Distributed Transmit Power Control for Energy-Efficient Wireless-Powered Secure Communications
Abstract
:1. Introduction
- We consider WPSCs where the EH nodes harvest energy from the transmitted signals but are not allowed to decode private information shared between the transmitter and receiver (Tx-Rx) pairs. Given this scenario, we formulate an optimization problem to find the optimal transmit powers of the Txs to maximize the sum SEE while guaranteeing that the amount of energy collected from each EH node is greater than a minimum required value.
- To solve this non-convex problem with low complexity, we propose a distributed TPC algorithm using dual decomposition, where each Tx determines its transmit power iteratively until convergence without sharing any information with the other node sets.
- Through performance evaluations under various environments, we show that the proposed scheme achieves a higher sum SEE than conventional schemes and remarkably reduced computation time compared with the optimal scheme.
2. System Model and Problem Statement
3. Distributed Transmit Power Control Algorithm
| Algorithm 1 Distributed transmit power control algorithm |
| 1: Initialize , , and randomly |
| 2: repeat |
| 3: Set |
| 4: repeat |
| 5: |
| 6: for to N |
| 7: Compute according to (19) |
| 8: Update and according to (21) |
| 9: end for |
| 10: |
| 11: until |
| 12: Update and with |
| 13: until |
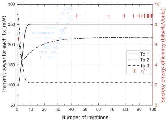
4. Simulation Results and Discussion
- Optimal scheme: With the knowledge of the CSI of all wireless links, the near-optimal performance can be found using a brute-force search with ; however, the performance for is found using a divide and conquer algorithm because of the extremely high computational complexity of the brute-force search.
- Proposed scheme: The transmit powers of the Txs are determined using the proposed algorithm given in Algorithm 1.
- max. scheme: The transmit powers of the Txs are determined to maximize the sum secrecy rate, , which is found from the divide and conquer algorithm.
- Equally reduced power (ERP) scheme [37]: All Txs use the same transmit power that maximizes the sum SEE while meeting the minimum EH constraint, and the optimal value of the transmit power is found by one-dimensional exhaustive search.
- EH max. scheme: The Txs use their maximum transmit powers to maximize the total harvested energies of the EH nodes, .
- Rand scheme: The transmit powers of the Txs are determined randomly.
5. Conclusions
Funding
Institutional Review Board Statement
Informed Consent Statement
Data Availability Statement
Conflicts of Interest
References
- Frustaci, M.; Pace, P.; Aloi, G.; Fortino, G. Evaluating critical security issues of the IoT world: Present and future challenges. IEEE Internet Things J. 2018, 5, 2483–2495. [Google Scholar] [CrossRef]
- Gui, G.; Liu, M.; Tang, F.; Kato, N.; Adachi, F. 6G: Opening new horizons for integration of comfort, security and intelligence. IEEE Wirel. Commun. 2020, 27, 126–132. [Google Scholar] [CrossRef]
- Li, S.; Kim, J.G.; Han, D.H.; Lee, K.S. A survey of energy-efficient communication protocols with QoS guarantees in wireless multimedia sensor networks. Sensors 2019, 19, 199. [Google Scholar] [CrossRef] [Green Version]
- Hoang, T.D.; Le, L.B.; Le-Ngoc, T. Energy-efficient resource allocation for D2D communications in cellular networks. IEEE Trans. Veh. Technol. 2016, 65, 6972–6986. [Google Scholar] [CrossRef]
- Shi, J.; Yu, W.; Ni, Q.; Liang, W.; Li, Z.; Xiao, P. Energy efficient resource allocation in hybrid non-orthogonal multiple access systems. IEEE Trans. Commun. 2019, 67, 3496–3511. [Google Scholar] [CrossRef] [Green Version]
- He, S.; Huang, Y.; Wang, J.; Yang, L.; Hong, W. Joint antenna selection and energy-efficient beamforming design. IEEE Signal Process. Lett. 2016, 23, 1165–1169. [Google Scholar] [CrossRef]
- Lee, K. Distributed joint optimization of beamforming and power allocation for maximizing the energy efficiency of cognitive heterogeneous networks. Sensors 2021, 21, 3186. [Google Scholar] [CrossRef] [PubMed]
