Estimation of Earthquake Early Warning Parameters for Eastern Gulf of Corinth and Western Attica Region (Greece). First Results
Abstract
1. Introduction
2. Seismotectonic Setting, Data Acquisition, and Processing
3. Empirical Correlation Laws for Eastern Gulf of Corinth and Western Attica Region
3.1. Peak Ground Displacement, Magnitude, and Distance
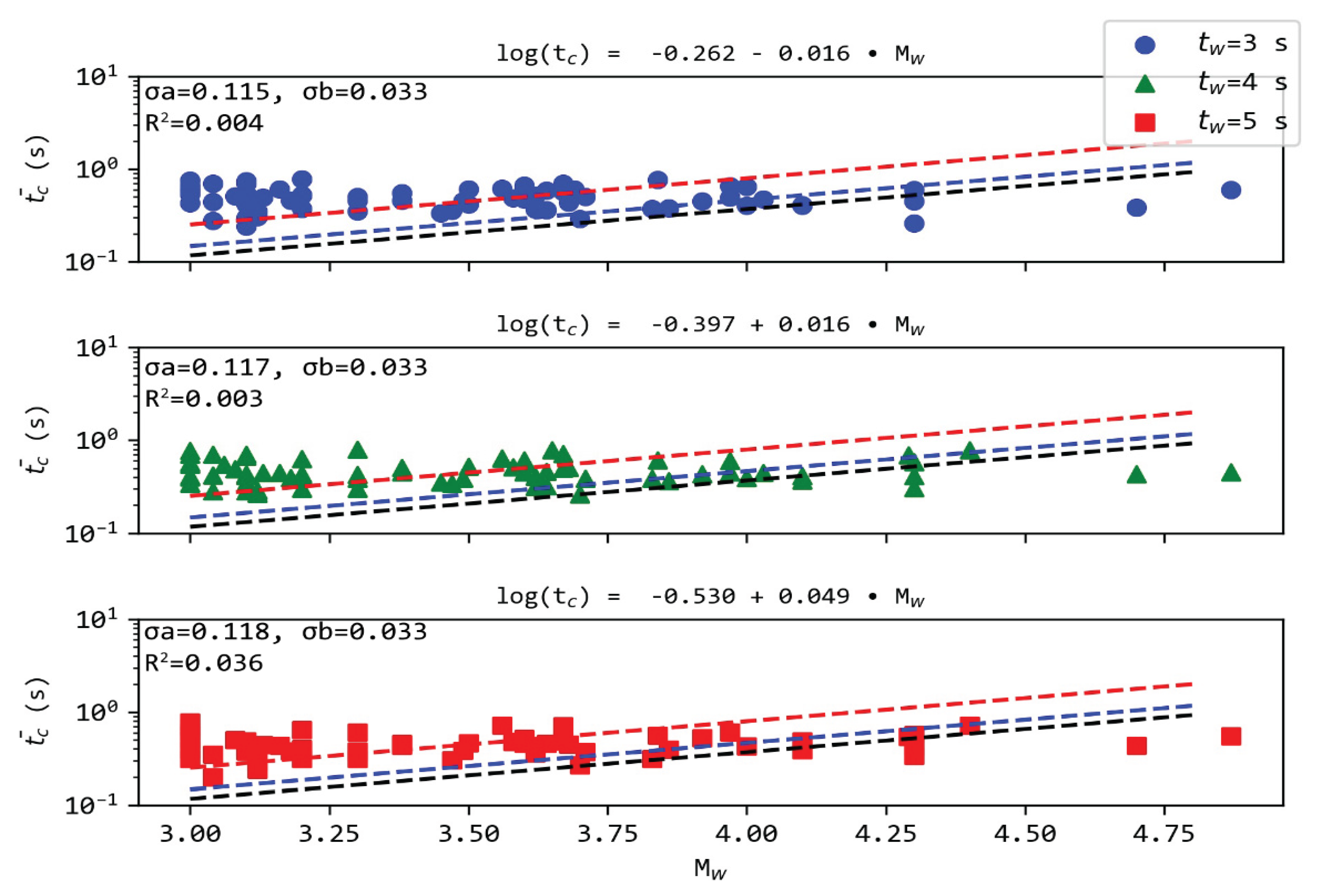
3.2. The Characteristic Period τc
3.3. By-Passing the Earthquake Magnitude Estimation: The Integral of the Squared Velocity ()
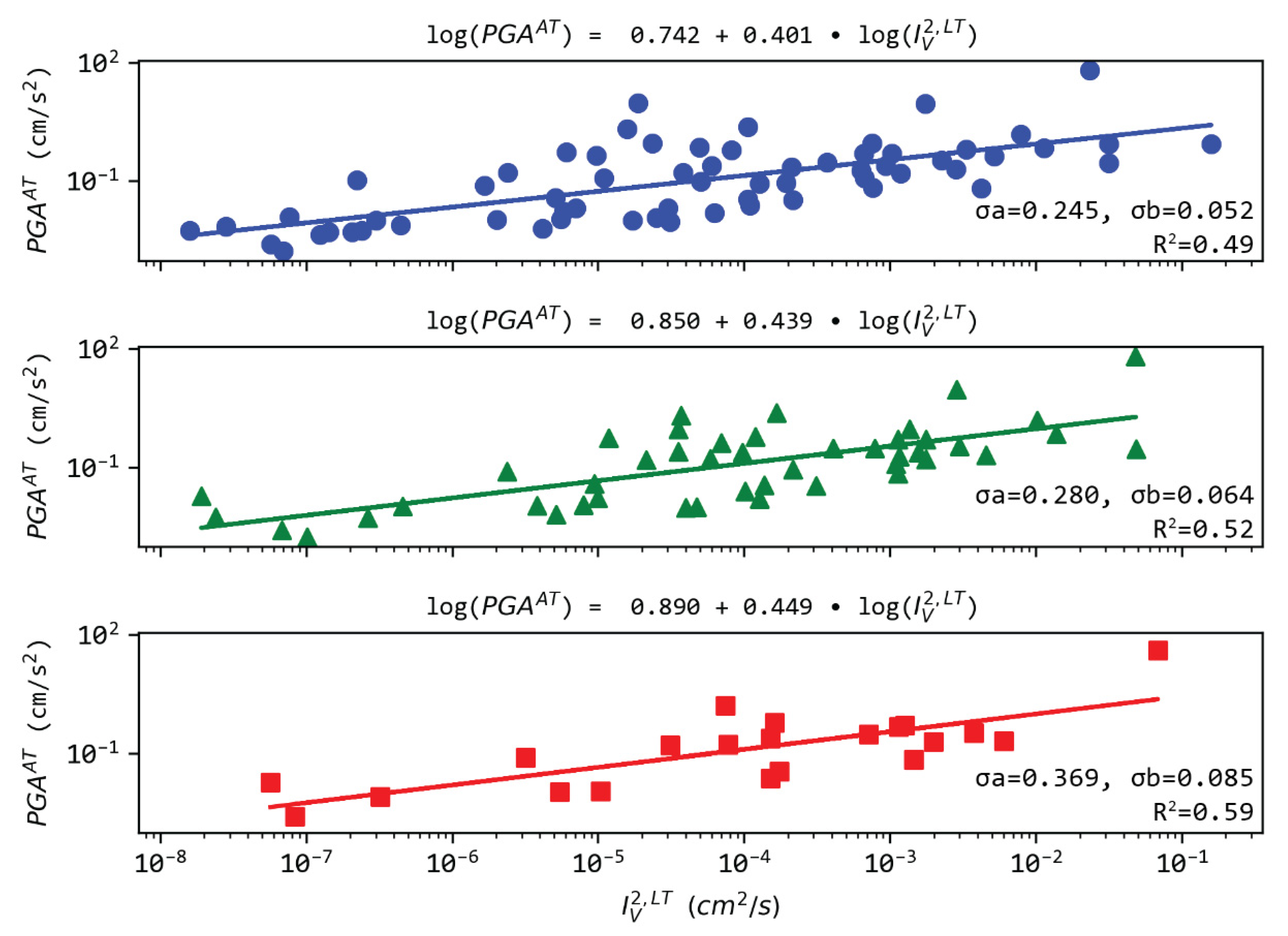
3.4. PGA in Target Site versus Pd,v,a and Estimated Close to Epicenter
4. Conclusions
Supplementary Materials
Author Contributions
Funding
Institutional Review Board Statement
Data Availability Statement
Acknowledgments
Conflicts of Interest
Appendix A. Relation between Predicted and Observed Magnitudes


References
- Kanamori, H.; Hauksson, E.; Heaton, T. Real-time seismology and earthquake hazard mitigation. Nature 1997, 390, 461–464. [Google Scholar] [CrossRef]
- Nakamura, Y. On the Urgent Earthquake Detection and Alarm System (UrEDAS). In Proceedings of the 9th World Conference on Earthquake Engineering, Tokyo-Kyoto, Japan, 2–6 August 1988. [Google Scholar]
- Gasparini, P.; Manfredi, G.; Zschau, J. Earthquake early warning as a tool for improving society’s resilience and crisis response. Soil Dyn. Earthq. Eng. 2011, 31, 267–270. [Google Scholar] [CrossRef]
- Parolai, S.; Bindi, D.; Boxberger, T.; Milkereit, C.; Fleming, K.; Pittore, M. On-site early warning and rapid damage forecasting using single stations: Outcomes from the REAKT project. Seismol. Res. Lett. 2015, 86, 1393–1404. [Google Scholar] [CrossRef]
- Allen, R.M. The Elarms Earthquake Early Warning Methodology and its Application across California. In Earthquake Early Warning System; Gasparini, P., Manfredi, G., Zschau, J., Eds.; Springer: Berlin/Heidelberg, Germany, 2007; pp. 21–43. [Google Scholar] [CrossRef]
- Allen, R.M.; Kanamori, H. The potential for earthquake early warning in Southern California. Science 2003, 300, 786–789. [Google Scholar] [CrossRef]
- Kanamori, H. Real-time seismology and earthquake damage mitigation. Annu. Rev. Earth Planet. Sci. 2005, 33, 195–214. [Google Scholar] [CrossRef]
- Hloupis, G.; Vallianatos, F. Wavelet-Based Methods for Rapid Calculations of Magnitude and Epicentral Distance: An Application to Earthquake Early Warning System. Pure Appl. Geophys. 2015, 172, 2371–2386. [Google Scholar] [CrossRef]
