Modeling of Downlink Interference in Massive MIMO 5G Macro-Cell †
Abstract
1. Introduction
- interference cancelation, mitigation, awareness, and management methods,
- interference modeling and assessment methods,
- interference estimation and measurement methods.
2. Multi-Beam Antenna System—Practical Aspects
3. Interference Evaluation in Downlink
3.1. Fundamentals of the Multi-Elliptical Propagation Model
3.2. Fundamentals of 3GPP Channel Model
- azimuth spread of departure (ASD),
- zenith (i.e., elevation) spread of departure (ZSD),
- azimuth spread of arrival (ASA),
- zenith spread of arrival (ZSA).
4. Simulation Studies
4.1. Assumptions
- in case of the MPM:
- o
- PDPs are based on tapped-delay line (TDL) models from the 3GPP standard [28] (pp. 77–78, Tables 7.7.2-2, 7.7.2-4), i.e., TDL-D and TDL-B for LOS and NLOS conditions, respectively;
- o
- these TDLs correspond an UMa scenario and normal-delay profile, i.e., rms delay spread (DS) is equal to [28] (pp. 80, Table 7.7.3-2);
- o
- in the TDL-D for LOS conditions, the Rician factor is defined as [28] (pp. 78, Table 7.7.2-4);
- o
- local scattering described by the von Mises distribution [39] with an intensity coefficient equal to
- in case of the 3GPP model:
- o
- New Radio (NR) UMa LOS and NLOS statistical channel models with parameters from [28] (Section 7.5);
- o
- Monte Carlo simulation methodology with 1000 repetitions of statistical channel model realizations.
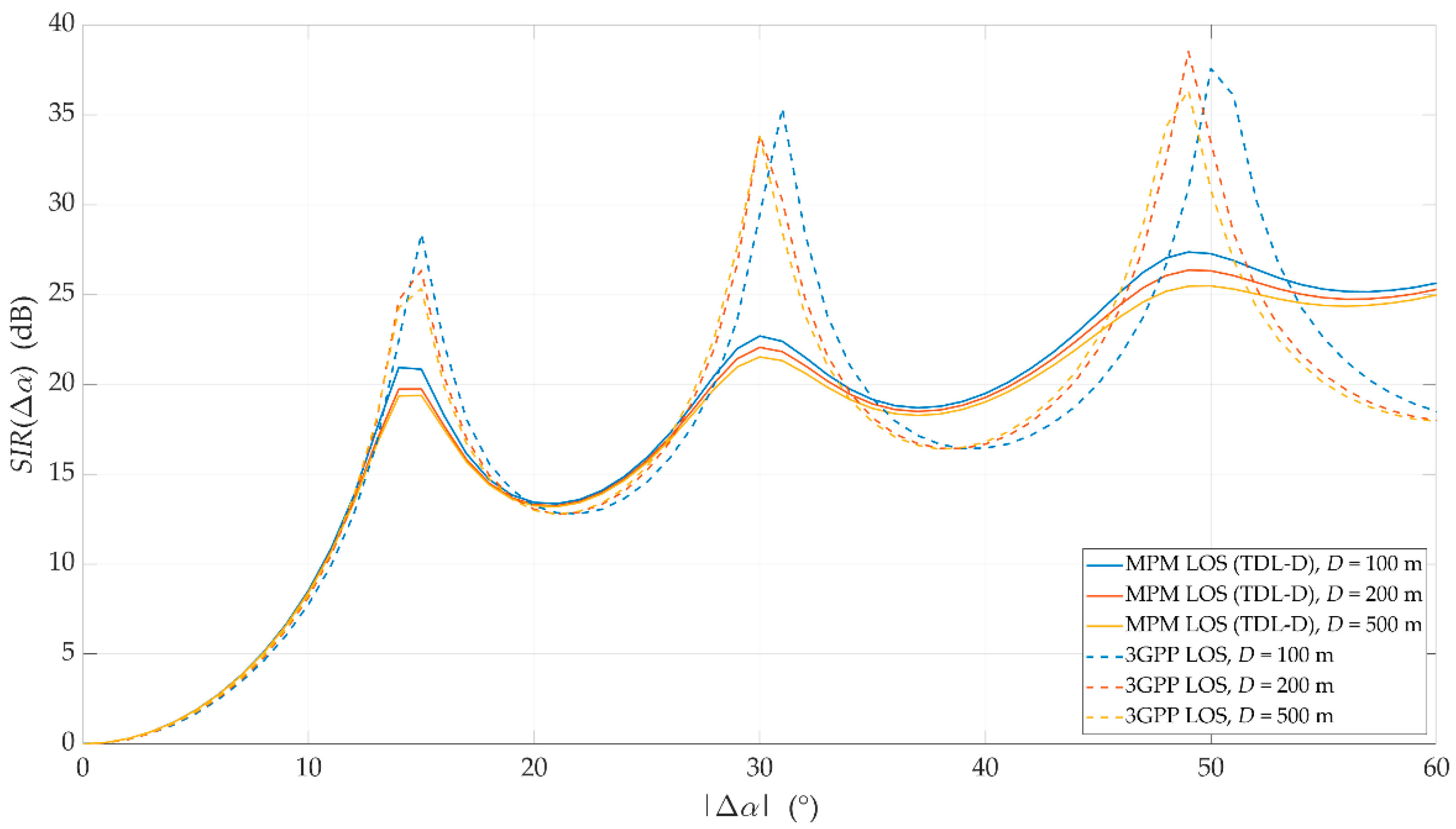
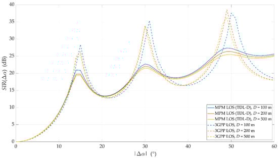
4.2. Results for LOS Conditions
4.3. Results for NLOS Conditions
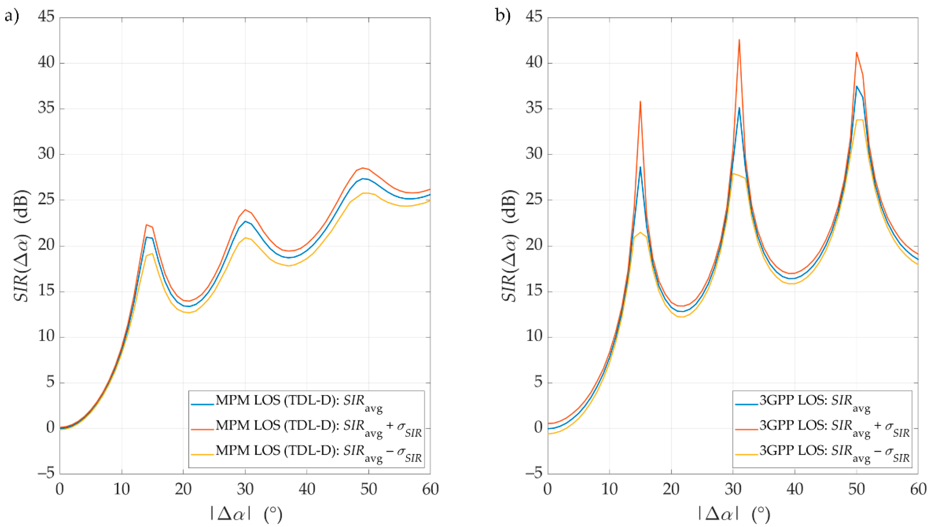
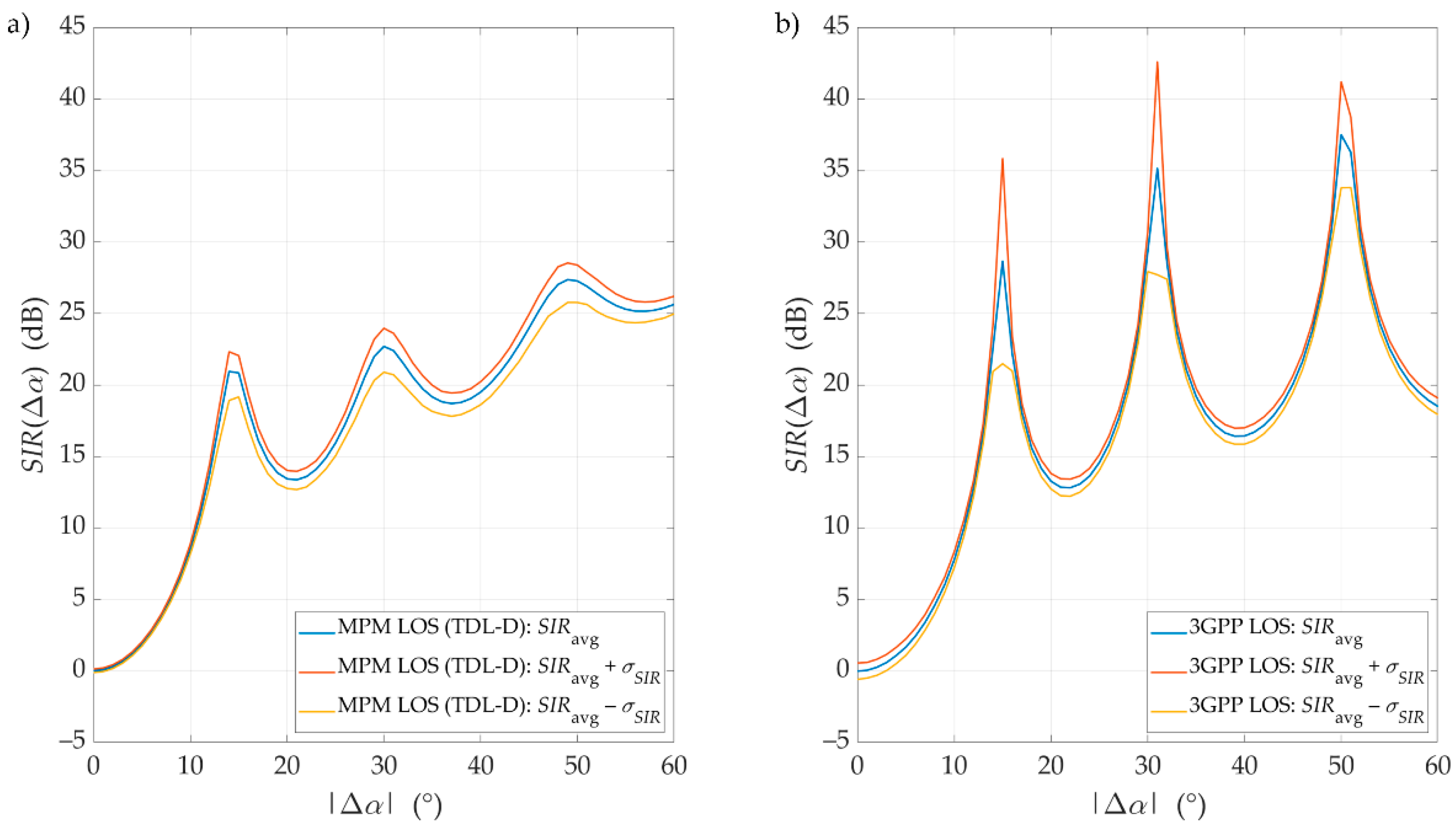
4.4. Analysis of SIR Confidence Intervals
5. Conclusions
Author Contributions
Funding
Institutional Review Board Statement
Informed Consent Statement
Data Availability Statement
Acknowledgments
Conflicts of Interest
References
- Agiwal, M.; Roy, A.; Saxena, N. Next generation 5G wireless networks: A comprehensive survey. IEEE Commun. Surv. Tutor. 2016, 18, 1617–1655. [Google Scholar] [CrossRef]
- Gupta, A.; Jha, R.K. A Survey of 5G network: Architecture and emerging technologies. IEEE Access 2015, 3, 1206–1232. [Google Scholar] [CrossRef]
- Hemadeh, I.A.; Satyanarayana, K.; El-Hajjar, M.; Hanzo, L. Millimeter-wave communications: Physical channel models, design considerations, antenna constructions, and link-budget. IEEE Commun. Surv. Tutor. 2018, 20, 870–913. [Google Scholar] [CrossRef]
