Fast and Robust Time Synchronization with Median Kalman Filtering for Mobile Ad-Hoc Networks
Abstract
1. Introduction
2. Proposed Time Synchronization Method
2.1. Clock Model
2.2. MKTS Message and Table Structure
2.3. Relative Hardware Clock Rate
2.4. Update Rule
| Algorithm 1. Fast Median. |
| Input: |
| THRESHOLD: upper bound of F-Median range |
| Output: |
| 1: for each |
| 2: |
| 3: end |
| 4: |
| 5: |
| 6: |
| 7: |
| 8: if |
| 9: |
| 10: |
| 11: end |
| 12: end |
3. Performance Evaluation
3.1. Performance Comparison with Conventional Methods
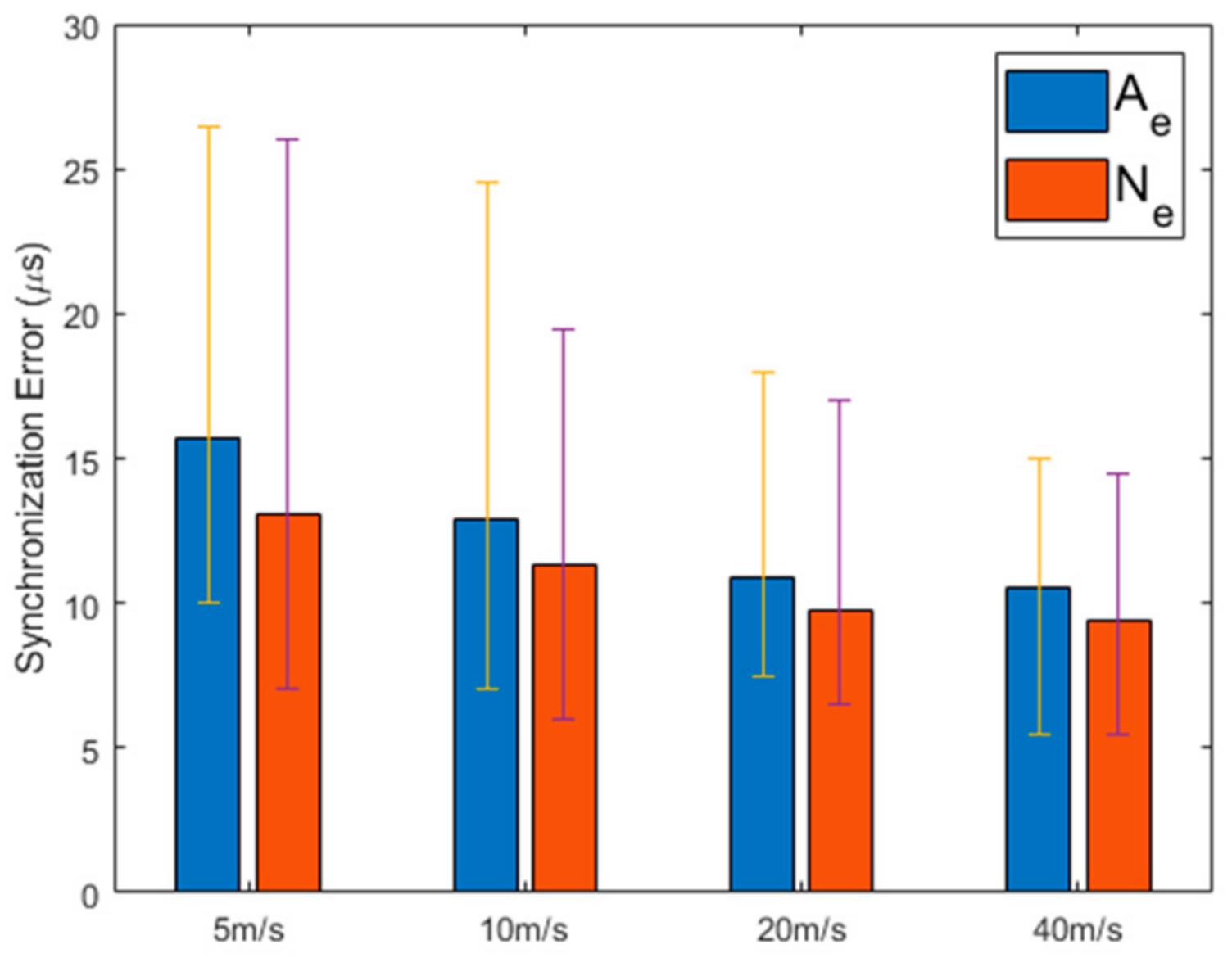
3.2. Synchronization Performance with Varying Area Size and Node Speed
3.3. Performance Analysis with Malfunctioning Nodes
4. Discussion
5. Conclusions
Author Contributions
Funding
Institutional Review Board Statement
Informed Consent Statement
Data Availability Statement
Conflicts of Interest
References
- Rhee, I.-K.; Lee, J.; Kim, J.; Serpedin, E.; Wu, Y.-C. Clock Synchronization in Wireless Sensor Networks: An Overview. Sensors 2009, 9, 56–85. [Google Scholar] [CrossRef] [PubMed]
- Akhlaq, M.; Sheltami, T.R. The Recursive Time Synchronization Protocol for Wireless Sensor Networks. In Proceedings of the 2012 IEEE Sensors Applications Symposium Proceedings, Brescia, Italy, 7–9 February 2012; pp. 1–6. [Google Scholar] [CrossRef]
- Hasan, K.F.; Feng, Y.; Tian, Y. GNSS Time Synchronization in Vehicular Ad-Hoc Networks: Benefits and Feasibility. IEEE Trans. Intell. Transp. Syst. 2018, 19, 3915–3924. [Google Scholar] [CrossRef]
- Pande, H.K.; Srivastava, K.K.; Mangal, L.C. A Resource Allocation Protocol to Meet QoS for Mobile Ad-hoc Network (MANET) in Tactical Scenario. In Advances in VLSI, Communication, and Signal Processing; Springer: Singapore, 2020; pp. 71–79. [Google Scholar]
- Pliatsios, D.; Sarigiannidis, P.; Goudos, S.K.; Psannis, K. 3D Placement of Drone-Mounted Remote Radio Head for Minimum Transmission Power under Connectivity Constraints. IEEE Access 2020, 8, 200338–200350. [Google Scholar] [CrossRef]
- Zhang, Y.; Qiu, T.; Liu, X.; Sun, Y.; Zhao, A.; Xia, F. Mac-Time-Stamping-based High-accuracy Time Synchronization for Wireless Sensor Networks. In Proceedings of the 2016 International Conference on Software Networking (ICSN), Jeju, Korea, 23–26 May 2016; pp. 1–4. [Google Scholar] [CrossRef]
- Maroti, M. The Flooding Time Synchronization Protocol. In Proceedings of the 2nd ACM Conf. Embedded Networked Sensor Systems, Baltimore, MD, USA, 3–5 November 2004. [Google Scholar]
- Lenzen, C.; Sommer, P.; Wattenhofer, R. PulseSync: An Efficient and Scalable Clock Synchronization Protocol. IEEE/ACM Trans. Netw. 2015, 23, 717–727. [Google Scholar] [CrossRef]
