Ultrasound Assessment of Honey Using Fast Fourier Transform
Abstract
1. Introduction
2. Materials and Methods
2.1. Ultrasound Parameters
2.2. Texture Analysis
3. Results and Discussion
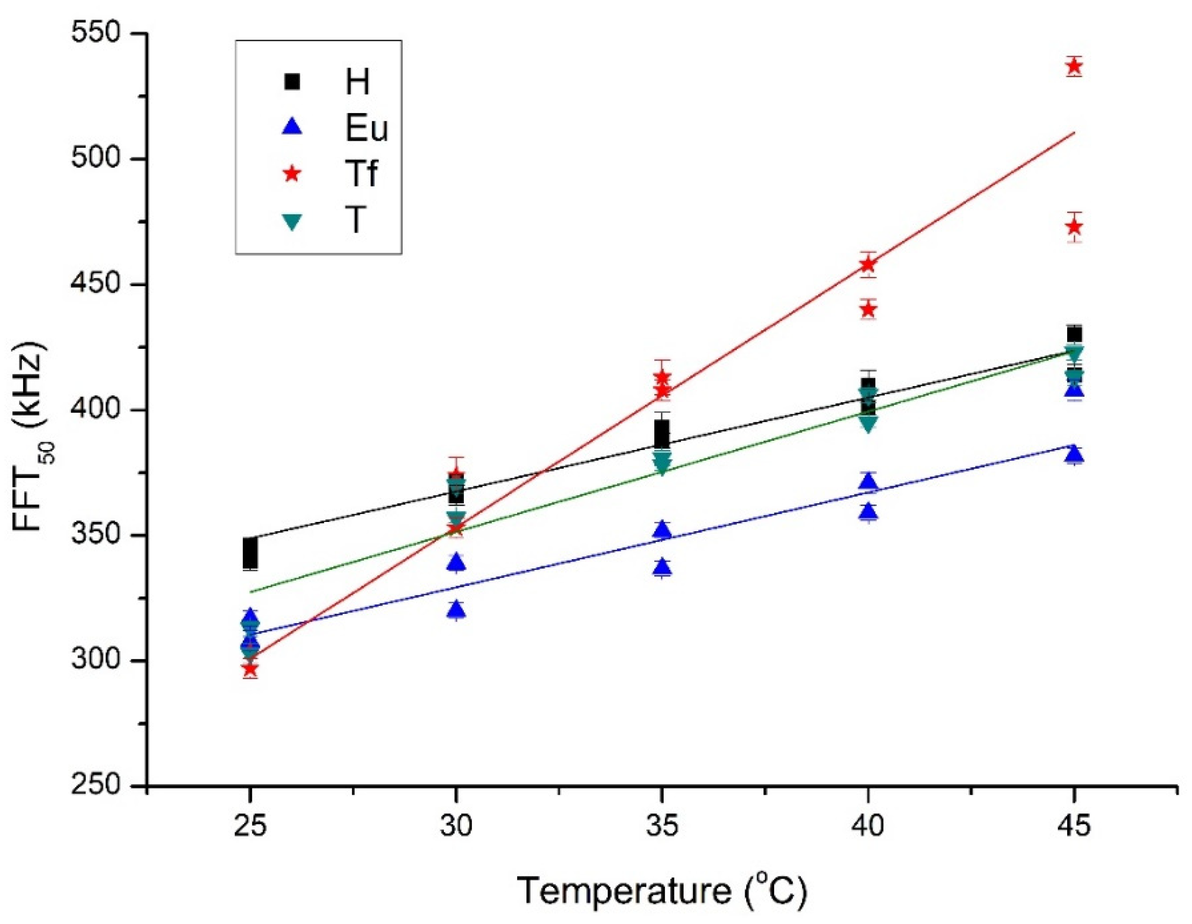
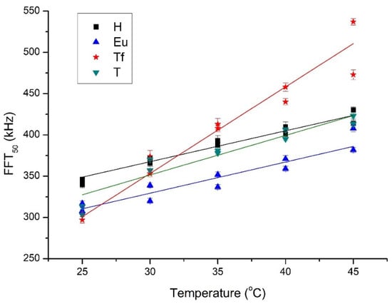
3.1. Fast Fourier Transform
3.2. Correlation Study
4. Conclusions
Author Contributions
Funding
Institutional Review Board Statement
Informed Consent Statement
Data Availability Statement
Conflicts of Interest
References
- Ouchemoukh, S.; Louaileche, H.; Schweitzer, P. Physicochemical characteristics and pollen spectrum of some Algerian honeys. Food Control 2007, 18, 52–58. [Google Scholar] [CrossRef]
- Awad, T.S.; Moharram, H.A.; Shaltout, O.E.; Asker, D.; Youssef, M.M. Applications of ultrasound in analysis, processing and quality control of food: A review. Food Res. Int. 2012, 48, 410–427. [Google Scholar] [CrossRef]
- Seraglio, S.K.T.; Silva, B.; Bergamo, G.; Brugnerotto, P.; Gonzaga, L.V.; Fett, R.; Costa, A.C.O. An overview of physicochemical characteristics and health-promoting properties of honeydew honey. Food Res. Int. 2019, 119, 44–66. [Google Scholar] [CrossRef] [PubMed]
- Ávila, S.; Hornung, P.S.; Teixeira, G.L.; Malunga, L.N.; Apea-Bah, F.B.; Beux, M.R.; Beta, T.; Ribani, R.H. Bioactive compounds and biological properties of Brazilian stingless bee honey have a strong relationship with the pollen floral origin. Food Res. Int. 2019, 123, 1–10. [Google Scholar] [CrossRef] [PubMed]
- Ciursa, P.; Oroian, M. Voltammetric e-tongue for honey adulteration detection. Sensors 2021, 21, 5559. [Google Scholar] [CrossRef] [PubMed]
- Zhao, Z.; Chen, L.; Liu, F.; Zhou, F.; Peng, J.; Sun, M. Fast classification of geographical origins of honey based on laser-induced breakdown spectroscopy and multivariate analysis. Sensors 2020, 20, 1878. [Google Scholar] [CrossRef] [PubMed]
- Geană, E.I.; Ciucure, C.T.; Costinel, D.; Ionete, R.E. Evaluation of honey in terms of quality and authenticity based on the general physicochemical pattern, major sugar composition and δ13C signature. Food Control 2020, 109, 106919. [Google Scholar] [CrossRef]
- Guelpa, A.; Marini, F.; du Plessis, A.; Slabbert, R.; Manley, M. Verification of authenticity and fraud detection in South African honey using NIR spectroscopy. Food Control 2017, 73, 1388–1396. [Google Scholar] [CrossRef]
