Routing with Face Traversal and Auctions Algorithms for Task Allocation in WSRN
Abstract
:1. Introduction
- We improve the existing greedy-face-greedy–based routing solution and apply it to the robot task allocation problem. It results in a more extended network lifetime and better energy balancing using a combination of face traversal routing and auctions based on different metrics evaluated for different scenarios and network topologies.
- We introduce the RFTA2 algorithm, which shows a network lifetime of up to seven times longer than k-SAAP [9] and BFS [10] algorithms with significantly fewer communication costs. It also offers a network lifetime of up to five times longer than the GFGF2A algorithm (for few additional communication costs).
- We introduce RFTA2GE, which features the best robot energy utilization and energy balancing among all robots for additional communication costs. Since the communication costs are usually by an order of magnitude lower than robot movement costs, this is a highly beneficial contribution of RFTA2GE. It features a network lifetime up to seven times longer than k-SAAP [9] and BFS [10] for three times fewer communication costs.
- Within the algorithms RFTA2 and RFTA2GE, we introduce the parameter SR (search radius). It is the radius of the circle which defines the space around the event where the search for the robot is performed. We also determine its optimal value and prove it mathematically.
2. Related Work
2.1. Task Allocation
2.2. Face Routing
2.3. Greedy Routing
2.4. Greedy-Face-Greedy (GFG) Routing
2.5. Greedy-Face-Greedy-Find (GFGF) Algorithms
2.6. Auctions
3. System Model
| Definition 1. Task allocation problem. |
| For a given: S = {S1, S2, … Sm}, set S of m sensors, R = {R1, R2, …Rn}, set R of n robots with known locations, E = {E1, E2, …En}, initial energies of robots where E1 = E2 … = En, and T = {T1, T2, …Tk} set of k successive events on known target locations detected by sensors; the problem is to find the best robot to react upon the event in each round and to assign the task for all consecutive events. Only a single-task-single-robot assignment is possible during one round. Accordingly, the problem is to pair the robots and the tasks with the minimum total cost. The cost could be a function of distance, energy, communication costs, time, or some combination of parameters. Here, we want to maximize the network lifetime by minimizing each robot’s energy spent to do the task. The task allocation problem can be mathematically formulated as: Find the assignment matrix A = {aij} where i = 1, 2, … n and j = 1, 2, … k and The total energy consumption for the robot i to perform a task j must be smaller than the initial energy of robot ): The energy needed to perform the task is considered to be dependent on distance to the task location and robot’s speed : |
- All the robots in the network have the same transmission radius r, and each robot can communicate only with its first neighbors located inside of the radius r.
- All the robots know their position, and the position of the current event is known. Other events are not known a priori.
- All the robots have a certain amount of energy at the beginning of the routing process called ‘initial energy’. In the beginning, we assume it is at 100%. While performing the task, the robot energy is drained proportionally to the distance traveled.
- The search radius SR is a circle around the event where the robot is searched; the routing stops if any robot is identified. Since the robots can determine both their position and the event’s position, they can decide locally whether they are in the circle or not.
- During auctions, robots calculate the energy needed to do the task. If it does not have enough energy to do the task, the robot does not bid back.
- To evaluate the algorithms, we focus on communication costs and the network lifetime.
- Communication costs are based on the number of messages needed to route the message from the source to the destination during one round of simulations (i.e., for one event).
- The network is considered alive until a task cannot be allocated because none of the neighboring robots have enough energy to perform it, and no one bid.
- The network is assumed to be connected. One particular strategy for it could be finding the (minimal) connected dominating set. Communications would be used to update and maintain connectivity. Maintaining the network’s connectivity is out of the scope of this paper. It remains for future work.
