Simulation-Based Resilience Quantification of an Indoor Ultrasound Localization System in the Presence of Disruptions
Abstract
1. Introduction
1.1. Related Work
1.2. Structure of This Paper
2. Proposed Simulation Framework
2.1. Acoustic Simulation
2.2. Disruption Modeling
3. Localization System under Test
3.1. TDOA Estimation
3.2. Position Estimation
4. Resilience Quantification
- r1: Performance before disruption,
- r2: Performance after delay time,
- r3: Maximum performance loss,
- r4: Temporary performance level, during response phase while disruption continues,
- r5: Performance during the end of disruption, beginning of recovery phase,
- r6: Performance after total recovery.
- t1: Time of sudden disruption,
- t2: End of delay time, begin of protection phase,
- t3: Time to reach maximum performance loss,
- t4: Time when response-reaction occurs,
- t5: End of disruption, beginning of recovery,
- t6: End of complete recovery, when the pre-disruption state is restored.
- “5”: rate describes the rate of maximum performance loss during “protect phase”,
- “12”: rate is the rate of bounce back to the pre-disruption state during “response and recover phase”.
5. Evaluation and Discussion
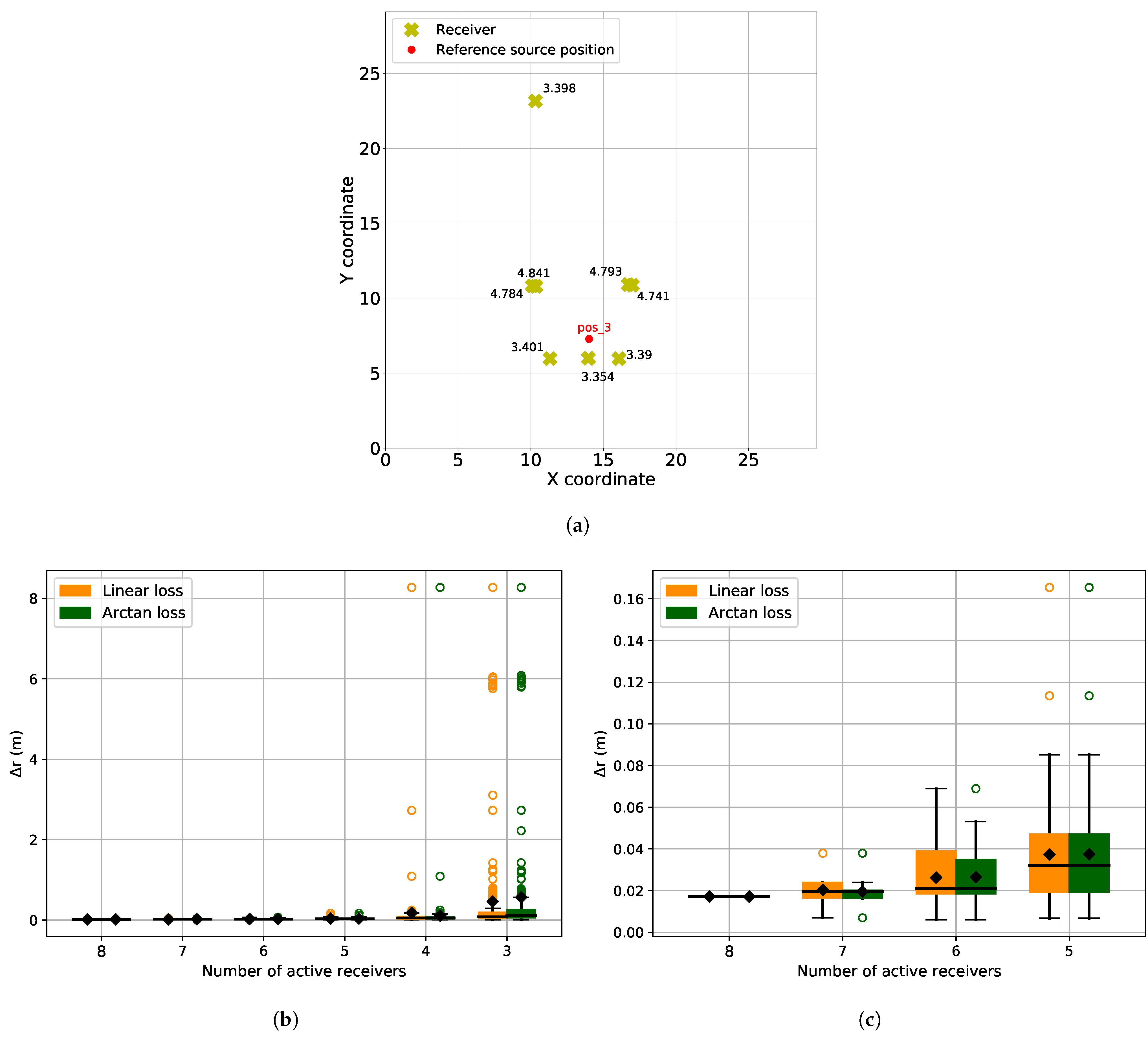
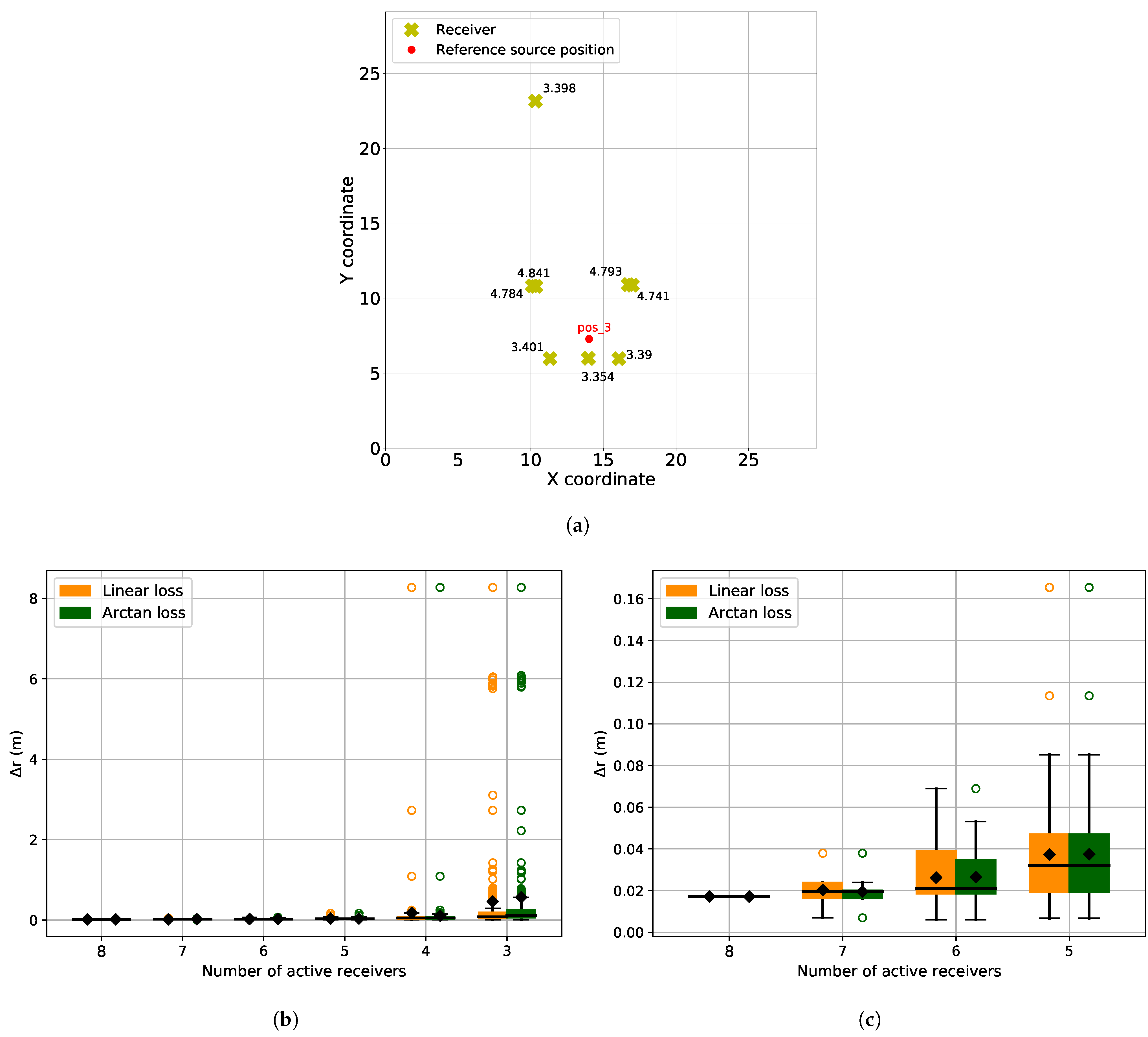
5.1. Setup and Disruptions
5.2. Single Disruptions
5.3. Multiple Disruptions
5.4. Time-Dependent Resilience Curves for Linear Loss Function
- 1.
