. Empty region identification method and experimental verification for the two-dimensional complex structure. Int. J. Rock Mech. Min. Sci. 2021, 147, 104885. [Google Scholar] [CrossRef]
- Ma, J.; Dong, L.J.; Zhao, G.Y.; Li, X.B. Discrimination of seismic sources in an underground mine using full waveform inversion. Int. J. Rock Mech. Min. Sci. 2018, 106, 213–222. [Google Scholar] [CrossRef]
- Ma, J.; Dong, L.J.; Zhao, G.Y.; Li, X.B. Focal Mechanism of Mining-Induced Seismicity in Fault Zones: A Case Study of Yongshaba Mine in China. Rock Mech. Rock Eng. 2019, 52, 3341–3352. [Google Scholar] [CrossRef]
- Aminzadeh, F.; Tafti, T.A.; Maity, D. An integrated methodology for sub-surface fracture characterization using microseismic data: A case study at the NW Geysers. Comput. Geosci. 2013, 54, 39–49. [Google Scholar] [CrossRef]
- Ma, J.; Dong, L.J.; Zhao, G.Y.; Li, X.B. Ground motions induced by mining seismic events with different focal mechanisms. Int. J. Rock Mech. Min. Sci. 2019, 116, 99–110. [Google Scholar] [CrossRef]
- Dong, L.J.; Li, X.B.; Peng, K. Prediction of rockburst classification using Random Forest. Trans. Nonferrous Met. Soc. China 2013, 23, 472–477. [Google Scholar] [CrossRef]
- Ma, T.H.; Tang, C.A.; Tang, S.B.; Kuang, L.; Yu, Q.; Kong, D.Q.; Zhu, X. Rockburst mechanism and prediction based on microseismic monitoring. Int. J. Rock Mech. Min. Sci. 2018, 110, 177–188. [Google Scholar] [CrossRef]
- Dong, L.J.; Sun, D.Y.; Li, X.B.; Ma, J.; Zhang, L.Y.; Tong, X.J. Interval non-probabilistic reliability of surrounding jointed rockmass considering microseismic loads in mining tunnels. Tunn. Undergr. Space Technol. 2018, 81, 326–335. [Google Scholar] [CrossRef]
- Dou, L.M.; Cai, W.; Cao, A.Y.; Guo, W.H. Comprehensive early warning of rock burst utilizing microseismic multi-parameter indices. Int. J. Min. Sci. Technol. 2018, 28, 767–774. [Google Scholar] [CrossRef]
- Dong, L.J.; Tao, Q.; Hu, Q.C. Influence of temperature on acoustic emission source location accuracy in underground structure. Trans. Nonferrous Met. Soc. China 2021, 31, 2468–2478. [Google Scholar] [CrossRef]
- Vallejos, J.A.; McKinnon, S.D. Logistic regression and neural network classification of seismic records. Int. J. Rock Mech. Min. Sci. 2013, 62, 86–95. [Google Scholar] [CrossRef]
- Malovichko, D. Discrimination of blasts in mine seismology. In Proceedings of the Sixth International Seminar on Deep and High Stress Mining; Potvin, Y., Ed.; Australian Centre for Geomechanics: Perth, Australia, 2012; pp. 161–172. [Google Scholar]
- Allmann, B.P.; Shearer, P.M.; Hauksson, E. Spectral discrimination between quarry blasts and earthquakes in Southern California. Bull. Seismol. Soc. Am. 2008, 98, 2073–2079. [Google Scholar] [CrossRef][Green Version]
- Lu, C.P.; Dou, L.M.; Wu, X.R.; Mu, Z.L.; Chen, G.X. Experimental and empirical research on frequency-spectrum evolvement rule of rockburst precursory microseismic signals of coal-rock. Chin. J. Rock Mech. Eng. 2008, 27, 519–525. [Google Scholar]