- Lenzen, C.; Sommer, P.; Wattenhofer, R. Optimal clock synchronization in networks. In Proceedings of the 7th International Conference on Embedded Networked Sensor Systems, SenSys 2009, Berkeley, CA, USA, 4–6 November 2009. [Google Scholar]
- Saïah, A.; Benzaïd, C.; Badache, N. CMTS: Consensus-based Multi-hop Time Synchronization protocol in wireless sensor networks. In Proceedings of the 2016 IEEE 15th International Symposium on Network Computing and Applications (NCA), Cambridge, MA, USA, 31 October–2 November 2016; pp. 232–236. [Google Scholar] [CrossRef]
- Al-Kofahi, O. Evaluating time synchronization using application-layer time-stamping. In Proceedings of the 2016 IEEE Wireless Communications and Networking Conference, Doha, Qatar, 3–6 April 2016; pp. 1–6. [Google Scholar] [CrossRef]
- Ren, W.; Zhao, Q.; Swami, A. On the Connectivity and Multihop Delay of Ad Hoc Cognitive Radio Networks. IEEE J. Sel. Areas Commun. 2011, 29, 805–818. [Google Scholar] [CrossRef][Green Version]
- Yang, B.; Wu, Z.; Shen, Y.; Fan, Y. Multicast Delivery Delay in General Two-Hop Relay MANETs. In Proceedings of the 2017 International Conference on Networking and Network Applications (NaNA), Kathmandu, Nepal, 16–19 October 2017; pp. 100–103. [Google Scholar] [CrossRef]
- Su, X.; Hui, B.; Chang, K. Multi-hop clock synchronization based on robust reference node selection for ship ad-hoc network. J. Commun. Netw. 2016, 18, 65–74. [Google Scholar] [CrossRef]
- Liu, C.; Zhang, G.; Guo, W.; He, R. Kalman Prediction-Based Neighbor Discovery and Its Effect on Routing Protocol in Vehicular Ad Hoc Networks. IEEE Trans. Intell. Transp. Syst. 2019, 21, 159–169. [Google Scholar] [CrossRef]
- Sommer, P.; Wattenhofer, R. Gradient clock synchronization in wireless sensor networks. In Proceedings of the 2009 International Conference on Information Processing in Sensor Networks, San Francisco, CA, USA, 13–16 April 2009; pp. 37–48. [Google Scholar]
- Sun, W.; Gholami, M.R.; Ström, E.G.; Brännström, F. Distributed clock synchronization with application of D2D communication without infrastructure. In Proceedings of the 2013 IEEE Globecom Workshops (GC Wkshps), Atlanta, GA, USA, 9–13 December 2013; pp. 561–566. [Google Scholar] [CrossRef]
- Sun, W.; Ström, E.G.; Brännström, F.; Gholami, M.R. Random Broadcast Based Distributed Consensus Clock Synchronization for Mobile Networks. IEEE Trans. Wirel. Commun. 2015, 14, 3378–3389. [Google Scholar] [CrossRef]
- Phan, L.-A.; Kim, T.; Kim, T.; Lee, J.; Ham, J.-H. Performance Analysis of Time Synchronization Protocols in Wireless Sensor Networks. Sensors 2019, 19, 3020. [Google Scholar] [CrossRef] [PubMed]