- Consecutive chirps according to Equation (2) are spaced by 50 ms.
- 2.
- The computations are conducted with no delay between chirps.
- 3.
- Disruptions appear and disappear instantaneously, which is a simplification but very powerful for comparison of pure resilience response and recovery behavior. The duration of the disruptions is 5 s.
- 4.
- A uniform backward-looking moving average as in Equation (11) is plotted for instances in each case corresponding to a window of 1.5 s.
- 5.
- The first sender position initialization is random. Then, initialization is carried out using the estimation of the previous time step.
5.5. Resilience Quantification of Indoor Localization System
- 1.
- Barrier: in every case.
- 2.
- Noise: Sum of decreasing level.
- 3.
- Receiver malfunction: Sum of decreasing level.
6. Experimental Results
7. Conclusions
Author Contributions
Funding
Institutional Review Board Statement
Informed Consent Statement
Data Availability Statement
Conflicts of Interest
Abbreviations
| ASSIST | acoustic self-calibrating system for indoor smartphone tracking |
| CPS | cross power spectrum |
| RFID | radio frequency identification |
| RIR | room impulse response |
| SNR | signal-to-noise ratio |
| TDOA | time difference of arrival |
| TOA | time of arrival |
References
- Häring, I. Risk Analysis and Management: Engineering Resilience; Springer: Singapore, 2015. [Google Scholar] [CrossRef]
- Häring, I.; Scharte, B.; Hiermaier, S. Towards a novel and applicable approach for resilience engineering. In Proceedings of the 6th International Disaster and Risk Conference (IDRC), Davos, Switzerland, 28 August–1 September 2016; pp. 272–276. [Google Scholar]
- Häring, I.; Scharte, B.; Stolz, A.; Leismann, T.; Hiermaier, S. Resilience engineering and quantification for sustainable systems development and assessment: Socio-technical systems and critical infrastructure. IRGC Resour. Guide Resil. 2016, 1, 9. [Google Scholar]
- Häring, I.; Ebenhöch, S.; Stolz, A. Quantifying resilience for resilience engineering of socio technical systems. Eur. J. Secur. Res. 2016, 1, 21–58. [Google Scholar] [CrossRef]
- Liu, M.; Cheng, L.; Qian, K.; Wang, J.; Wang, J.; Liu, Y. Indoor acoustic localization: A survey. Hum.-Centric Comput. Inf. Sci. 2020, 10, 2. [Google Scholar] [CrossRef]
- Huang, Y.; Benesty, J.; Chen, J. Time Delay Estimation and Source Localization. In Springer Handbook of Speech Processing; Benesty, J., Sondhi, M.M., Huang, Y.A., Eds.; Springer: Berlin/Heidelberg, Germany, 2008; Chapter 51. [Google Scholar]
- Comuniello, A.; Moschitta, A.; Angelis, A.D. Ultrasound TDoA Positioning Using the Best Linear Unbiased Estimator and Efficient Anchor Placement. IEEE Trans. Instrum. Meas. 2020, 69, 2477–2486. [Google Scholar] [CrossRef]
- Peng, C.; Shen, G.; Zhang, Y.; Li, Y.; Tan, K. BeepBeep: A high accuracy acoustic ranging system using COTS mobile devices. In Proceedings of the 5th International Conference on Embedded Networked Sensor Systems, SenSys’07, Sydney, Australia, 6–9 November 2007; pp. 1–14. [Google Scholar] [CrossRef]
- Hoflinger, F.; Hoppe, J.; Zhang, R.; Ens, A.; Reindl, L.; Wendeberg, J.; Schindelhauer, C. Acoustic indoor-localization system for smart phones. In Proceedings of the 2014 IEEE 11th International Multi-Conference on Systems, Signals & Devices (SSD14), Barcelona, Spain, 11–14 February 2014. [Google Scholar] [CrossRef]
- Langlois, C.; Tiku, S.; Pasricha, S. Indoor Localization with Smartphones: Harnessing the Sensor Suite in Your Pocket. IEEE Consum. Electron. Mag. 2017, 6, 70–80. [Google Scholar] [CrossRef]
- Ens, A.; Höflinger, F.; Zhang, R.; Hoppe, J.; Bannoura, A.; Reindl, L.; Wendeberg, J.; Buhrer, M.; Schindelhauer, C. Acoustic self-calibrating system for indoor smartphone tracking (ASSIST). Int. J. Navig. Obs. 2012, 2015, 1–9. [Google Scholar] [CrossRef]
- Sapumohotti, C.; Alias, M.Y.; Tan, S.W. WILOCSIM: Simulation Testbed for WLAN Location Fingerprinting Systems. Prog. Electromagn. Res. B 2013, 46, 1–22. [Google Scholar] [CrossRef][Green Version]
- Alhammadi, A.; Hashim, F.; Rasid, M.F.A.; Alraih, S.; Aquhali, A. Simulation and Experimental Analysis of Indoor Localization Systems. In Proceedings of the 2019 International Seminar on Research of Information Technology and Intelligent Systems (ISRITI), Yogyakarta, Indonesia, 5–6 December 2019. [Google Scholar] [CrossRef]
- Allen, J.B.; Berkley, D.A. Image method for efficiently simulating small-room acoustics. J. Acoust. Soc. Am. 1979, 65, 943–950. [Google Scholar] [CrossRef]
- Kirszenstein, J. An image source computer model for room acoustics analysis and electroacoustic simulation. Appl. Acoust. 1984, 17, 275–290. [Google Scholar] [CrossRef]
- Zagar, L.E. The use of the image source method for modeling room acoustics. J. Acoust. Soc. Am. 1983, 74, 1914. [Google Scholar] [CrossRef]
- Habets, E. RIR Generator. Available online: https://github.com/ehabets/RIR-Generator (accessed on 25 January 2021).
