A System-Level Approach towards a Hybrid Energy Harvesting Glove
Abstract
1. Introduction
2. Methods
2.1. Device Architecture
2.2. Integrated Harvesting System
2.2.1. Transducer Lamination
2.2.2. Fabrication of Photosensitive 3D Dual-Gate Thin-Film Transistor
2.2.3. A System-Level Analysis of the Dual-Mode Harvesting Glove
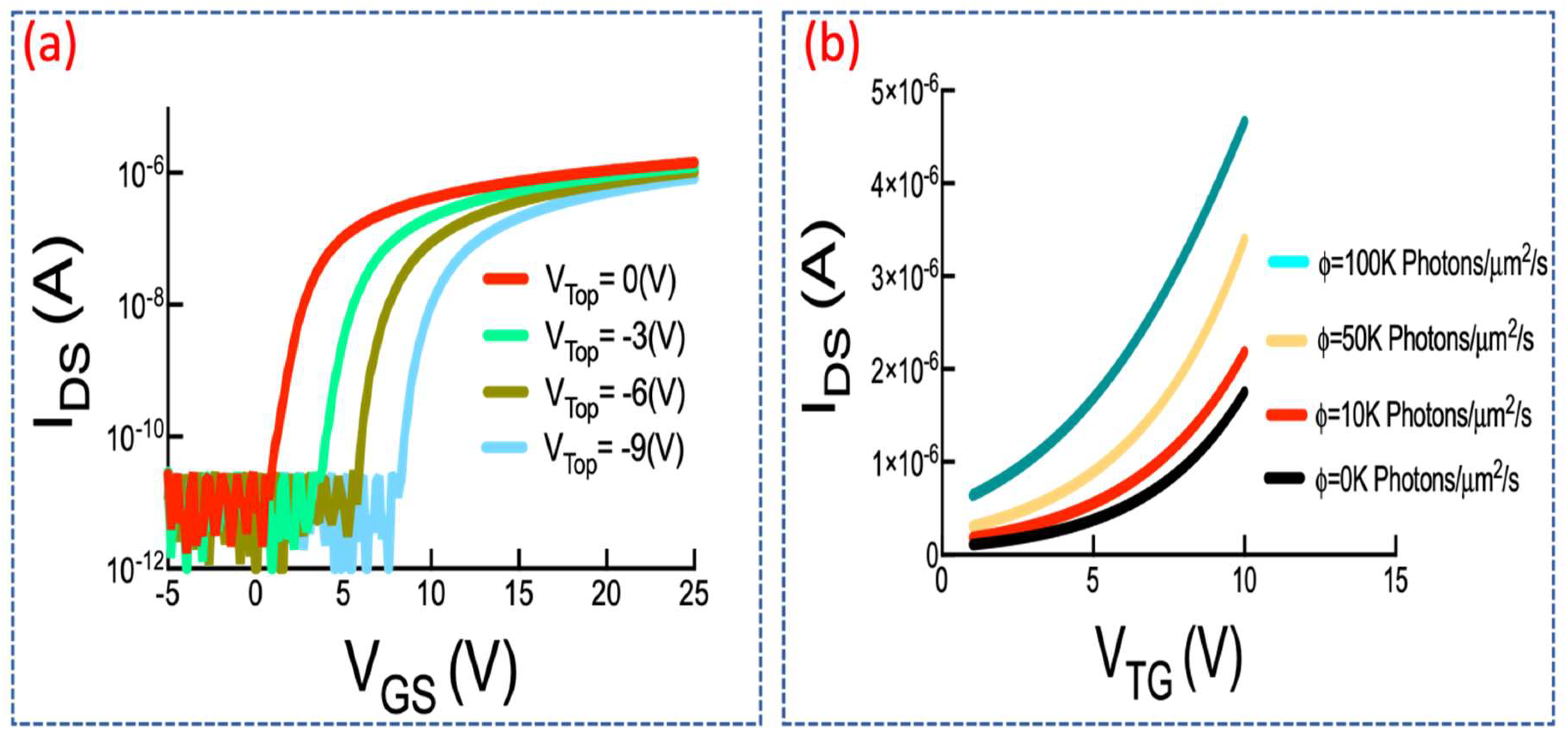
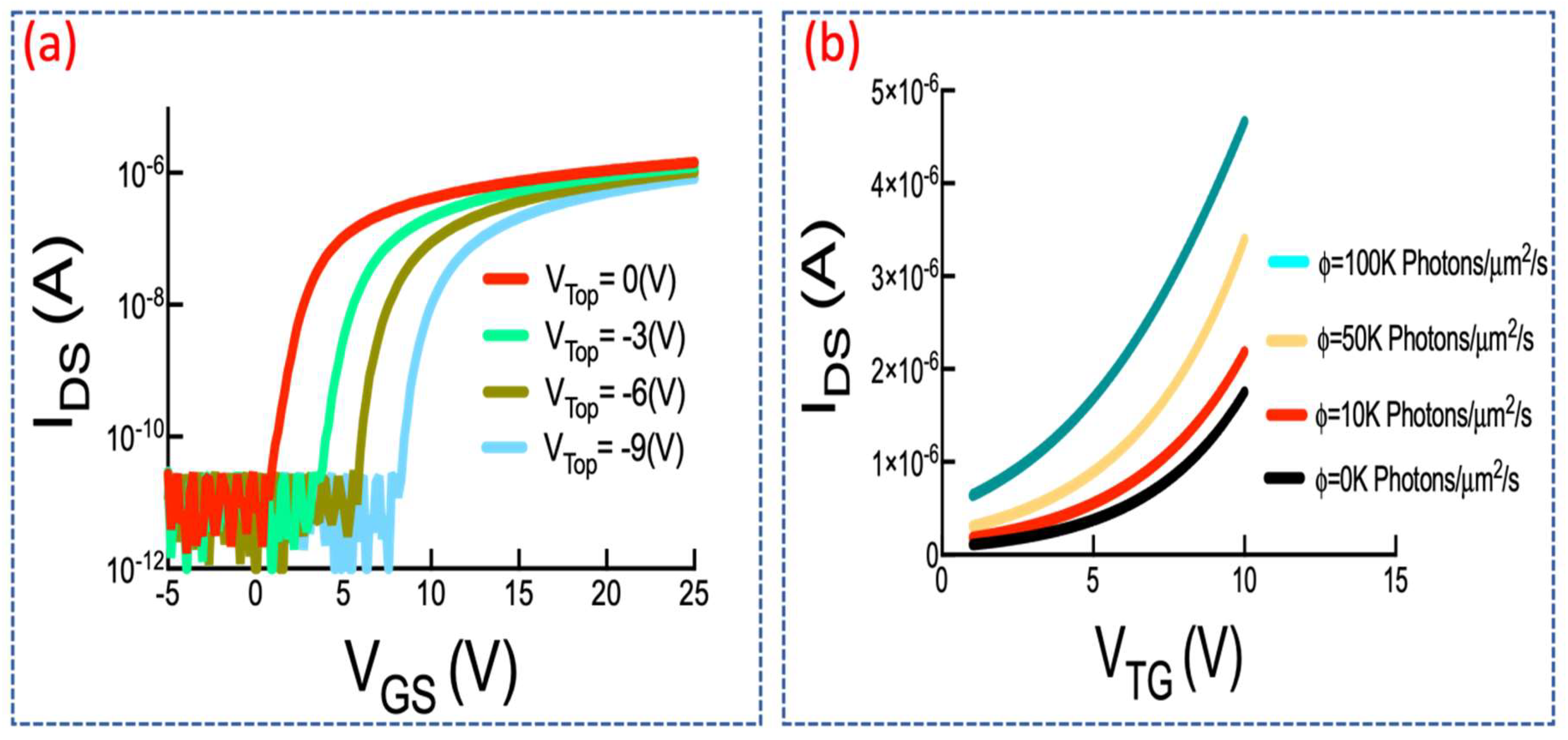
3. Results and Discussion
4. Conclusions
Supplementary Materials
Author Contributions
Funding
Institutional Review Board Statement
Informed Consent Statement
Data Availability Statement
Conflicts of Interest
References
- Bai, Y.; Jantunen, H.; Juuti, J. Energy Harvesting Research: The Road from Single Source to Multisource. Adv. Mater. 2018, 30, 1707271. [Google Scholar] [CrossRef]
- Song, H.-C.; Kim, S.-W.; Kim, H.S.; Lee, D.-G.; Kang, C.-Y.; Nahm, S. Piezoelectric Energy Harvesting Design Principles for Materials and Structures: Material Figure-of-Merit and Self-Resonance Tuning. Adv. Mater. 2020, 32, 2002208. [Google Scholar] [CrossRef]
- Peddigari, M.; Kwak, M.S.; Min, Y.; Ahn, C.W.; Choi, J.J.; Hahn, B.D.; Choi, C.; Hwang, G.T.; Yoon, W.H.; Jang, J. Lifetime estimation of single crystal macro-fiber composite-based piezoelectric energy harvesters using accelerated life testing. Nano Energy 2021, 8, 106279. [Google Scholar] [CrossRef]
- Lee, G.-J.; Lee, M.-K.; Park, J.-J.; Hyeon, D.Y.; Jeong, C.K.; Park, K.-I. Piezoelectric Energy Harvesting from Two-Dimensional Boron Nitride Nanoflakes. ACS Appl. Mater. Interfaces 2019, 11, 37920–37926. [Google Scholar] [CrossRef] [PubMed]
- Chew, Z.J.; Ruan, T.; Zhu, M. Strain Energy Harvesting Powered Wireless Sensor System Using Adaptive and Energy-Aware Interface for Enhanced Performance. IEEE Trans. Ind. Informat. 2017, 13, 3006–3016. [Google Scholar] [CrossRef]
- Saini, G.; Baghini, M.S. A Generic Power Management Circuit for Energy Harvesters with Shared Components Between the MPPT and Regulator. IEEE Trans. Very Large Scale Integr. VLSI Syst. 2019, 27, 535–548. [Google Scholar] [CrossRef]