- Simons, F.J.; Dando, B.; Allen, R.M. Automatic detection and rapid determination of earthquake magnitude by wavelet multiscale analysis of the primary arrival. Earth Planet. Sci. Lett. 2006, 250, 214–223. [Google Scholar] [CrossRef]
- Hloupis, G.; Vallianatos, F. Wavelet-based rapid estimation of earthquake magnitude oriented to early warning. IEEE Geosci. Remote. Sens. Lett. 2013, 10, 43–47. [Google Scholar] [CrossRef]
- Espinosa-Aranda, J.; Jiménez, A.; Ibarrola, G.; Alcantar, F.; Aguilar, A.; Inostroza, M.; Maldonado, S. Mexico City seismic alert system. Seism. Res. Lett. 1995, 66, 42–53. [Google Scholar] [CrossRef]
- Wu, Y.M.; Shin, T.C.; Tsai, Y.B. Quick and reliable determination of magnitude for seismic early warning. Bull. Seism. Soc. Am. 1998, 88, 1254–1259. [Google Scholar]
- Wu, Y.M.; Chung, J.K.; Shin, T.C.; Hsiao, N.C.; Tsai, Y.B.; Lee, W.H.K.; Teng, T.L. Development of an integrated seismic early warning system in Taiwan- case for Hualien earthquakes. Terr. Atmos. Ocean. Sci. 1999, 10, 719–736. [Google Scholar] [CrossRef]
- Wu, Y.M.; Lee, W.H.K.; Chen, C.C.; Shin, T.C.; Teng, T.L.; Tsai, Y.B. Performance of the Taiwan Rapid Earthquake Information Release System (RTD) during the 1999 Chi-Chi (Taiwan) earthquake. Seismol. Res. Lett. 2000, 71, 338–343. [Google Scholar] [CrossRef]
- Chung, A.I.; Meier, M.A.; Andrews, J.; Böse, M.; Crowell, B.W.; McGuire, J.J.; Smith, D.E. ShakeAlert earthquake early warning system performance during the 2019 Ridgecrest earthquake sequence. Bull. Seismol. Soc. Am. 2020, 110, 1904–1923. [Google Scholar] [CrossRef]
- Iannacone, G.; Zollo, A.; Elia, L.; Convertito, V.; Satriano, C.; Martino, C.; Festa, G.; Lancieri, M.; Bobbio, A.; Stabile, T.A.; et al. A prototype system for earthquake early-warning and alert management in southern Italy. Bull. Earthq. Eng. 2010, 8, 1105–1129. [Google Scholar] [CrossRef]
- Brondi, P.; Picozzi, M.; Emolo, A.; Zollo, A.; Mucciarelli, M. Predicting the macroseismic intensity from early radiated P wave energy for on-site earthquake early warning in Italy. J. Geophys. Res. Solid Earth 2015, 120, 7174–7189. [Google Scholar] [CrossRef]
- Wu, Y.M.; Kanamori, H. Experiment of an on-site method for the Taiwan Early Warning System. Bull. Seismol. Soc. Am. 2005, 95, 347–353. [Google Scholar] [CrossRef]