- Maggs, M.K.; O’Keefe, S.G.; Thiel, D.V. Consensus Clock Synchronization for Wireless Sensor Networks. IEEE Sens. J. 2012, 12, 2269–2277. [Google Scholar] [CrossRef]
- Sun, J.; Liao, H.; Upadhyaya, B.R. A robust functional-data-analysis method for data recovery in multichannel sensor systems. IEEE Trans. Cybern. 2014, 44, 1420–1431. [Google Scholar] [CrossRef] [PubMed]
- Singhal, D.; Garimella, R.M. Simple Median based information fusion in wireless sensor network. In Proceedings of the 2012 International Conference on Computer Communication and Informatics, Coimbatore, India, 10–12 January 2012; pp. 1–7. [Google Scholar] [CrossRef]
- Sahin, S.; Cipriano, A.M.; Poulliat, C.; Boucheret, M. On Cooperative Broadcast in MANETs with Imperfect Clock Synchronization. In Proceedings of the MILCOM 2018–2018 IEEE Military Communications Conference (MILCOM), Los Angeles, CA, USA, 29–31 October 2018; pp. 1–7. [Google Scholar]
- Bellavista, P.; Giannelli, C.; Lagkas, T.; Sarigiannidis, P. Multi-domain SDN controller federation in hybrid FiWi-MANET networks. EURASIP J. Wirel. Commun. Netw. 2018, 2018, 103. [Google Scholar] [CrossRef]
- Liu, Y.; Fan, X.; Chen, L.; Wu, J.; Li, L.; Ding, D. An Innovative information fusion method with adaptive Kalman filter for integrated INS/GPS navigation of autonomous vehicles. Mech. Syst. Signal Process. 2018, 100, 605–616. [Google Scholar] [CrossRef]
- Welch, G.; Bishop, G. An introduction to the Kalman Filter. In Proceedings of the Annual Conference on Computer Graphics & Interactive Techniques (SIGGRAPH ’01), Los Angeles, CA, USA, 12–17 August 2001. [Google Scholar]
- Wu, Z.; Li, J.; Zuo, J.; Li, S. Path planning of UAVs based on collision probability and Kalman filter. IEEE Access 2018, 6, 34237–34245. [Google Scholar] [CrossRef]
- Song, W.; Wang, J.; Zhao, S.; Shan, J. Event-trigged cooperative unscented Kalman filtering and its application in multi-UAV systems. Automatica 2019, 105, 264–273. [Google Scholar] [CrossRef]
- Jondhale, S.R.; Deshpande, R.S. Kalman Filtering Framework-Based Real Time Target Tracking in Wireless Sensor Networks Using Generalized Regression Neural Networks. IEEE Sens. J. 2019, 19, 224–233. [Google Scholar]
- Sarvghadi, M.A.; Wan, T.-C. Message Passing Based Time Synchronization in Wireless Sensor Networks: A Survey. Int. J. Distrib. Sens. Netw. 2016, 12, 1280904. [Google Scholar] [CrossRef]
- Djenouri, D.; Bagaa, M. Synchronization Protocols and Implementation Issues in Wireless Sensor Networks: A Review. IEEE Syst. J. 2016, 10, 617–627. [Google Scholar] [CrossRef]
- Phan, L.; Kim, T.; Kim, T.; Lee, J.; Ham, J. Poster Abstract: A Fast Consensus-based Time Synchronization Protocol with Virtual Links in WSNs. In Proceedings of the IEEE INFOCOM 2019—IEEE Conference on Computer Communications Workshops (INFOCOM WKSHPS), Paris, France, 29 April–2 May 2019; pp. 1019–1020. [Google Scholar] [CrossRef]