- Pérez-Santaescolástica, C.; Fraeye, I.; Barba, F.J.; Gómez, B.; Tomasevic, I.; Romero, A.; Moreno, A.; Toldrá, F.; Lorenzo, J.M. Application of non-invasive technologies in dry-cured ham: An overview. Trends Food Sci. Technol. 2019, 86, 360–374. [Google Scholar] [CrossRef]
- González-Mohino, A.; Jiménez, A.; Rufo, M.; Paniagua, J.M.; Nas, S.V.; Olegario, L.S. Changes of ultrasonic parameters as a tool to determine the influence of cooking in pork loin samples. Acta Acust. United Acust. 2019, 105, 943–952. [Google Scholar] [CrossRef]
- Alouache, B.; Laux, D.; Hamitouche, A.; Bachari, K.; Boutkedjirt, T. Ultrasonic characterization of edible oils using a generalized fractional model. Appl. Acoust. 2018, 131, 70–78. [Google Scholar] [CrossRef]
- Budelli, E.; Pérez, N.; Negreira, C.; Lema, P. Evaluation of ultrasonic techniques for on line coagulation monitoring in cheesemaking. J. Food Eng. 2017, 209, 83–88. [Google Scholar] [CrossRef]
- Jiménez, A.; Rufo, M.; Paniagua, J.M.; Crespo, A.T.; Guerrero, M.P.; Riballo, M.J. Contributions to ultrasound monitoring of the process of milk curdling. Ultrasonics 2017, 76, 192–199. [Google Scholar] [CrossRef] [PubMed]
- Singh, V.R.; Dwivedi, S. Ultrasonic detection of adulteration in fluid foods. In Proceedings of the First Regional Conference, IEEE Engineering in Medicine and Biology Society and 14th Conference of the Biomedical Engineering Society of India, New Delhi, India, 15–18 February 1995; pp. 73–74, An International Meet. [Google Scholar]
- Ratajski, A.; Białobrzewski, I.; Dajnowiec, F.; Bakier, S. The Use of Ultrasonic Methods in the Identification of Honey Types. Tech. Sci. 2010, 13, 22–29. [Google Scholar] [CrossRef][Green Version]
- Oroian, M. Measurement, prediction and correlation of density, viscosity, surface tension and ultrasonic velocity of different honey types at different temperatures. J. Food Eng. 2013, 119, 167–172. [Google Scholar] [CrossRef]
- González-Mohino, A.; Jiménez, A.; Paniagua, M.J.; Perez-Palacios, T.; Rufo, M. New contributions of ultrasound inspection to the characterization of different varieties of honey. Ultrasonics 2019, 96, 83–89. [Google Scholar] [CrossRef] [PubMed]
- Malcom, J.W.; Povey, T.J.M. Ultrasound in Food Processing; Mason, M.P.T.J., Ed.; Springer: Berlin/Heidelberg, Germany, 1998; ISBN 0-7514-0429-2. [Google Scholar]