- Geng, S.; Kivinen, J.; Zhao, X.; Vainikainen, P. Millimeter-wave propagation channel characterization for short-range wireless communications. IEEE Trans. Veh. Technol. 2009, 58, 3–13. [Google Scholar] [CrossRef]
- Kelner, J.M.; Ziółkowski, C. Interference in multi-beam antenna system of 5G network. Int. J. Electron. Telecommun. 2020, 66, 17–23. [Google Scholar] [CrossRef]
- Larsson, E.G.; Edfors, O.; Tufvesson, F.; Marzetta, T.L. Massive MIMO for next generation wireless systems. IEEE Commun. Mag. 2014, 52, 186–195. [Google Scholar] [CrossRef]
- Araújo, D.C.; Maksymyuk, T.; de Almeida, A.L.F.; Maciel, T.; Mota, J.C.M.; Jo, M. Massive MIMO: Survey and future research topics. IET Commun. 2016, 10, 1938–1946. [Google Scholar] [CrossRef]
- Ahmed, I.; Khammari, H.; Shahid, A.; Musa, A.; Kim, K.S.; Poorter, E.D.; Moerman, I. A Survey on Hybrid Beamforming Techniques in 5G: Architecture and System Model Perspectives. IEEE Commun. Surv. Tutor. 2018, 20, 3060–3097. [Google Scholar] [CrossRef]
- Liu, W.; Weiss, S. Wideband Beamforming: Concepts and Techniques; Wiley: Chichester, UK, 2010; ISBN 978-0-470-71392-1. [Google Scholar]
- Kelner, J.M.; Ziółkowski, C. Evaluation of angle spread and power balance for design of radio links with directional antennas in multipath environment. Phys. Commun. 2019, 32, 242–251. [Google Scholar] [CrossRef]
- Rajchowski, P.; Cwalina, K.K.; Magiera, J.; Olejniczak, A.; Kosz, P.; Czapiewska, A.; Burczyk, R.; Kowalewski, K.; Sadowski, J.; Ambroziak, S. AEGIS—Mobile device for generating electromagnetic curtain for special applications and countering the threats of RCIED. Int. J. Electron. Telecommun. 2020, 66, 187–192. [Google Scholar] [CrossRef]
- Lichtman, M.; Rao, R.; Marojevic, V.; Reed, J.; Jover, R.P. 5G NR jamming, spoofing, and sniffing: Threat assessment and mitigation. In Proceedings of the 2018 IEEE International Conference on Communications Workshops (ICC Workshops), Kansas City, MO, USA, 20–24 May 2018; pp. 1–6. [Google Scholar] [CrossRef]
- Arjoune, Y.; Faruque, S. Smart jamming attacks in 5G New Radio: A review. In Proceedings of the 2020 10th Annual Computing and Communication Workshop and Conference (CCWC), Las Vegas, NV, USA, 6–8 January 2020; pp. 1010–1015. [Google Scholar] [CrossRef]