- Krokstad, A.; Strom, S.; Sørsdal, S. Calculating the acoustical room response by the use of a ray tracing technique. J. Sound Vib. 1968, 8, 118–125. [Google Scholar] [CrossRef]
- Cummings, A. High frequency ray acoustics models for duct silencers. J. Sound Vib. 1999, 221, 681–708. [Google Scholar] [CrossRef]
- Lee, J.; Ha, K.; Shung, K.K. A theoretical study of the feasibility of acoustical tweezers: Ray acoustics approach. J. Acoust. Soc. Am. 2005, 117, 3273–3280. [Google Scholar] [CrossRef] [PubMed]
- Jensen, F.B.; Kuperman, W.A.; Porter, M.B.; Schmidt, H. Computational Ocean Acoustics, 2nd ed.; Springer: New York, NY, USA, 2011. [Google Scholar]
- Petyt, M. Finite Element Techniques for Acoustics. In Theoretical Acoustics and Numerical Techniques; Filippi, P., Ed.; Springer: Vienna, Austria, 1983; pp. 51–103. [Google Scholar] [CrossRef]
- Ciskowski, R.D.; Brebbia, C.A. Boundary Element Methods in Acoustics, 1st ed.; Springer: Dordrecht, The Netherlands, 1991. [Google Scholar]
- Carotenuto, R.; Pezzimenti, F.; Corte, F.G.D.; Iero, D.; Merenda, M. Acoustic Simulation for Performance Evaluation of Ultrasonic Ranging Systems. Electronics 2021, 10, 1298. [Google Scholar] [CrossRef]
- Peebles, P. Probability, Random Variables and Random Signal Principles; Chapter Central Limit Theorem; McGraw-Hill Companies: New York, NY, USA, 2001. [Google Scholar]
- Proakis, J.G.; Salehi, M. Digital Communications, 5th ed.; McGraw Hill: Chennai, India, 2008; p. 176. [Google Scholar]
- Jain, A.K. Simulation of Indoor Ultrasound Localization System for Assessment of Disruptive Events and Resilience Improvement Options. Master’s Thesis, Friedrich Alexander University, Erlangen, Germany, 2018. [Google Scholar]
- Damelin, S.B.; Miller, W., Jr. The Mathematics of Signal Processing; Cambridge Texts in Applied Mathematics; Cambridge University Press: Cambridge, UK, 2011. [Google Scholar] [CrossRef]
- Adrián-Martínez, S.; Bou-Cabo, M.; Felis, I.; Llorens, C.D.; Martínez-Mora, J.A.; Saldaña, M.; Ardid, M. Acoustic signal detection through the cross-correlation method in experiments with different signal to noise ratio and reverberation conditions. In Ad-Hoc Networks and Wireless; Garcia Pineda, M., Lloret, J., Papavassiliou, S., Ruehrup, S., Westphall, C.B., Eds.; Springer: Berlin/Heidelberg, Germany, 2015; pp. 66–79. [Google Scholar]
- Bensky, A. Wireless Positioning Technologies and Applications, 1st ed.; Artech House: London, UK, 2008. [Google Scholar]