- Da Silva, V.M.; de Torres Filho, R.A.; de Resende, J.V. Rheological properties of selected Brazilian honeys as a function of temperature and soluble solid concentration. Int. J. Food Prop. 2017, 20, S2481–S2494. [Google Scholar] [CrossRef]
- Afonso, M.J.; Magalhães, M.; Fernandes, L.; Castro, M.; Ramalhosa, E.C.D. Temperature Effect on Rheological Behavior of Portuguese Honeys. Pol. J. Food Nutr. Sci. 2018, 68, 217–222. [Google Scholar] [CrossRef]
- Recondo, M.P.; Elizalde, B.E.; Buera, M.P. Modeling temperature dependence of honey viscosity and of related supersaturated model carbohydrate systems. J. Food Eng. 2006, 77, 126–134. [Google Scholar] [CrossRef]







| Parameter | Measurement Temperature | Honey Types | |||||||
|---|---|---|---|---|---|---|---|---|---|
| H1 | H2 | Eu1 | Eu2 | Tf1 | Tf2 | T1 | T2 | ||
| FFT25 | 45 °C | 347 | 373 | 348 | 341 | 431 | 468 | 331 | 357 | 
| 40 °C | 330 | 345 | 326 | 300 | 391 | 408 | 313 | 330 | |
| 35 °C | 313 | 333 | 304 | 270 | 351 | 356 | 295 | 291 | |
| 30 °C | 300 | 286 | 288 | 262 | 287 | 295 | 273 | 279 | |
| 25 °C | 278 | 273 | 249 | 259 | 251 | 258 | 247 | 249 | |
| FFT50 | 45 °C | 414 | 430 | 382 | 408 | 473 | 537 | 413 | 423 | 
| 40 °C | 401 | 410 | 359 | 371 | 440 | 458 | 395 | 406 | |
| 35 °C | 388 | 393 | 337 | 352 | 408 | 413 | 378 | 381 | |
| 30 °C | 372 | 366 | 320 | 339 | 353 | 374 | 357 | 370 | |
| 25 °C | 346 | 340 | 308 | 317 | 297 | 304 | 303 | 313 | |
| FFT75 | 45 °C | 473 | 483 | 469 | 467 | 523 | 641 | 492 | 479 | 
| 40 °C | 461 | 463 | 436 | 438 | 491 | 513 | 450 | 462 | |
| 35 °C | 449 | 446 | 419 | 418 | 458 | 477 | 436 | 441 | |
| 30 °C | 431 | 423 | 415 | 410 | 416 | 431 | 419 | 437 | |
| 25 °C | 408 | 406 | 385 | 381 | 351 | 363 | 387 | 392 | |
| FFTcentral | 45 °C | 405 | 434 | 465 | 404 | 438 | 477 | 423 | 440 | 
| 40 °C | 351 | 427 | 365 | 308 | 433 | 431 | 400 | 403 | |
| 35 °C | 296 | 416 | 265 | 226 | 427 | 427 | 377 | 409 | |
| 30 °C | 357 | 274 | 270 | 273 | 276 | 410 | 268 | 414 | |
| 25 °C | 286 | 270 | 272 | 278 | 282 | 275 | 271 | 272 | |
| eFFT | 45 °C | 4 | 4 | 3 | 4 | 6 | 4 | 3 | 3 | 
| 40 °C | 3 | 6 | 3 | 4 | 4 | 5 | 2 | 3 | |
| 35 °C | 3 | 6 | 3 | 3 | 4 | 7 | 2 | 3 | |
| 30 °C | 2 | 4 | 3 | 3 | 4 | 7 | 2 | 3 | |
| 25 °C | 3 | 4 | 4 | 3 | 4 | 6 | 4 | 3 | |
| Honey | FFT25 | FFT50 | FFT75 | FFTcentral | ||||||||
|---|---|---|---|---|---|---|---|---|---|---|---|---|
| m | n | r | m | n | r | m | n | r | m | n | r | |