4. RFTA Algorithms
4.1. RFTA1 Algorithm
| Algorithm 1. Pseudocode for RFTA1 algorithm |
|
4.2. RFTA2 Algorithm
Update of the Network
| Algorithm 2. Pseudocode for RFTA2 algorithm |
|
4.3. GFGF2A Algorithm
| Algorithm 3. Pseudocode for GFGF2A algorithm |
|
4.4. RFTA2GE Algorithm
| Algorithm 4. Pseudocode for RFTA2GE algorithm |
|
4.5. Optimal Radius Value for RFTA2 and RFTA2GE Algorithms
4.6. Complexity Analysis
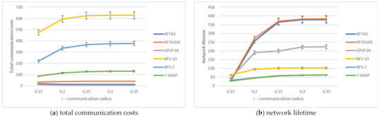
5. Results and Discussion
Robot Energy Statistics and Balancing
6. Conclusions
Author Contributions
Funding
Institutional Review Board Statement
Informed Consent Statement
Acknowledgments
Conflicts of Interest
References
- Nayak, A.; Stojmenovic, I. Wireless Sensor and Actuator Networks: Algorithms and Protocols for Scalable Coordination and Data Communication; Wiley Blackwell: Oxford, UK, 2010; ISBN 978-0-470-17082-3. [Google Scholar]
- Cruz-Ramos, M.P.; Hassard, C.; Gordillo, J.L. Electric Vehicle Automation through a Distributed Control System for Search and Rescue Operations. In Advances in Artificial Intelligence; Springer: Berlin/Heidelberg, Germany, 2013; Volume 7629, pp. 249–260. [Google Scholar] [CrossRef]
- Gerkey, B.P.; Matarić, M.J. A Formal Analysis and Taxonomy of Task Allocation in Multi-Robot Systems. Int. J. Robot. Res. 2004, 23, 939–954. [Google Scholar] [CrossRef] [Green Version]
- Khamis, A.; Hussein, A.; Elmogy, A. Multi-Robot Task Allocation: A Review of the State-of-the-Art. In Cooperative Robots and Sensor Networks; Koubâa, A., Dios, J.R.M., Eds.; Springer: Cham, Switzerland, 2015; pp. 31–51. [Google Scholar] [CrossRef]
- Seenu, N.; Kuppan Chetty, R.M.; Ramya, M.M.; Janardhanan, M.N. Review on state-of-the-art dynamic task allocation strategies for multiple-robot systems. Ind. Robot. Int. J. 2020, 47, 929–942. [Google Scholar] [CrossRef]
- Bose, P.; Morin, P.; Stojmenović, I.; Urrutia, J. Routing with guaranteed delivery in ad hoc wireless networks. In Proceedings of the 3rd International Workspace for Discrete Algorithms and Methods for Mobile Computers and Communications, Seattle, WA, USA, 20 August 1999. [Google Scholar] [CrossRef]
- Stanulovic, J.; Mitton, N.; Mezei, I. Robot Task Allocation based on Greedy-Face-Greedy Algorithm. In Proceedings of the 27th Telecommunications Forum Telfor, Belgrade, Serbia, 23–24 November 2019; pp. 1–4. [Google Scholar] [CrossRef] [Green Version]
- Mezei, M.V.; Stojmenovic, I. Robot to Robot: Communication aspects of Coordination in Robot Wireless Networks. IEEE Robot. Autom. Mag. 2010, 17, 63–69. [Google Scholar] [CrossRef]
- Mezei, I.; Lukic, M.; Malbaša, V.; Stojmenovic, I. Auctions and iMesh based task assignment in wireless sensor and actuator networks. Comput. Commun. 2013, 36, 979–987. [Google Scholar] [CrossRef]
- Lee, D.-H.; Zaheer, S.A.; Kim, J.-H. A Resource-Oriented, Decentralized Auction Algorithm for Multirobot Task Allocation. IEEE Trans. Autom. Sci. Eng. 2014, 12, 1469–1481. [Google Scholar] [CrossRef]
- Frey, H.; Stojmenovic, I. On Delivery Guarantees and Worst-Case Forwarding Bounds of Elementary Face Routing Components in Ad Hoc and Sensor Networks. IEEE Trans. Comput. 2010, 59, 1224–1238. [Google Scholar] [CrossRef]
- Lin, X.; Stojmenović, I. Geographic Distance Routing in Ad Hoc Wireless Networks; Technical Report TR–98–10; SITE; University of Ottawa: Ottawa, QC, Canada, 1998. [Google Scholar]
- Dias, M.; Zlot, R.; Kalra, N.; Stentz, A. Market-Based Multirobot Coordination: A Survey and Analysis. Proc. IEEE 2006, 94, 1257–1270. [Google Scholar] [CrossRef] [Green Version]
- Darmanin, R.N.; Bugeja, M. A review on multi-robot systems categorised by application domain. In Proceedings of the 2017 25th Mediterranean Conference on Control and Automation (MED), Valletta, Malta, 3–6 July 2017; pp. 701–706. [Google Scholar] [CrossRef] [Green Version]