- Gustafsson, F.; Gunnarsson, F. Positioning using time-difference of arrival measurements. In Proceedings of the 2003 IEEE International Conference on Acoustics, Speech, and Signal Processing, (ICASSP’03), Hong Kong, China, 6–10 April 2003; Volume 6, p. VI-553. [Google Scholar] [CrossRef]
- Rocklin, M.; Pinar, A. On Clustering on Graphs with Multiple Edge Types; Taylor and Francis: Oxfordshire, UK, 2011. [Google Scholar]
- Branch, M.; Coleman, T.; Li, Y. A subspace, interior, and conjugate gradient method for large-scale bound-constrained minimization problems. SIAM J. Sci. Comput. 1999, 21, 1–23. [Google Scholar] [CrossRef]
- Triggs, B.; McLauchlan, P.; Hartley, R.; Fitzgibbon, A. Bundle adjustment—A modern synthesis. In Vision Algorithms: Theory and Practice; Lecture Notes in Computer Science; Triggs, B., McLauchlan, P., Hartley, R., Eds.; Springer: Berlin/Heidelberg, Germany, 2000; Volume 1883, pp. 298–375. [Google Scholar] [CrossRef]
- Thoma, K. Resilience by Design: A Strategy for the Technology Issues of the Future; Acatech–National Academy of Science and Engineering: Munich, Germany, 2014. [Google Scholar]
- Panteli, M.; Trakas, D.N.; Mancarella, P.; Hatziargyriou, N.D. Power Systems Resilience Assessment: Hardening and Smart Operational Enhancement Strategies. Proc. IEEE 2017, 105, 1202–1213. [Google Scholar] [CrossRef]
- Bruneau, M.; Chang, S.E.; Eguchi, R.T.; Lee, G.C.; O’rourke, T.D.; Reinhorn, A.M.; Shinozuka, M.; Tierney, K.; Wallace, W.A.; von Winterfeldt, D. A Framework to Quantitatively Assess and Enhance the Seismic Resilience of Communities. Earthq. Spectra 2003, 19, 733–752. [Google Scholar] [CrossRef]
- Gross, D.; Bolognani, S.; Poolla, B.K.; Dörfler, F. Increasing the Resilience of Low-inertia Power Systems by Virtual Inertia and Damping. In Proceedings of the IREP’2017 Symposium, Espinho, Portugal, 27 August–1 September 2017; p. 64. [Google Scholar] [CrossRef]
- Kahan, J.H.; Allen, A.C.; George, J.K. An Operational Framework for Resilience. J. Homel. Secur. Emerg. Manag. 2009, 6, 1–51. [Google Scholar] [CrossRef]
- Fafet, C.; Mulolli Zajmi, E. Qualitative Fire Vulnerability Assessments for Museums and Their Collections: A Case Study from Kosovo. Fire 2021, 4, 11. [Google Scholar] [CrossRef]
- Amadei, B. A Systems Approach to Building Community Capacity and Resilience. Challenges 2020, 11, 28. [Google Scholar] [CrossRef]
- COMSOL Inc. Acoustics Module. Available online: https://www.comsol.com/acoustics-module#features (accessed on 25 January 2021).