- Trugman, D.T.; Page, M.T.; Minson, S.E.; Cochran, E.S. Peak Ground Displacement Saturates Exactly When Expected: Implications for Earthquake Early Warning. J. Geophys. Res. Solid Earth 2019, 124, 4642–4653. [Google Scholar] [CrossRef]
- Allen, R.M.; Melgar, D. Earthquake Early Warning: Advances, Scientific Challenges, and Societal Needs. Annu. Rev. Earth Planet. Sci. 2019, 47, 361–388. [Google Scholar] [CrossRef]
- Kodera, Y.; Yamada, Y.; Hirano, K.; Tamaribuchi, K.; Adachi, S.; Hayashimoto, N.; Morimoto, M.; Nakamura, M.; Hoshiba, M. The Propagation of Local Undamped Motion (PLUM) Method: A Simple and Robust Seismic Wavefield Estimation Approach for Earthquake Early Warning. Bull. Seismol. Soc. Am. 2018, 108, 983–1003. [Google Scholar] [CrossRef]
- Minson, S.E.; Baltay, A.S.; Cochran, E.S.; Hanks, T.C.; Page, M.T.; McBride, S.K.; Milner, K.R.; Meier, M.-A. The Limits of Earthquake Early Warning Accuracy and Best Alerting Strategy. Sci. Rep. 2019, 9, 1–13. [Google Scholar] [CrossRef]
- Meier, M.A. How “good” are real-time ground motion predictions from Earthquake Early Warning systems? J. Geophys. Res. Solid Earth 2017, 122, 5561–5577. [Google Scholar] [CrossRef]
- Burton, P.W.; Xu, Y.; Tselentis, G.A.; Sokos, E.; Aspinall, W. Strong ground acceleration seismic hazard in Greece and neighboring regions. Soil Dyn. Earthq. Eng. 2003, 23, 159–181. [Google Scholar] [CrossRef]
- Giardini, D.; Wössner, J.; Danciu, L. Mapping Europe’s seismic hazard. Eos 2014, 95, 261–262. [Google Scholar] [CrossRef]
- Velazquez, O.; Pescaroli, G.; Cremen, G.; Galasso, C. A Review of the Technical and Socio-Organizational Components of Earthquake Early Warning Systems. Front. Earth Sci. 2020, 8, 445. [Google Scholar] [CrossRef]
- Vavlas, N.A.; Kiratzi, A.; Roumelioti, Z. Source Process-Related Delays in Earthquake Early Warning for Example Cases in Greece. Bull. Seismol. Soc. Am. 2021. [Google Scholar] [CrossRef]
- Sokos, E.; Tselentis, G.-A.; Paraskevopoulos, P.; Serpetsidaki, A.; Stathopoulos-Vlamis, A.; Panagis, A. Towards earthquake early warning for the Rion-Antirion bridge, Greece. Bull. Earthq. Eng. 2016, 14, 2531–25421. [Google Scholar] [CrossRef]
- Kapetanidis, V.; Papadimitriou, P.; Kaviris, G. Earthquake Early Warning application in Central Greece. Bull. Geol. Soc. Greece 2019, 7, 277–278. [Google Scholar]