- Kilzi, A.; Farah, J.; Nour, C.A.; Douillard, C. Mutual successive interference cancellation strategies in NOMA for enhancing the spectral efficiency of CoMP systems. IEEE Trans. Commun. 2020, 68, 1213–1226. [Google Scholar] [CrossRef]
- Ali, K.S.; Elsawy, H.; Chaaban, A.; Alouini, M. Non-orthogonal multiple access for large-scale 5G networks: Interference aware design. IEEE Access 2017, 5, 21204–21216. [Google Scholar] [CrossRef]
- Lee, H.; Park, Y.; Hong, D. Resource split full duplex to mitigate inter-cell interference in ultra-dense small cell networks. IEEE Access 2018, 6, 37653–37664. [Google Scholar] [CrossRef]
- Elsayed, M.; Shimotakahara, K.; Erol-Kantarci, M. Machine learning-based inter-beam inter-cell interference mitigation in mmWave. In Proceedings of the ICC 2020—2020 IEEE International Conference on Communications (ICC), Dublin, Ireland, 7–11 June 2020; pp. 1–6. [Google Scholar] [CrossRef]
- Mahmood, N.H.; Pedersen, K.I.; Mogensen, P. Interference aware inter-cell rank coordination for 5G systems. IEEE Access 2017, 5, 2339–2350. [Google Scholar] [CrossRef]
- Fernandes, F.; Ashikhmin, A.; Marzetta, T.L. Inter-cell interference in noncooperative TDD large scale antenna systems. IEEE J. Sel. Areas Commun. 2013, 31, 192–201. [Google Scholar] [CrossRef]
- Kim, S.; Visotsky, E.; Moorut, P.; Bechta, K.; Ghosh, A.; Dietrich, C. Coexistence of 5G with the incumbents in the 28 and 70 GHz bands. IEEE J. Sel. Areas Commun. 2017, 35, 1254–1268. [Google Scholar] [CrossRef]
- Cho, Y.; Kim, H.-K.; Nekovee, M.; Jo, H.-S. Coexistence of 5G with satellite services in the millimeter-wave band. IEEE Access 2020, 8, 163618–163636. [Google Scholar] [CrossRef]
- D’Andrea, C.; Buzzi, S.; Lops, M. Communications and radar coexistence in the massive MIMO regime: Uplink analysis. IEEE Trans. Wirel. Commun. 2020, 19, 19–33. [Google Scholar] [CrossRef]
- Xu, S.; Li, Y.; Gao, Y.; Liu, Y.; Gačanin, H. Opportunistic coexistence of LTE and WiFi for future 5G system: Experimental performance evaluation and analysis. IEEE Access 2018, 6, 8725–8741. [Google Scholar] [CrossRef]
- Xue, Q.; Li, B.; Zuo, X.; Yan, Z.; Yang, M. Cell capacity for 5G cellular network with inter-beam interference. In Proceedings of the 2016 IEEE International Conference on Signal Processing, Communications and Computing (ICSPCC), Hong Kong, China, 5–8 August 2016; pp. 1–5. [Google Scholar] [CrossRef]