- Hu, H.; Wang, H.; Xue, H.; Jiang, S.; Hu, Y. Experimental research on nonlinear coupling between two sides of rectification in piezoelectric energy harvester. In Proceedings of the 2010 Symposium on Piezoelectricity, Acoustic Waves and Device Applications, Xiamen, China, 10–13 December 2010; pp. 424–427. [Google Scholar] [CrossRef]
- Liu, H.; Fu, H.; Sun, L.; Lee, C.; Yeatman, E.M. Hybrid energy harvesting technology: From materials, structural design, system integration to applications. Renew. Sustain. Energy Rev. 2021, 137, 110473. [Google Scholar] [CrossRef]
- Hemour, S.; Wu, K. Radio-Frequency Rectifier for Electromagnetic Energy Harvesting: Development Path and Future Outlook. Proc. IEEE 2014, 102, 1667–1691. [Google Scholar] [CrossRef]
- Garbuio, L.; Lallart, M.; Guyomar, D.; Richard, C.; Audigier, D. Mechanical Energy Harvester With Ultralow Threshold Rectification Based on SSHI Nonlinear Technique. IEEE Trans. Ind. Electron. 2009, 56, 1048–1056. [Google Scholar] [CrossRef]
- Du, S.; Jia, Y.; Zhao, C.; Amaratunga, G.A.J.; Seshia, A.A. A Passive Design Scheme to Increase the Rectified Power of Piezoelectric Energy Harvesters. IEEE Trans. Ind. Electron. 2018, 65, 7095–7105. [Google Scholar] [CrossRef]
- Shousha, M.; Dinulovic, D.; Brooks, M.; Haug, M. A miniaturized cost effective shared inductor based energy management system for ultra-low-voltage electromagnetic energy harvesters in battery powered applications. In Proceedings of the 2018 IEEE Applied Power Electronics Conference and Exposition (APEC), San Antonio, TX, USA, 4–8 March 2018; pp. 703–707. [Google Scholar] [CrossRef]
- Porras, C.J.V.G.; Santiago, G.K.Q.; Soriano, K.Y.M.; Sumabat, C.M.R.; Albao, J.D.; Cruz, A.R.D.; Vicerra, R.R.P.; Roxas, E.A. Power management system for Multi-Input Multi-Output energy harvesters using fuzzy logic. In Proceedings of the 2015 International Conference on Humanoid, Nanotechnology, Information Technology, Communication and Control, Environment and Management (HNICEM), Cebu, Philippines, 9–12 December 2015; pp. 1–5. [Google Scholar] [CrossRef]