- King, G.C.P.; Ouyang, Z.X.; Papadimitriou, P.; Deschamps, A.; Gagnepain, J.; Houseman, G.; Jackson, J.A.; Soufleris, C.; Virieux, J. The evolution of the Gulf of Corinth (Greece): An aftershock study of the 1981 earthquakes. Geophys. J. Int. 1985, 80, 677–693. [Google Scholar] [CrossRef]
- Ganas, A.; Oikonomou, I.A.; Tsimi, C. NOAfaults: A digital database for active faults in Greece. Bull. Geol. Soc. Greece 2013, 47, 518–530. [Google Scholar] [CrossRef]
- Papadopoulos, G.A.; Ganas, A.; Pavlides, S. The problem of seismic potential assessment: Case study of the unexpected earthquake of 7 September 1999 in Athens, Greece. Earth Planets Space 2002, 54, 9–18. [Google Scholar] [CrossRef]
- Papadimitriou, P.; Voulgaris, N.; Kassaras, I.; Kaviris, G.; Delibasis, N.; Makropoulos, K. The Mw = 6.0, 7 September 1999 Athens earthquake. Nat. Hazards 2002, 27, 15–33. [Google Scholar] [CrossRef]
- Ganas, A.; Papadopoulos, G.; Pavlides, S.B. The 7 September 1999 Athens 5.9 Msearthquake: Remote sensing and digital elevation model inputs towards identifying the seismic fault. Int. J. Remote Sens. 2001, 22, 191–196. [Google Scholar] [CrossRef]
- Lekkas, E. The Athens earthquake (7 September 1999): Intensity distribution and controlling factors. Eng. Geol. 2001, 59, 297–311. [Google Scholar] [CrossRef]
- Kapetanidis, V.; Karakonstantis, A.; Papadimitriou, P.; Pavlou, K.; Spingos, I.; Kaviris, G.; Voulgaris, N. The 19 July 2019 earthquake in Athens, Greece: A delayed major aftershock of the 1999 Mw = 6.0 event, or the activation of a different structure? J. Geodyn. 2020, 139, 101766. [Google Scholar] [CrossRef]
- Kouskouna, V.; Ganas, A.; Kleanthi, M.; Kassaras, I.; Sakellariou, N.; Sakkas, G.; Valkaniotis, S.; Manousou, E.; Bozionelos, G.; Tsironi, V.; et al. Evaluation of macroseismic intensity, strong ground motion pattern and fault model of the 19 July 2019 Mw 5.1 earthquake west of Athens. J. Seismol. 2021, 25, 747–769. [Google Scholar] [CrossRef]
- Elias, P.; Spingos, I.; Kaviris, G.; Karavias, A.; Gatsios, T.; Sakkas, V.; Parcharidis, I. Combined Geodetic and Seismological Study of the December 2020 Mw = 4.6 Thiva (Central Greece) Shallow Earthquake. Appl. Sci. 2021, 11, 5947. [Google Scholar] [CrossRef]
- Kaviris, G.; Spingos, I.; Millas, C.; Kapetanidis, V.; Fountoulakis, I.; Papadimitriou, P.; Voulgaris, N.; Drakatos, G. Effects of the January 2018 seismic sequence on shear-wave splitting in the upper crust of Marathon (NE Attica, Greece). Phys. Earth Planet. Inter. 2018, 285, 45–58. [Google Scholar] [CrossRef]