- Hong, H.; Choi, S.W.; Kim, C.S.; Chong, Y.J. Interference measurement between 3.5 GHz 5G system and radar. In Proceedings of the 2018 International Conference on Information and Communication Technology Convergence (ICTC), Jeju, Korea, 17–19 October 2018; pp. 1539–1541. [Google Scholar] [CrossRef]
- Elgendi, H.; Mäenpää, M.; Levanen, T.; Ihalainen, T.; Nielsen, S.; Valkama, M. Interference measurement methods in 5G NR: Principles and performance. In Proceedings of the 2019 16th International Symposium on Wireless Communication Systems (ISWCS), Oulu, Finland, 27–30 August 2019; pp. 233–238. [Google Scholar] [CrossRef]
- Kelner, J.M.; Ziółkowski, C. Multi-elliptical geometry of scatterers in modeling propagation effect at receiver. In Antennas and Wave Propagation; Pinho, P., Ed.; IntechOpen: London, UK, 2018; pp. 115–141. ISBN 978-953-51-6014-4. [Google Scholar]
- Study on Channel Model for Frequencies from 0.5 to 100 GHz; Tech. Rep. 3GPP TR 38.901 V16.1.0 (2019-12), Release 16; 3rd Generation Partnership Project (3GPP); Technical Specification Group Radio Access Network: Valbonne, France, 2019.
- Evolved Universal Terrestrial Radio Access (E-UTRA) and Universal Terrestrial Radio Access (UTRA); Radio Frequency (RF) Requirement Background for Active Antenna System (AAS) Base Station (BS); Tech. Rep. 3GPP TR 37.842 V13.3.0 (2019-12), Release 13; 3rd Generation Partnership Project (3GPP): Valbonne, France, 2019.
- SWG Sharing Studies. In Working Document on Characteristics of Terrestrial Component of IMT for Sharing and Compatibility Studies in Preparation for WRC-23; Document 5D/TEMP/228-E; International Telecommunication Union (ITU), Radiocommunication Study Groups: Geneva, Switzerland, 2020.
- Bechta, K.; Rybakowski, M.; Du, J. Impact of effective antenna pattern on millimeter wave system performance in real propagation environment. In Proceedings of the 2019 13th European Conference on Antennas and Propagation (EuCAP), Krakow, Poland, 31 March–5 April 2019; pp. 1–5. [Google Scholar]
- Bechta, K.; Rybakowski, M.; Du, J. Efficiency of antenna array tapering in real propagation environment of millimeter wave system. In Proceedings of the 2019 13th European Conference on Antennas and Propagation (EuCAP), Krakow, Poland, 31 March–5 April 2019; pp. 1–4. [Google Scholar]