- Roslee, M.F.I.; Ahmad, M.R. Development of Multi-Inputs Power Management Circuit for Hybrid Energy Harvester. In Proceedings of the 2018 International Conference on Intelligent and Advanced System (ICIAS), Kuala Lumpur, Malaysia, 13–14 August 2018; pp. 1–5. [Google Scholar] [CrossRef]
- Yang, Z.; Zarabi, S.; Fernandes, E.; Rua, I.; Debéda, H.; Salehian, A.; Nairn, D.; Wei, L. Electricity Monitoring System with Interchangeable Piezoelectric Energy Harvesters and Dynamic Power Management Circuitry. In Proceedings of the IEEE 18th International Conference on Nanotechnology (IEEE-NANO), Cork, Ireland, 23–26 July 2018; pp. 1–4. [Google Scholar] [CrossRef]
- Chong, Y.-W.; Ismail, W.; Ko, K.; Lee, C.-Y. Energy Harvesting for Wearable Devices: A Review. IEEE Sens. J. 2019, 19, 9047–9062. [Google Scholar] [CrossRef]
- Kubicek, J.; Fiedorova, K.; Vilimek, D.; Cerny, M.; Penhaker, M.; Janura, M.; Rosicky, J. Recent Trends, Construction and Applications of Smart Textiles and Clothing for Monitoring of Health Activity: A Comprehensive Multidisciplinary Review. IEEE Rev. Biomed. Eng. 2020, 1. [Google Scholar] [CrossRef]
- Todaro, M.T.; Guido, F.; Algieri, L.; Mastronardi, V.M.; Desmaële, D.; Epifani, G.; De Vittorio, M. Biocompatible, Flexible, and Compliant Energy Harvesters Based on Piezoelectric Thin Films. IEEE Trans. Nanotechnol. 2018, 17, 220–230. [Google Scholar] [CrossRef]
- Iranmanesh, E.; Li, W.; Wang, K. Finite element analysis and single-pixel evaluation of a pixelated energy-harvesting array by integrating PVDF film with dual-gate thin film transistors. In Proceedings of the 2016 IEEE International Conference on Advanced Intelligent Mechatronics (AIM), Banff, AB, Canada, 12–15 July 2016; pp. 1622–1627. [Google Scholar] [CrossRef]
- Iranmanesh, E.; Rasheed, A.; Li, W.; Wang, K. A Wearable Piezoelectric Energy Harvester Rectified by a Dual-Gate Thin-Film Transistor. IEEE Trans. Elec. Dev. 2018, 65, 542–546. [Google Scholar] [CrossRef]