- Raghunathan, V.; Chou, P.H. Design and power management of energy harvesting embedded systems. In Proceedings of the 2006 International Symposium on Low Power Electronics and Design (ISLPED), Tegernsee, Germany, 4–6 October 2006; pp. 369–374. [Google Scholar]
- Lu, C.; Raghunathan, V.; Roy, K. Efficient design of micro-scale energy harvesting systems. IEEE J. Emerg. Sel. Top. Circuits Syst. 2011, 1, 254–266. [Google Scholar] [CrossRef]
- Prauzek, M.; Konecny, J.; Borova, M.; Janosova, K.; Hlavica, J.; Musilek, P. Energy harvesting sources, storage devices and system topologies for environmental wireless sensor networks: A review. Sensors 2018, 18, 2446. [Google Scholar] [CrossRef] [Green Version]
- Pinuela, M.; Mitcheson, P.; Lucyszyn, S. Ambient RF energy harvesting in urban and semi-urban environments. IEEE Trans. Microw. Theory Techn. 2013, 61, 2715–2726. [Google Scholar] [CrossRef]
- Lu, X.; Wang, P.; Niyato, D.; Kim, D.I.; Han, Z. Wireless networks with RF energy harvesting: A contemporary survey. IEEE Commun. Surv. Tut. 2015, 17, 757–789. [Google Scholar] [CrossRef] [Green Version]
- Lee, K.; Hong, J. Energy-efficient resource allocation for simultaneous information and energy transfer with imperfect channel estimation. IEEE Trans. Veh. Technol. 2016, 65, 2775–2780. [Google Scholar] [CrossRef]
- Chung, B.C.; Lee, K.; Cho, D. Proportional fair energy-efficient resource allocation in energy-harvesting-based wireless networks. IEEE Syst. J. 2018, 12, 2106–2116. [Google Scholar] [CrossRef]
- Lee, K.; Yoon, C.; Jo, O.; Lee, W. Joint optimization of spectrum sensing and transmit power in energy harvesting-based cognitive radio networks. IEEE Access 2018, 6, 30653–30662. [Google Scholar] [CrossRef]
- Shahini, A.; Kiani, A.; Ansari, N. Energy efficient resource allocation in EH-enabled CR networks for IoT. IEEE Internet Things J. 2019, 6, 3186–3193. [Google Scholar] [CrossRef] [Green Version]
- Noor-A-Rahim, M.; Khyam, M.O.; Guan, Y.L. Energy harvesting two-way relaying with antenna selection scheme. IET Commun. 2019, 13, 198–204. [Google Scholar] [CrossRef]
- Chu, S. Secrecy analysis of modify-and-forward relaying with relay selection. IEEE Trans. Veh. Technol. 2019, 68, 1796–1809. [Google Scholar] [CrossRef]
- Atapattu, S.; Ross, N.; Jing, Y.; He, Y.; Evans, J.S. Physical-layer security in full-duplex multi-hop multi-user wireless network with relay selection. IEEE Trans. Wirel. Commun. 2019, 18, 1216–1232. [Google Scholar] [CrossRef]
- Park, K.; Wang, T.; Alouini, M. On the jamming power allocation for secure amplify-and-forward relaying via cooperative jamming. IEEE J. Sel. Areas Commun. 2013, 31, 1741–1750. [Google Scholar] [CrossRef]
- Kalamkar, S.S.; Banerjee, A. Secure communication via a wireless energy harvesting untrusted relay. IEEE Trans. Veh. Technol. 2017, 66, 2199–2213. [Google Scholar] [CrossRef] [Green Version]
- Lee, K.; Bang, J.; Choi, H. Secrecy outage minimization for wireless-powered relay networks with destination-assisted cooperative jamming. IEEE Internet Things J. 2021, 8, 1467–1476. [Google Scholar] [CrossRef]
- Xu, D.; Zhu, H. Secure transmission for SWIPT IoT systems with full-duplex IoT devices. IEEE Internet Things J. 2019, 6, 10915–10933. [Google Scholar] [CrossRef]
- Liu, W.; Zhou, X.; Durrani, S.; Popovski, P. Secure communication with a wireless-powered friendly jammer. IEEE Trans. Wirel. Commun. 2016, 15, 401–415. [Google Scholar] [CrossRef] [Green Version]
- Ouyang, J.; Lin, M.; Zou, Y.; Zhu, W.; Massicotte, D. Secrecy energy efficiency maximization in cognitive radio networks. IEEE Access 2017, 5, 2641–2650. [Google Scholar] [CrossRef]
- Wang, G.; Meng, C.; Heng, W.; Chen, X. Secrecy energy efficiency optimization in AN-aided distributed antenna systems with energy harvesting. IEEE Access 2018, 6, 32830–32838. [Google Scholar] [CrossRef]
- Jiang, Y.; Zou, Y.; Ouyang, J.; Zhu, J. Secrecy energy efficiency optimization for artificial noise aided physical-layer security in OFDM-based cognitive radio networks. IEEE Trans. Veh. Technol. 2018, 67, 11858–11872. [Google Scholar] [CrossRef] [Green Version]