- Ziółkowski, C.; Kelner, J.M. Statistical evaluation of the azimuth and elevation angles seen at the output of the receiving antenna. IEEE Trans. Antennas Propag. 2018, 66, 2165–2169. [Google Scholar] [CrossRef]
- Ziółkowski, C.; Kelner, J.M. Geometry-based statistical model for the temporal, spectral, and spatial characteristics of the land mobile channel. Wirel. Pers. Commun. 2015, 83, 631–652. [Google Scholar] [CrossRef]
- Ziółkowski, C.; Kelner, J.M. Antenna pattern in three-dimensional modelling of the arrival angle in simulation studies of wireless channels. IET Microw. Antennas Propag. 2017, 11, 898–906. [Google Scholar] [CrossRef]
- Vaughan, R.; Bach Andersen, J. Channels, Propagation and Antennas for Mobile Communications; IET Electromagnetic Waves Series; Institution of Engineering and Technology: London, UK, 2003; ISBN 978-0-86341-254-7. [Google Scholar]
- Bechta, K.; Du, J.; Rybakowski, M. Rework the radio link budget for 5G and beyond. IEEE Access 2020, 8, 211585–211594. [Google Scholar] [CrossRef]
- Bechta, K.; Ziółkowski, C.; Kelner, J.M.; Nowosielski, L. Downlink interference in multi-beam 5G macro-cell. In Proceedings of the 2020 23rd International Microwave and Radar Conference (MIKON), Warsaw, Poland, 5–8 October 2020; pp. 140–143. [Google Scholar] [CrossRef]
- Abdi, A.; Barger, J.A.; Kaveh, M. A Parametric model for the distribution of the angle of arrival and the associated correlation function and power spectrum at the mobile station. IEEE Trans. Veh. Technol. 2002, 51, 425–434. [Google Scholar] [CrossRef]
- Ziółkowski, C.; Kelner, J.M. Estimation of the reception angle distribution based on the power delay spectrum or profile. Int. J. Antennas Propag. 2015, 2015, e936406. [Google Scholar] [CrossRef]
- Ademaj, F.; Taranetz, M.; Rupp, M. 3GPP 3D MIMO channel model: A holistic implementation guideline for open source simulation tools. EURASIP J. Wirel. Commun. Netw. 2016, 2016, 55. [Google Scholar] [CrossRef]
- Rappaport, T.S.; Sun, S.; Shafi, M. Investigation and comparison of 3GPP and NYUSIM channel models for 5G wireless communications. In Proceedings of the 2017 IEEE 86th Vehicular Technology Conference (VTC-Fall), Toronto, ON, Canada, 24–27 September 2017; pp. 1–5. [Google Scholar] [CrossRef]