- Mishu, M.K.; Rokonuzzaman, M.; Pasupuleti, J.; Shakeri, M.; Rahman, K.S.; Binzaid, S.; Tiong, S.K.; Amin, N. An Adaptive TE-PV Hybrid Energy Harvesting System for Self-Powered IoT Sensor Applications. Sensors 2021, 21, 2604. [Google Scholar] [CrossRef] [PubMed]
- Chamanian, S.; Çiftci, B.; Uluşan, H.; Muhtaroğlu, A.; Külah, H. Power-Efficient Hybrid Energy Harvesting System for Harnessing Ambient Vibrations. IEEE Trans. Circuits Syst. I Reg. Pap. 2019, 66, 2784–2793. [Google Scholar] [CrossRef]
- Ahmad, I.; Abdelrhman, A.; Georgantopoulou, C.; Imam, S.A.; Najat, S. Wearable vibration based hybrid energy harvester for wearable devices. In Proceedings of the 8th International Conference on Modeling Simulation and Applied Optimization (ICMSAO), Manama, Bahrain, 15–17 April 2019; pp. 1–4. [Google Scholar] [CrossRef]
- Ostfeld, A.E.; Gaickwad, A.M.; Khan, Y.; Arias, A.C. High-performance flexible energy storage and harvesting system for wearable electronics. Sci. Rep. 2016, 6, 26122. [Google Scholar] [CrossRef]
- Zhao, J.; You, Z. A Shoe-Embedded Piezoelectric Energy Harvester for Wearable Sensors. Sensors 2014, 14, 12497–12510. [Google Scholar] [CrossRef] [PubMed]
- Chuan, L.C.; Wahid, H.; Rahim, H.A.; Rahim, R.A. A Review of Thermoelectric Energy Harvester and Its Power Management Approach in Electronic Applications. J. Teknologi 2015, 73. [Google Scholar] [CrossRef][Green Version]
- Gudan, K.; Shao, S.; Hull, J.J.; Ensworth, J.; Reynolds, M.S. Ultra-low power 2.4GHz RF energy harvesting and storage system with −25dBm sensitivity. In Proceedings of the 2015 IEEE International Conference on RFID (RFID), San Diego, CA, USA, 15–17 April 2015; pp. 40–46. [Google Scholar] [CrossRef]
- Bayramol, D.V.; Hadimani, R.; Shah, T.; Siores, E. Hybrid Photovoltaic-Piezoelectric Flexible Device for Energy Harvesting from Nature. Adv. Sci. Technol. 2013, 77, 297–301. [Google Scholar] [CrossRef]
- Tan, Y.K.; Panda, S.K. Energy harvesting from hybrid indoor ambient light and thermal energy sources for enhanced performance of wireless sensor nodes. IEEE Trans. Ind. Electron. 2010, 58, 4424–4435. [Google Scholar] [CrossRef]