- Chen, J.; Wang, J.; Xiao, Q.; Chen, C. A Multi-Robot Task Allocation Method Based on Multi-Objective Optimization. In Proceedings of the 2018 15th International Conference on Control, Automation, Robotics and Vision (ICARCV), Singapore, 18–21 November 2018; pp. 1868–1873. [Google Scholar] [CrossRef]
- Huang, H.; Savkin, A.V.; Ding, M.; Huang, C. Mobile robots in wireless sensor networks: A survey on tasks. Comput. Netw. 2018, 148, 1–19. [Google Scholar] [CrossRef]
- Otte, M.; Kuhlman, M.J.; Sofge, D. Auctions for multi-robot task allocation in communication limited environments. Auton. Robot. 2019, 44, 547–584. [Google Scholar] [CrossRef]
- Wichmann, A.; Korkmaz, T.; Tosun, A.S. Robot Control Strategies for Task Allocation with Connectivity Constraints in Wireless Sensor and Robot Networks. IEEE Trans. Mob. Comput. 2017, 17, 1429–1441. [Google Scholar] [CrossRef]
- Mi, Z.; Yang, Y.; Ma, H.; Wang, D. Connectivity preserving task allocation in mobile robotic sensor network. In Proceedings of the 2014 IEEE International Conference on Communications (ICC), Sydney, Australia, 10–14 June 2014; pp. 136–141. [Google Scholar] [CrossRef]
- Bai, X.; Yan, W.; Cao, M.; Huang, J. Task assignment for robots with limited communication. In Proceedings of the 2017 36th Chinese Control Conference (CCC), Dalian, China, 26–28 July 2017; pp. 6934–6939. [Google Scholar] [CrossRef]
- Notomista, G.; Mayya, S.; Hutchinson, S.; Egerstedt, M. An Optimal Task Allocation Strategy for Heterogeneous Multi-Robot Systems. In Proceedings of the 18th European Control Conference, Naples, Italy, 27 June 2019. [Google Scholar] [CrossRef] [Green Version]
- Kumar, A.; Shwe, H.Y.; Wong, K.J.; Chong, P.H.J. Location-Based Routing Protocols for Wireless Sensor Networks: A Survey. Wirel. Sens. Netw. 2017, 9, 25–72. [Google Scholar] [CrossRef] [Green Version]
- Boulinier, C.; Datta, A.K.; Larmore, L.L.; Petit, F. Space efficient and time optimal distributed BFS tree construction. Inf. Process. Lett. 2008, 108, 273–278. [Google Scholar] [CrossRef]
- Wang, L.; Li, M.; Kou, J.; Yang, K.; Jiang, C. Adaptive auction protocol for task assignment in wireless sensor and actuator networks. Int. J. Distrib. Sens. Netw. 2020, 16. [Google Scholar] [CrossRef]
- Baroudi, U.; Alshaboti, M.; Koubaa, A.; Trigui, S. Dynamic Multi-Objective Auction-Based (DYMO-Auction) Task Allocation. Appl. Sci. 2020, 10, 3264. [Google Scholar] [CrossRef]
- Bai, X.; Yan, W.; Cao, M.; Xue, D. Distributed multi-vehicle task assignment in a time-invariant drift field with obstacles. IET Control. Theory Appl. 2019, 13, 2886–2893. [Google Scholar] [CrossRef]
- Bai, X.; Yan, W.; Ge, S.S. Distributed Task Assignment for Multiple Robots Under Limited Communication Range. IEEE Trans. Syst. Man Cybern. Syst. 2021, 1–13. [Google Scholar] [CrossRef]
- Zhou, X.; Wang, H.; Ding, B.; Hu, T.; Shang, S. Balanced connected task allocations for multi-robot systems: An exact flow-based integer program and an approximate tree-based genetic algorithm. Expert Syst. Appl. 2018, 116, 10–20. [Google Scholar] [CrossRef]
- Bose, P.; Devroye, L.; Evans, W.; Kirkpatrick, D. On the Spanning Ratio of Gabriel Graphs and β-skeletons. SIAM J. Discret. Math. 2002, 20, 479–493. [Google Scholar] [CrossRef]
- Pentico, D.W. Assignment problems: A golden anniversary survey. Eur. J. Oper. Res. 2007, 176, 774–793. [Google Scholar] [CrossRef]
- Kuhn, H.W. The Hungarian method for the assignment problem. Nav. Res. Logist. Q. 1955, 2, 83–97. [Google Scholar] [CrossRef] [Green Version]
- Falcon, R.; Liu, H.; Nayak, A.; Stojmenovic, I. Controlled Straight Mobility and Energy-Aware Routing in Robotic Wireless Sensor Networks. In Proceedings of the IEEE 8th International Conference on Distributed Computing in Sensor Systems, Hangzhou, China, 16–18 May 2012; pp. 150–157. [Google Scholar] [CrossRef]
- Jaiem, L.; Druon, S.; Lapierre, L.; Crestani, D. A Step toward Mobile Robots Autonomy: Energy Estimation Models. In TAROS 2016: Towards Autonomous Robotic Systems; Springer: Cham, Switzerland, 2016; pp. 177–188. [Google Scholar] [CrossRef] [Green Version]