- Makropoulos, K.; Kaviris, G.; Kouskouna, V. An updated and extended earthquake catalogue for Greece and adjacent areas since 1900. Nat. Hazards Earth Syst. Sci. 2012, 12, 1425–1430. [Google Scholar] [CrossRef]
- Papazachos, B.C.; Papazachou, C. The Earthquakes of Greece; Ziti Publ.: Thessaloniki, Greece, 2003; p. 304. (In Greek) [Google Scholar]
- Papazachos, B.C.; Comninakis, P.E.; Papadimitriou, E.E.; Scordilis, E.M. Properties of the February-March 1981 seismic sequence in the Alkyonides gulf of central Greece. Ann. Geophys. 1984, 2, 537–544. [Google Scholar] [CrossRef]
- Collier, R.E.L.; Pantosti, D.; D’Addezio, G.; De Martini, P.M.; Masana, E.; Sakellariou, D. Paleoseismicity of the 1981 Corinth earthquake fault: Seismic contribution to extensional strain in central Greece and implications for seismic hazard. J. Geophys. Res. Solid Earth 1998, 103, 30001–30019. [Google Scholar] [CrossRef]
- Scordilis, E.M. Empirical Global Relations Converting Ms and mb to Moment Magnitude. J. Seismol. 2006, 10, 225–236. [Google Scholar] [CrossRef]
- Kaviris, G.; Papadimitriou, P.; Makropoulos, K. Magnitude Scales in Central Greece. Bull. Geol. Soc. Greece 2007, 40, 1114. [Google Scholar] [CrossRef][Green Version]
- Evangelidis, C.; Triantafyllis, N.; Samios, M.; Boukouras, K.; Kontakos, K.; Ktenidou, O.J.; Fountoulakis, I.; Kalogeras, I.; Melis, N.; Galanis, O.; et al. Seismic Waveform Data from Greece and Cyprus: Integration, Archival, and Open Access. Seismol. Res. Lett. 2021, 92, 1672–1684. [Google Scholar] [CrossRef]
- Krischer, L.; Megies, T.; Barsch, R.; Beyreuther, M.; Lecocq, T.; Caudron, C.; Wassermann, J. ObsPy: A bridge for seismology into the scientific Python ecosystem. Comput. Sci. Discov. 2015, 8, 014003. [Google Scholar] [CrossRef]
- Baer, M.; Kradolfer, U. An automatic phase picker for local and teleseismic events. Bull. Seismol. Soc. Am. 1987, 77, 1437–1445. [Google Scholar] [CrossRef]
- Crotwell, H.P.; Owens, T.J.; Ritsema, J. The TauP Toolkit: Flexible Seismic Travel-time and Ray-path Utilities. Seismol. Res. Lett. 1999, 70, 154–160. [Google Scholar] [CrossRef]
- Rigo, A.; Lyon-Caen, H.; Armijo, R.; Deschamps, A.; Hatzfeld, D.; Makropoulos, K.; Papadimitriou, P.; Kassaras, I. A microseismic study in the western part of the Gulf of Corinth (Greece): Implications for large-scale normal faulting mechanisms. Geophys. J. Int. 1996, 126, 663–688. [Google Scholar] [CrossRef]