- Frantti, G.E.; Levereault, L.A. Auditory discrimination of seismic signals from earthquakes and explosions. Bull. Seismol. Soc. Am. 1965, 55, 1–25. [Google Scholar] [CrossRef]
- Taylor, S.R. Analysis of high-frequency Pg/Lg ratios from NTS explosions and western US earthquakes. Bull. Seismol. Soc. Am. 1996, 86, 1042–1053. [Google Scholar] [CrossRef]
- Jiang, W.W.; Yang, Z.L.; Xie, J.M.; Li, J.F. Application of FFT spectrum analysis to identify microseismic signals. Sci. Technol. Rev. 2015, 33, 86–90. [Google Scholar]
- Zhao, G.Y.; Deng, Q.L.; Ma, J. Recognition of mine microseismic signals based on FSWT time-frequency analysis. Chin. J. Geotech. Eng. 2015, 37, 306–312. [Google Scholar]
- He, Z.X.; Peng, P.A.; Liao, Z.Q. An automatic identification and classification method of complex microseismic signals in mines based on Mel-frequency cepstral coefficients. J. Saf. Sci. Technol. 2018, 14, 41–47. [Google Scholar]
- Muller, S.; Garda, P.; Muller, J.D.; Cansi, Y. Seismic events discrimination by neuro-fuzzy merging of signal and catalogue features. Phys. Chem. Earth Part A Solid Earth Geod. 1999, 24, 201–206. [Google Scholar] [CrossRef]
- Orlic, N.; Loncaric, S. Earthquake-explosion discrimination using genetic algorithm-based boosting approach. Comput. Geosci. 2010, 36, 179–185. [Google Scholar] [CrossRef]
- Dowla, F.U. Neural Networks in Seismic Discrimination. In Monitoring a Comprehensive Test Ban Treaty; Husebye, E.S., Dainty, A.M., Eds.; Springer: Dordrecht, The Netherlands, 1996; Volume 303, pp. 777–789. [Google Scholar]
- Shang, X.Y.; Li, X.B.; Morales-Esteban, A.; Chen, G.H. Improving microseismic event and quarry blast classification using artificial neural networks based on principal component analysis. Soil Dyn. Earthq. Eng. 2017, 99, 142–149. [Google Scholar] [CrossRef]
- Dong, L.J.; Wesseloo, J.; Potvin, Y.; Li, X.B. Discrimination of Mine Seismic Events and Blasts Using the Fisher Classifier, Naive Bayesian Classifier and Logistic Regression. Rock Mech. Rock Eng. 2016, 49, 183–211. [Google Scholar] [CrossRef]




| Index | Data Set of Microseismic Events | Data Set of Blasts | ||
|---|---|---|---|---|
| Mean | SD | Mean | SD | |
| lgM | 8.6416 | 0.792632813 | 9.4202 | 0.762676517 |
| lgE | 0.5806 | 1.245097177 | 2.3396 | 1.140919715 |
| N | 8.06 | 3.991879512 | 10.9 | 3.183182851 |
| LgA | −5.3976 | 0.580209533 | −4.1588 | 0.521393893 |
| lgT | −4.0314 | 0.452124283 | −3.328 | 0.441546448 |
| F | 35.7 | 18.61629745 | 79.958 | 23.38982938 |
| Scholar | Methods or Objects | Accuracy |
|---|---|---|
| Malovichko [18] | Multivariate maximum likelihood Gaussian classifier | 20% reclassify |
| Frantti and Levereault [21] | Spectrum analysis | 2/3 |
| Tayler [22] | Maximum likelihood Gaussian + BP neural network | 95% |
| Jiang et al. [23] | FFT spectrum analysis | |