- Vankecke, C.; Assouére, L.; Wang, A.; Durand-Estébe, P.; Caignet, F.; Dilhac, J.M.; Bafleur, M. Multisource and Battery-Free Energy Harvesting Architecture for Aeronautics Applications. IEEE Trans. Power Electron. 2015, 30, 3215–3227. [Google Scholar] [CrossRef]
- Ou, H.; Deng, S.; Xu, N.; Chen, J.; Wang, K. Three-dimensional fin-shaped dual-gate photosenstive a-Si:H thin-film transistor for low dose X-ray imaging. In Proceedings of the 2016 7th International Conference on Computer Aided Design for Thin-Film Transistor Technologies (CAD-TFT), Beijing, China, 26–28 October 2016; p. 1. [Google Scholar] [CrossRef]
- Robinson, S.; Preston, R.; Smith, M.; Millar, C. PVDF reference hydrophone development in the UK-from fabrication and lamination to use as secondary standards. IEEE Trans. Ultrason. Ferroelectr. Freq. Control. 2000, 47, 1336–1344. [Google Scholar] [CrossRef] [PubMed]
- Iranmanesh, E.; Li, W.; Rasheed, A.; Wang, K. A Piezoelectric-Transducer-Biased 3-D Photosensitive Thin-Film Transistor as a Dual-Mode Wearable Energy Harvester. IEEE Electron Dev. Lett. 2020, 41, 1368–1371. [Google Scholar] [CrossRef]
- Rogez, G.; Supancic, J.S.; Ramanan, D. Understanding Everyday Hands in Action from RGB-D Images. In Proceedings of the IEEE International Conference on Computer Vision, Santiago, Chile, 7–13 December 2015; pp. 3889–3897. [Google Scholar] [CrossRef]












| Type of Harvester | Output Type | Rectification | Max. Power Tracking Point Circuit | Application | Extra Units in Management | Interfacing between Different Modes of Harvesting | Ref. |
|---|---|---|---|---|---|---|---|
| PV | DC | NO | Required | Wearable Wrist band | NO | NO | [24] |
| PENG | AC | YES | Required | shoe | NO | NO | [25] |
| TENG | DC | NO | YES | Wearable medical devices | YES (DC-DC booster) | NO | [26] |
| RF | AC | YES | YES | WIFI | YES (Booster) | NO | [27] |
| PV-PENG | AC & DC | Needed for PENG | YES | Sensor (Working with Wind and Light) | YES | YES (Challenging and Complexed) | [28] |