| H | 4.3 ± 0.5 | 168 ± 16 | 0.957 | 3.9 ± 0.3 | 250 ± 10 | 0.980 | 3.54 ± 0.18 | 320 ± 6 | 0.990 | 7.1 ± 1.9 | 100 ± 70 | 0.801 | 
| Eu | 4.4 ± 0.6 | 141 ± 22 | 0.927 | 4.0 ± 0.5 | 209 ± 17 | 0.948 | 3.9 ± 0.3 | 288 ± 11 | 0.977 | 7.7 ± 2.3 | 40 ± 80 | 0.765 | 
| Tf | 10.0 ± 0.5 | 0 ± 19 | 0.989 | 9.9 ± 0.8 | 60 ± 30 | 0.973 | 10.6 ± 1.5 | 100 ± 50 | 0.931 | 10.6 ± 1.5 | 80 ± 70 | 0.857 | 
| T | 4.8 ± 0.4 | 130 ± 13 | 0.976 | 5.1 ± 0.6 | 194 ± 20 | 0.954 | 4.4 ± 0.4 | 256 ± 15 | 0.965 | 7.6 ± 1.9 | 100 ± 70 | 0.821 | 
| Temperature | Adhesiveness | Chewiness | Gumminess | Hardness | |
|---|---|---|---|---|---|
| FFT25 | 35 °C | 0.13 | −0.05 | −0.01 | −0.09 | 
| 30 °C | 0.11 | −0.34 | −0.04 | −0.30 | |
| 25 °C | 0.08 | −0.13 | −0.26 | −0.19 | |
| FFT50 | 35 °C | 0.28 | −0.21 | −0.19 | −0.24 | 
| 30 °C | 0.75 * | −0.81 * | −0.82 * | −0.82 * | |
| 25 °C | 0.33 | −0.32 | −0.51 | −0.41 | |
| FFT75 | 35 °C | 0.21 | −0.11 | −0.09 | −0.17 | 
| 30 °C | 0.69 | −0.75 * | −0.67 | −0.72 * | |
| 25 °C | 0.63 | −0.58 | −0.79 * | −0.69 | |
| FFTcentral | 35 °C | 0.63 | −0.59 | −0.57 | −0.64 | 
| 30 °C | 0.39 | −0.45 | −0.46 | −0.42 | |
| 25 °C | −0.37 | 0.32 | 0.26 | 0.32 | 
| Publisher’s Note: MDPI stays neutral with regard to jurisdictional claims in published maps and institutional affiliations. | 
© 2021 by the authors. Licensee MDPI, Basel, Switzerland. This article is an open access article distributed under the terms and conditions of the Creative Commons Attribution (CC BY) license (https://creativecommons.org/licenses/by/4.0/).
Share and Cite
Rufo, M.; Jiménez, A.; Paniagua, J.M.; González-Mohíno, A. Ultrasound Assessment of Honey Using Fast Fourier Transform. Sensors 2021, 21, 6748. https://doi.org/10.3390/s21206748
Rufo M, Jiménez A, Paniagua JM, González-Mohíno A. Ultrasound Assessment of Honey Using Fast Fourier Transform. Sensors. 2021; 21(20):6748. https://doi.org/10.3390/s21206748
Chicago/Turabian StyleRufo, Montaña, Antonio Jiménez, Jesús M. Paniagua, and Alberto González-Mohíno. 2021. "Ultrasound Assessment of Honey Using Fast Fourier Transform" Sensors 21, no. 20: 6748. https://doi.org/10.3390/s21206748
APA StyleRufo, M., Jiménez, A., Paniagua, J. M., & González-Mohíno, A. (2021). Ultrasound Assessment of Honey Using Fast Fourier Transform. Sensors, 21(20), 6748. https://doi.org/10.3390/s21206748
 
         
                                                


 
       