- Ramanathan, R. Challenges: A radically new architecture for next generation mobile ad hoc networks. In Proceedings of the 11th Annual International Conference on Mobile Computing and Networking, MobiCom ’05, Cologne, Germany, 28 August–2 September 2005; pp. 132–139. [Google Scholar]
- Sun, W.; Brännström, F.; Ström, E.G. Network Synchronization for Mobile Device-to-Device Systems. IEEE Trans. Commun. 2017, 65, 1193–1206. [Google Scholar] [CrossRef]
- Mo, Y.; Liu, Z.; Zheng, L.; Deng, X. Kalman-consensus filter for time synchronization in wireless sensor networks. In Proceedings of the IET International Conference on Information and Communications Technologies (IETICT 2013), Beijing, China, 27–29 April 2013; pp. 421–428. [Google Scholar] [CrossRef]
- Oliveira-junior, E.M.; Souza, M.L.; Kuga, H.K.; Lopes, R.V. Clock synchronization via Kalman filtering. In Proceedings of the Brazilian conference on dynamics, control and applications, Bauru, Brazil, 18–22 May 2009. [Google Scholar]
- OPNET, Retrieved. Available online: https://www.riverbed.com/sg/index.html (accessed on 28 May 2019).

















| Parameter | Value |
|---|---|
| Number of Nodes | 49 |
| X Dimension | 600 m |
| Y Dimension | 600 m |
| Communication Range | 110 m |
| Topology | Grid/Random |
| Mobility | Random Direction |
| Beacon Interval | 30 s |
| Hardware Clock Drift | −30~+30 (μs) |
| Hardware Clock Drift Variation | −5~+5 (μs) |
Publisher’s Note: MDPI stays neutral with regard to jurisdictional claims in published maps and institutional affiliations. |
© 2021 by the authors. Licensee MDPI, Basel, Switzerland. This article is an open access article distributed under the terms and conditions of the Creative Commons Attribution (CC BY) license (http://creativecommons.org/licenses/by/4.0/).
Share and Cite
Jeon, Y.; Kim, T.; Kim, T. Fast and Robust Time Synchronization with Median Kalman Filtering for Mobile Ad-Hoc Networks. Sensors 2021, 21, 590. https://doi.org/10.3390/s21020590
Jeon Y, Kim T, Kim T. Fast and Robust Time Synchronization with Median Kalman Filtering for Mobile Ad-Hoc Networks. Sensors. 2021; 21(2):590. https://doi.org/10.3390/s21020590
Chicago/Turabian StyleJeon, Young, Taehong Kim, and Taejoon Kim. 2021. "Fast and Robust Time Synchronization with Median Kalman Filtering for Mobile Ad-Hoc Networks" Sensors 21, no. 2: 590. https://doi.org/10.3390/s21020590
APA StyleJeon, Y., Kim, T., & Kim, T. (2021). Fast and Robust Time Synchronization with Median Kalman Filtering for Mobile Ad-Hoc Networks. Sensors, 21(2), 590. https://doi.org/10.3390/s21020590