| PV-TENG | AC & DC | Needed for TEG | YES | Enhancement of indoor WSN | NO (Each harvesting mode needs a unique management unit) | YES (Mismatch between harvesters occurs) | [29] |
| PENG-TENG | AC | YES | NO | Aeronautics | NO | YES (Problematic) | [30] |
| Solar-Dynamic Stimuli | AC | NO | NO | GLOVE | NO | NO | This Work |
| Comparison of | Single-Pixel Singular-Mode Harvester with Conventional TFT | Single-Pixel Dual-Mode Harvester with Photosensitive DGTFT | Array of Singular-Mode Harvester with Conventional TFT | Array of Dual-Mode Harvester with Photosensitive TFT (The Glove) |
|---|---|---|---|---|
| Output Power | 2.8–3.4 µW | 3.5–5 µW | 5.8–8.8 µW | 8.5–13 µW |
| Comparison of | Single-Pixel Singular-Mode Harvester with Conventional TFT | Single-Pixel Dual-Mode Harvester with Photosensitive DGTFT | Array of Singular-Mode Harvester with Conventional TFT | Array of Dual-Mode Harvester with Photosensitive TFT (The Glove) |
|---|---|---|---|---|
| Peak Voltage | 5.2–5.8 V | 5.9–7.0 V | 7.6–9.2 V | 9.4–11.5 V |
Publisher’s Note: MDPI stays neutral with regard to jurisdictional claims in published maps and institutional affiliations. |
© 2021 by the authors. Licensee MDPI, Basel, Switzerland. This article is an open access article distributed under the terms and conditions of the Creative Commons Attribution (CC BY) license (https://creativecommons.org/licenses/by/4.0/).
Share and Cite
Iranmanesh, E.; Li, W.; Zhou, H.; Wang, K. A System-Level Approach towards a Hybrid Energy Harvesting Glove. Sensors 2021, 21, 5349. https://doi.org/10.3390/s21165349
Iranmanesh E, Li W, Zhou H, Wang K. A System-Level Approach towards a Hybrid Energy Harvesting Glove. Sensors. 2021; 21(16):5349. https://doi.org/10.3390/s21165349
Chicago/Turabian StyleIranmanesh, Emad, Weiwei Li, Hang Zhou, and Kai Wang. 2021. "A System-Level Approach towards a Hybrid Energy Harvesting Glove" Sensors 21, no. 16: 5349. https://doi.org/10.3390/s21165349
APA StyleIranmanesh, E., Li, W., Zhou, H., & Wang, K. (2021). A System-Level Approach towards a Hybrid Energy Harvesting Glove. Sensors, 21(16), 5349. https://doi.org/10.3390/s21165349