- Almesaeed, R.; Ameen, A.S.; Mellios, E.; Doufexi, A.; Nix, A.R. A proposed 3D extension to the 3GPP/ITU channel model for 800 MHz and 2.6 GHz bands. In Proceedings of the 2014 8th European Conference on Antennas and Propagation (EuCAP), Hague, The Netherlands, 6–11 April 2014; pp. 3039–3043. [Google Scholar] [CrossRef]
- Sheikh, M.U.; Jäntti, R.; Hämäläinen, J. Performance comparison of ray tracing and 3GPP street canyon model in microcellular environment. In Proceedings of the 2020 27th International Conference on Telecommunications (ICT), Bali, Indonesia, 5–7 October 2020; pp. 1–5. [Google Scholar] [CrossRef]












| Parameter | Value |
|---|---|
| carrier frequency | 3.5 GHz |
| distance D between gNodeB (Tx) and UE (Rx) | {100, 200, 500} m |
| height of gNodeB (Tx) antenna | 25 m |
| height of UE (Rx) antenna | 1.5 m |
| gain of single antenna element | 6.4 dBi |
| HPBW of single antenna element | 90° for H, 65° for V |
| spacing between antenna elements | 0.5 of wavelength for H, 0.7 of wavelength for V |
| front to back ratio | 30 dB |
| antenna array of gNodeB (Tx) | 8 × 8 |
| antenna array for UE (Rx) | 1 × 1 |
| range of angular separation Δα in horizontal plane between reference and interfering beams | from 0° to 60°, with step of 1° |
Publisher’s Note: MDPI stays neutral with regard to jurisdictional claims in published maps and institutional affiliations. |
© 2021 by the authors. Licensee MDPI, Basel, Switzerland. This article is an open access article distributed under the terms and conditions of the Creative Commons Attribution (CC BY) license (http://creativecommons.org/licenses/by/4.0/).
Share and Cite
Bechta, K.; Ziółkowski, C.; Kelner, J.M.; Nowosielski, L. Modeling of Downlink Interference in Massive MIMO 5G Macro-Cell. Sensors 2021, 21, 597. https://doi.org/10.3390/s21020597
Bechta K, Ziółkowski C, Kelner JM, Nowosielski L. Modeling of Downlink Interference in Massive MIMO 5G Macro-Cell. Sensors. 2021; 21(2):597. https://doi.org/10.3390/s21020597
Chicago/Turabian StyleBechta, Kamil, Cezary Ziółkowski, Jan M. Kelner, and Leszek Nowosielski. 2021. "Modeling of Downlink Interference in Massive MIMO 5G Macro-Cell" Sensors 21, no. 2: 597. https://doi.org/10.3390/s21020597
APA StyleBechta, K., Ziółkowski, C., Kelner, J. M., & Nowosielski, L. (2021). Modeling of Downlink Interference in Massive MIMO 5G Macro-Cell. Sensors, 21(2), 597. https://doi.org/10.3390/s21020597