- Wu, Y.-M.; Kanamori, H. Development of an Earthquake Early Warning System Using Real-Time Strong Motion Signals. Sensors 2008, 8, 1–9. [Google Scholar] [CrossRef]
- Wu, Y.M.; Zhao, L. Magnitude estimation using the first three seconds P-wave amplitude in earthquake early warning. Geophys. Res. Lett. 2006, 33, L16312. [Google Scholar] [CrossRef]
- Zollo, A.; Lancieri, M.; Nielsen, S. Earthquake magnitude estimation from peak amplitudes of very early seismic signals on strong motion, Geophys. Res. Lett. 2006, 33, L23312. [Google Scholar] [CrossRef]
- Zollo, A.; Amoroso, O.; Lancieri, M.; Wu, Y.M.; Kanamori, H. A threshold-based earthquake early warning using dense accelerometer networks. Geophys. J. Int. 2010, 183, 963–974. [Google Scholar] [CrossRef]
- Nof, R.N.; Allen, R. Implementation the ElarmS Earthquake Early Warning Algorithm on the Israeli Seismic Network. Bull. Seismol. Soc. Am. 2016, 106, 2332–2344. [Google Scholar] [CrossRef]
- Sadeh, M.; Ziv, A.; Wust-Bloch, H. Real-time magnitude proxies for earthquake early warning in Israel. Geophys. J. Int. 2014, 196, 939–950. [Google Scholar] [CrossRef]
- Wu, Y.M.; Kanamori, H.; Allen, R.; Hauksson, E. Determination of earthquake early warning parameters, τc and Pd, for southern California. Geophys. J. Int. 2007, 170, 711–717. [Google Scholar] [CrossRef]
- Olson, E.L.; Allen, R.M. The deterministic nature of earthquake rupture. Nature 2005, 438, 212–215. [Google Scholar] [CrossRef]
- Lockman, A.; Allen, R.M. Magnitude-period scaling relations for Japan and the Pacific Northwest: Implications for earthquake early warning. Bull. Seismol. Soc. Am. 2007, 97, 140–150. [Google Scholar] [CrossRef]
- Allen, R.M.; Gasparini, P.; Kamigaichi, O.; Böse, M. The status of earthquake early warning around the world: An introductory overview. Seismol. Res. Lett. 2009, 80, 682–693. [Google Scholar] [CrossRef]
- Lior, I.; Ziv, A.; Madariaga, R. P-Wave Attenuation with Implications for Earthquake Early Warning. Bull. Seismol. Soc. Am. 2016, 106, 13–22. [Google Scholar] [CrossRef]
- Festa, G.; Zollo, A.; Lancieri, M. Earthquake magnitude estimation from early radiated energy. Geophys. Res. Lett. 2008, 35, L22307. [Google Scholar] [CrossRef]
- Satriano, C.; Wu, Y.H.; Zollo, A.; Kanamori, H. Earthquake early warning: Concepts, methods and physical grounds. Soil Dyn. Earthq. Eng. 2011, 31, 106–118. [Google Scholar] [CrossRef]