- Mezei, I.; Malbasa, V.; Stojmenovic, I. Greedy extension of localized auction-based protocols for Wireless Actuator task assignment. Ad-Hoc Sens. Wirel. Netw. 2011, 17, 73–85. [Google Scholar]
- Matula, D.W.; Sokal, R.R. Properties of Gabriel Graphs Relevant to Geographic Variation Research and the Clustering of Points in the Plane. Geogr. Anal. 2010, 12, 205–222. [Google Scholar] [CrossRef]
- Guo, Y.; Zhang, Y.; Mi, Z.; Yang, Y.; Obaidat, M.S. Distributed task allocation algorithm based on connected dominating set for WSANs. Ad Hoc Netw. 2019, 89, 107–118. [Google Scholar] [CrossRef]
- Goel, A.; Rai, S.; Krishnamachari, B. Sharp thresholds for monotone properties in random geometric graphs. In Proceedings of the Thirty-Sixth Annual ACM Symposium on Theory of Computing, Chicago, IL, USA, 13–14 June 2004; pp. 580–586. [Google Scholar] [CrossRef] [Green Version]



















| Algorithm | Complexity | Mobility | Method | Simulation Env./Source Code |
|---|---|---|---|---|
| BFS [10] | O(diam … |E|) | yes | Breath-first search | Robot simulator Webots/not available |
| k-SAAP [9] | N/A | yes | Localized auctions with k neighbors | C programming language/available |
| AAP [24] | N/A | no | Localized auctions with an adaptive number of neighbors | OMNet++ simulation tool /not available |
| MIA-TA [36] | O(n2) | yes | Auctions with maintaining network connectivity | Python on a PC with AMD 4.1 GHz CPU and 8GB RAM/not available |
| RFTA2 | O(n2 + n) | yes | GFG with auctions | C programming on Intel i5 @ 1.9 GHz, 8GB RAM |
| GFGF2A | RFTA2 | RFTA2GE | |
|---|---|---|---|
| Average messages per robot (AMPR) [#msg] | 14.79 ± 5.51 | 43.32 ± 12.23 | 68.64 ± 15.39 |
| Average network lifetime (ANL) [#rounds] | 225.11 ± 88.51 | 323.14 ± 122.69 | 376.35 ± 96.94 |
| Average MIN of remaining robot energy [%] | 7.39 | 11.33 | 5.95 |
| Average remaining robot energy (ARRE) [%] | 79.52 ± 6.98 | 44.81 ± 20.17 | 35.04 ± 13.98 |
| The average number of robot reactions (ANRR) | 2.13 ± 0.81 | 3.07 ± 1.14 | 3.57 ± 0.84 |
| Average traveled distance per robot (ATDPR) [m] | 1.06 ± 0.36 | 2.85 ± 1.04 | 3.35 ± 0.72 |
| GFGF2A | RFTA2 | RFTA2GE | |
|---|---|---|---|
| Average messages per robot (AMPR) [#msg] | 6.45 ± 3.63 | 13.62 ± 6.29 | 57.62 ± 18.13 |
| Average network lifetime (ANL) [#rounds] | 85.60 ± 57.25 | 260.16 ± 123.88 | 319.87 ± 105.66 |
| Average MIN of remaining robot energy [%] | 11.49 | 12.00 | 8.03 |
| Average remaining robot energy (ARRE) [%] | 90.56 ± 5.48 | 53.44 ± 20.76 | 41.93 ± 16.88 |
| The average number of robot reactions (ANRR) | 0.82 ± 0.56 | 2.47 ± 1.15 | 3.05 ± 0.95 |
| Average traveled distance per robot (ATDPR) [m] | 0.49 ± 0.28 | 2.39 ± 1.07 | 2.99 ± 0.87 |
Publisher’s Note: MDPI stays neutral with regard to jurisdictional claims in published maps and institutional affiliations. |
© 2021 by the authors. Licensee MDPI, Basel, Switzerland. This article is an open access article distributed under the terms and conditions of the Creative Commons Attribution (CC BY) license (https://creativecommons.org/licenses/by/4.0/).
Share and Cite
Stanulovic, J.; Mitton, N.; Mezei, I. Routing with Face Traversal and Auctions Algorithms for Task Allocation in WSRN. Sensors 2021, 21, 6149. https://doi.org/10.3390/s21186149
Stanulovic J, Mitton N, Mezei I. Routing with Face Traversal and Auctions Algorithms for Task Allocation in WSRN. Sensors. 2021; 21(18):6149. https://doi.org/10.3390/s21186149
Chicago/Turabian StyleStanulovic, Jelena, Nathalie Mitton, and Ivan Mezei. 2021. "Routing with Face Traversal and Auctions Algorithms for Task Allocation in WSRN" Sensors 21, no. 18: 6149. https://doi.org/10.3390/s21186149
APA StyleStanulovic, J., Mitton, N., & Mezei, I. (2021). Routing with Face Traversal and Auctions Algorithms for Task Allocation in WSRN. Sensors, 21(18), 6149. https://doi.org/10.3390/s21186149