| Zhao et al. [24] | Linear regression + Fisher discriminant | 97.1% |
| Muller et al. [26] | Neural network | 90% |
| Orlic and Loncaric [27] | Genetic algorithm | 85% |
| Vallejos and McKinnon [17] | Logistic Regression and neural work | 95% |
| Classifier | ACC | PPV | SEN | NPV | SPE | FAR |
|---|---|---|---|---|---|---|
| Decision Tree | 1.000 | 1.000 | 1.000 | 1.000 | 1.000 | 0.000 |
| Random Forest | 1.000 | 1.000 | 1.000 | 1.000 | 1.000 | 0.000 |
| Logistic Regression | 0.980 | 1.000 | 0.962 | 0.960 | 1.000 | 0.000 |
| SVM | 1.000 | 1.000 | 1.000 | 1.000 | 1.000 | 0.000 |
| GBDT | 1.000 | 1.000 | 1.000 | 1.000 | 1.000 | 0.000 |
| KNN | 0.940 | 1.000 | 0.893 | 0.880 | 1.000 | 0.000 |
| AdaBoost | 1.000 | 1.000 | 1.000 | 1.000 | 1.000 | 0.000 |
| Naive Bayes | 0.980 | 1.000 | 0.962 | 0.960 | 1.000 | 0.000 |
| Bagging | 0.980 | 1.000 | 0.962 | 0.960 | 1.000 | 0.000 |
| MLP | 1.000 | 1.000 | 1.000 | 1.000 | 1.000 | 0.000 |
| Classifier | ACC | PPV | SEN | NPV | SPE | FAR |
|---|---|---|---|---|---|---|
| Decision Tree | 0.860 | 0.800 | 0.909 | 0.920 | 0.821 | 0.178 |
| Random Forest | 0.940 | 0.920 | 0.958 | 0.960 | 0.923 | 0.077 |
| Logistic Regression | 0.920 | 0.880 | 0.956 | 0.960 | 0.889 | 0.111 |
| SVM | 0.680 | 0.400 | 0.909 | 0.960 | 0.615 | 0.385 |
| GBDT | 0.860 | 0.800 | 0.909 | 0.920 | 0.821 | 0.179 |
| KNN | 0.940 | 0.920 | 0.958 | 0.960 | 0.923 | 0.077 |
| AdaBoost | 0.860 | 0.800 | 0.909 | 0.920 | 0.821 | 0.178 |
| Naive Bayes | 0.820 | 0.640 | 1.000 | 1.000 | 0.735 | 0.265 |
| Bagging | 0.920 | 0.840 | 1.000 | 1.000 | 0.862 | 0.138 |
| MLP | 0.900 | 0.840 | 0.955 | 0.960 | 0.857 | 0.143 |
| Group | Model | ACC | Parameters |
|---|---|---|---|
| All Data | Decision Tree | 0.940 | Criterion = ‘gini’ Max_depth = 3 Min_impurity_decrease = 0.0 Min_samples_leaf = 1 Splitter = ‘best’ |
| Random Forest | 0.960 | N_estimators = 31 Max_depth = 6 Min_samples_leaf = 1 Min_sanmples_split = 2 Criterion = ‘entropy’ | |
| Logistic Regression | 0.950 | C = 1.0 Class_weight = ‘balanced’ Solver = ‘liblinear’ | |
| SVM | 0.870 | Kernel = ‘rbf’ Probability = True | |
| GBDT | 0.950 | ||
| KNN | 0.940 | N_neighbors = 5 | |
| AdaBoost | 0.960 | Max_depth = 2 Min_samples_split = 20 Min_samples_leaf = 5 Algorithm = ‘SAMME’ N_estimators = 200 Learning_rate = 0.8 | |
| Naive Bayes | 0.950 | Priors = None Var_smoothing = 1 × 10−9 | |
| Bagging | 0.900 | Max_samples = 0.5 Max_features = 0.5 | |
| MLP | 0.950 | Solver = ‘lbfgs’ Alpha = 1e-5 Hidden_layer_sizes = (30,20) Random_state = 1 | |
| Training Data | Decision Tree | 0.920 | Criterion = ‘gini’ Max_depth = 3 Min_impurity_decrease = 0.0 Min_samples_leaf = 1 Splitter = ‘random’ |
| Random Forest | 0.983 | N_estimators = 11 Max_depth = 3 Min_samples_leaf = 1 Min_sanmples_split = 2 Criterion = ‘gini’ | |
| Logistic Regression | 0.980 | C = 1.0 Class_weight = ‘balanced’ Solver = ‘liblinear’ | |