- Colombelli, S.; Caruso, A.; Zollo, A.; Festa, G.; Kanamori, H. A P wave-based, on-site method for earthquake early warning. Geophys. Res. Lett. 2015, 42, 1390–1398. [Google Scholar] [CrossRef]
- Wald, D.J. Practical limitations of earthquake early warning. Earthq. Spectra 2020, 36, 1412–1447. [Google Scholar] [CrossRef]
- Scaini, C.; Petrovic, B.; Tamro, A.; Moratto, L.; Parolai, S. Near-Real-Time damage estimation for Building based on strong motion recordings: An application to target areas in Northeastern Italy. Seismol. Res. Lett. 2021. [Google Scholar] [CrossRef]
- Van Der Walt, S.; Colbert, S.C.; Varoquaux, G. The NumPy array: A structure for efficient numerical computation. Comput. Sci. Eng. 2011, 13, 22–30. [Google Scholar] [CrossRef]
- Hunter, J.D. Matplotlib: A 2D Graphics Environment. Comput. Sci. Eng. 2007, 9, 90–95. [Google Scholar] [CrossRef]












| tw | Mpred/Mobs | Mpred-Mobs |
|---|---|---|
| 3 s | 1.017 ± 0.18 | 0.05 ± 0.61 |
| 4 s | 1.012 ± 0.17 | 0.034 ± 0.59 |
| 5 s | 1.022 ± 0.19 | 0.07 ± 0.65 |
Publisher’s Note: MDPI stays neutral with regard to jurisdictional claims in published maps and institutional affiliations. |
© 2021 by the authors. Licensee MDPI, Basel, Switzerland. This article is an open access article distributed under the terms and conditions of the Creative Commons Attribution (CC BY) license (https://creativecommons.org/licenses/by/4.0/).
Share and Cite
Vallianatos, F.; Karakonstantis, A.; Sakelariou, N. Estimation of Earthquake Early Warning Parameters for Eastern Gulf of Corinth and Western Attica Region (Greece). First Results. Sensors 2021, 21, 5084. https://doi.org/10.3390/s21155084
Vallianatos F, Karakonstantis A, Sakelariou N. Estimation of Earthquake Early Warning Parameters for Eastern Gulf of Corinth and Western Attica Region (Greece). First Results. Sensors. 2021; 21(15):5084. https://doi.org/10.3390/s21155084
Chicago/Turabian StyleVallianatos, Filippos, Andreas Karakonstantis, and Nikolaos Sakelariou. 2021. "Estimation of Earthquake Early Warning Parameters for Eastern Gulf of Corinth and Western Attica Region (Greece). First Results" Sensors 21, no. 15: 5084. https://doi.org/10.3390/s21155084
APA StyleVallianatos, F., Karakonstantis, A., & Sakelariou, N. (2021). Estimation of Earthquake Early Warning Parameters for Eastern Gulf of Corinth and Western Attica Region (Greece). First Results. Sensors, 21(15), 5084. https://doi.org/10.3390/s21155084