- Jiang, Y.; Zou, Y.; Ouyang, J.; Zhu, J. Beamforming aided secrecy energy efficiency maximization in heterogeneous cellular networks. IEEE Trans. Veh. Technol. 2021, 70, 2576–2589. [Google Scholar] [CrossRef]
- Zappone, A.; Lin, P.; Jorswieck, E.A. Secrecy energy efficiency for MIMO single- and multi-cell downlink transmission with confidential messages. IEEE Trans. Inf. Forensics Secur. 2019, 14, 2059–2073. [Google Scholar] [CrossRef]
- Lu, Y.; Xiong, K.; Fan, P.; Ding, Z.; Zhong, Z.; Letaief, K.B. Secrecy energy efficiency in multi-antenna SWIPT networks with dual-layer PS receivers. IEEE Trans. Wirel. Commun. 2020, 19, 4290–4306. [Google Scholar] [CrossRef]
- Wyner, A.D. The wire-tap channel. Bell Syst. Tech. J. 1975, 54, 1355–1387. [Google Scholar] [CrossRef]
- Yu, W.; Lui, R. Dual methods for nonconvex spectrum optimization of multicarrier systems. IEEE Trans. Commun. 2006, 54, 1310–1321. [Google Scholar] [CrossRef] [Green Version]
- Dinkelbach, W. On nonlinear fractional programming. Manag. Sci. 1967, 13, 492–498. [Google Scholar] [CrossRef]
- Fliege, J.; Vaz, A.I.F.; Vicente, L.N. Complexity of gradient descent for multiobjective optimization. Optim. Methods Softw. 2018, 34, 949–959. [Google Scholar] [CrossRef] [Green Version]
- Venturino, L.; Prasad, N.; Wang, X. Coordinated scheduling and power allocation in downlink multicell OFDMA networks. IEEE Trans. Veh. Technol. 2009, 58, 2835–2848. [Google Scholar] [CrossRef]
- Stoopman, M.; Keyrouz, S.; Visser, H.J.; Philips, K.; Serdijn, W.A. Co-design of a CMOS rectifier and small loop antenna for highly sensitive RF energy harvesters. IEEE J. Solid-State Circuits 2014, 49, 622–634. [Google Scholar] [CrossRef]
- Lee, W.; Ban, T.; Jung, B.C. Distributed transmit power optimization for device-to-device communications underlying cellular networks. IEEE Access 2019, 7, 87617–87633. [Google Scholar] [CrossRef]







| Literature | Metric | Research Issue | Limitation |
|---|---|---|---|
| [3] | EE | Protocol | Did not consider WPSCs. |
| [4,5] | EE | Resource allocation | Did not consider WPSCs. |
| [6,7] | EE | Multi-antenna tech. | Did not consider WPSCs. |
| [8,9] | EH capability | EH system design | Did not consider WPSCs. |
| [10,11,12] | Possibility of EH | Applicability of EH to netw. | Did not consider WPSCs. |
| [13] | EE | Resource allocation | Did not consider PLS. |
| [14] | Proportional fair EE | Resource allocation | Did not consider PLS. |
| [15,16] | EE | Resource allocation | Did not consider PLS. |
| [17] | EH power | Antenna selection | Did not consider PLS. |
| [18,19] | Secure commun. | Cooperative relaying | Did not consider EH. |
| [20] | Secure commun. | Jamming signal trans. | Did not consider EH. |
| [21,22] | Secure commun. | Optimal relaying policy | Did not consider EH. |
| [23] | Secure commun. | Resource allocation | Did not consider EH. |
| [24] | Secure commun. | Policy of a friendly jammer | Did not consider EH. |
| [25,26] | SEE | Resource allocation | Simple scenarios w/o interf. |
| [27,28,29,30] | SEE | Resource allocation | Centralized approach. |
Publisher’s Note: MDPI stays neutral with regard to jurisdictional claims in published maps and institutional affiliations. |
© 2021 by the author. Licensee MDPI, Basel, Switzerland. This article is an open access article distributed under the terms and conditions of the Creative Commons Attribution (CC BY) license (https://creativecommons.org/licenses/by/4.0/).
Share and Cite
Lee , K. Distributed Transmit Power Control for Energy-Efficient Wireless-Powered Secure Communications. Sensors 2021, 21, 5861. https://doi.org/10.3390/s21175861
Lee K. Distributed Transmit Power Control for Energy-Efficient Wireless-Powered Secure Communications. Sensors. 2021; 21(17):5861. https://doi.org/10.3390/s21175861
Chicago/Turabian StyleLee , Kisong. 2021. "Distributed Transmit Power Control for Energy-Efficient Wireless-Powered Secure Communications" Sensors 21, no. 17: 5861. https://doi.org/10.3390/s21175861
APA StyleLee , K. (2021). Distributed Transmit Power Control for Energy-Efficient Wireless-Powered Secure Communications. Sensors, 21(17), 5861. https://doi.org/10.3390/s21175861