| SVM | 0.775 | Kernel = ‘rbf’ Probability = True | |
| GBDT | 0.891 | ||
| KNN | 0.892 | N_neighbors = 2 | |
| AdaBoost | 0.967 | Max_depth = 2 Min_samples_split = 20 Min_samples_leaf = 5 Algorithm = ‘SAMME’ N_estimators = 200 Learning_rate = 0.8 | |
| Naive Bayes | 0.975 | Priors = None Var_smoothing = 1 × 10−9 | |
| Bagging | 0.875 | Max_samples = 0.5 Max_features = 0.5 | |
| MLP | 0.958 | Solver = ‘lbfgs’ Alpha = 1 × 10−5 Hidden_layer_sizes = (30,20) Random_state = 1 | |
| Test Data | Decision Tree | 0.940 | Criterion = ‘gini’ Max_depth = 2 Min_impurity_decrease = 0.0 Min_samples_leaf = 1 Splitter = ‘best’ |
| Random Forest | 0.933 | N_estimators = 91 Max_depth = 4 Min_samples_leaf = 1 Min_sanmples_split = 2 Criterion = ‘gini’ | |
| Logistic Regression | 0.960 | C = 1.0 Class_weight = ‘balanced’ Solver = ‘liblinear’ | |
| SVM | 0.675 | Kernel = ‘rbf’ Probability = True | |
| GBDT | 0.833 | ||
| KNN | 0.858 | N_neighbors = 4 | |
| AdaBoost | 0.850 | Max_depth = 2 Min_samples_split = 20 Min_samples_leaf = 5 Algorithm = ‘SAMME’ N_estimators = 200 Learning_rate = 0.8 | |
| Naive Bayes | 0.900 | Priors = None Var_smoothing = 1 × 10−9 | |
| Bagging | 0.833 | Max_samples = 0.5 Max_features = 0.5 | |
| MLP | 0.892 | Solver = ‘lbfgs’ Alpha = 1 × 10−5 Hidden_layer_sizes = (30,20) Random_state = 1 |
| Methods | Training Data | Test Data | All Data |
|---|---|---|---|
| Decision Tree | **** | **** | **** |
| Random Forest | ***** | **** | ***** |
| Logistic Regression | ***** | ***** | ***** |
| SVM | * | * | *** |
| GBDT | *** | ** | ***** |
| KNN | *** | *** | **** |
| AdaBoost | ***** | *** | ***** |
| Naive Bayes | ***** | **** | ***** |
| Bagging | *** | ** | **** |
| MLP | ***** | *** | ***** |
Publisher’s Note: MDPI stays neutral with regard to jurisdictional claims in published maps and institutional affiliations. |
© 2021 by the authors. Licensee MDPI, Basel, Switzerland. This article is an open access article distributed under the terms and conditions of the Creative Commons Attribution (CC BY) license (https://creativecommons.org/licenses/by/4.0/).
Share and Cite
Peng, K.; Tang, Z.; Dong, L.; Sun, D. Machine Learning Based Identification of Microseismic Signals Using Characteristic Parameters. Sensors 2021, 21, 6967. https://doi.org/10.3390/s21216967
Peng K, Tang Z, Dong L, Sun D. Machine Learning Based Identification of Microseismic Signals Using Characteristic Parameters. Sensors. 2021; 21(21):6967. https://doi.org/10.3390/s21216967
Chicago/Turabian StylePeng, Kang, Zheng Tang, Longjun Dong, and Daoyuan Sun. 2021. "Machine Learning Based Identification of Microseismic Signals Using Characteristic Parameters" Sensors 21, no. 21: 6967. https://doi.org/10.3390/s21216967
APA StylePeng, K., Tang, Z., Dong, L., & Sun, D. (2021). Machine Learning Based Identification of Microseismic Signals Using Characteristic Parameters. Sensors, 21(21), 6967. https://doi.org/10.3390/s21216967