| Loss Function | Barrier (Figure 5) | Noise (Figure 6) | Receiver Malfunction (Figure 7) |
|---|---|---|---|
| Linear | 4.2 m | 2.2 m | 0.12 m |
| Arc-tangent | 1.9 m | 0.2 m | 0.12 m |
| Loss Function | Barrier + Noise (Figure 8) | Noise + Receiver Malfunction (Figure 9) | Receiver Malfunction + Noise (Figure 10) |
|---|---|---|---|
| Linear | 6.4 m | 1.9 m | 2.1 m |
| Arc-tangent | 1.8 m | 0.2 m | 0.2 m |
| Loss Function | Resilience (Rsl) |
|---|---|
| Linear | 0.634 |
| Arc-tangent | 0.936 |
Publisher’s Note: MDPI stays neutral with regard to jurisdictional claims in published maps and institutional affiliations. |
© 2021 by the authors. Licensee MDPI, Basel, Switzerland. This article is an open access article distributed under the terms and conditions of the Creative Commons Attribution (CC BY) license (https://creativecommons.org/licenses/by/4.0/).
Share and Cite
Jain, A.K.; Schott, D.J.; Scheithauer, H.; Häring, I.; Höflinger, F.; Fischer, G.; Habets, E.A.P.; Gelhausen, P.; Schindelhauer, C.; Rupitsch, S.J. Simulation-Based Resilience Quantification of an Indoor Ultrasound Localization System in the Presence of Disruptions. Sensors 2021, 21, 6332. https://doi.org/10.3390/s21196332
Jain AK, Schott DJ, Scheithauer H, Häring I, Höflinger F, Fischer G, Habets EAP, Gelhausen P, Schindelhauer C, Rupitsch SJ. Simulation-Based Resilience Quantification of an Indoor Ultrasound Localization System in the Presence of Disruptions. Sensors. 2021; 21(19):6332. https://doi.org/10.3390/s21196332
Chicago/Turabian StyleJain, Aishvarya Kumar, Dominik Jan Schott, Hermann Scheithauer, Ivo Häring, Fabian Höflinger, Georg Fischer, Emanuël A. P. Habets, Patrick Gelhausen, Christian Schindelhauer, and Stefan Johann Rupitsch. 2021. "Simulation-Based Resilience Quantification of an Indoor Ultrasound Localization System in the Presence of Disruptions" Sensors 21, no. 19: 6332. https://doi.org/10.3390/s21196332
APA StyleJain, A. K., Schott, D. J., Scheithauer, H., Häring, I., Höflinger, F., Fischer, G., Habets, E. A. P., Gelhausen, P., Schindelhauer, C., & Rupitsch, S. J. (2021). Simulation-Based Resilience Quantification of an Indoor Ultrasound Localization System in the Presence of Disruptions. Sensors, 21(19), 6332. https://doi.org/10.3390/s21196332

