An Analytic Model for Reducing Authentication Signaling Traffic in an End-to-End Authentication Scheme
Abstract
1. Introduction
1.1. Background
- (1)
- The Pi executes the LAP by sending an authentication request message to the GWN and delegates the GWN to perform mutual authentication with the SDj, wherein both of the Pi and SDj obtain the seed value of the PSij key;
- (2)
- The Pi and SDj can execute the SAP to authenticate each other a maximum of m times directly without going back to execute the LAP. In each SAP execution, the Pi and SDj derive a new value from the PSij key to encrypt the authentication parameters of the messages exchanged between them;
- (3)
- The WAP can be executed between the SDj and connected Sk after either the LAP or SAP execution to exchange either the vital signs or the medical orders of the patient. Therefore, the WAP can execute a maximum of m + 1 times without going back to the LAP execution.
1.2. Related Work
1.3. Motivations and Contributions
- (1)
- Introduced the E2EA scheme by explaining the relationship between its authentication phases.
- (2)
- Introduced the residence timeline of authentication events in E2EA scheme.
- (3)
- Proposed an analytic model to represent E2EA signaling traffic according to Poisson process, wherein the residence authentication time has three types of distribution: gamma, hypo-exponential, and exponential.
- (4)
- Derived a signaling traffic cost function for the (m) value effect on the communication lines between the authentication nodes.
- (5)
- Analyzed the derived signaling traffic cost function numerically using the Newton–Raphson method to determine the optimal value of (m) to minimize the cost of E2EA scheme.
1.4. Organization of This Paper
2. Proposed Analytic Model of E2EAScheme
2.1. T Has an Exponential Distribution with Mean
2.2. T Has Hypo-Exponential Distribution
2.3. T Has a Gamma Distribution
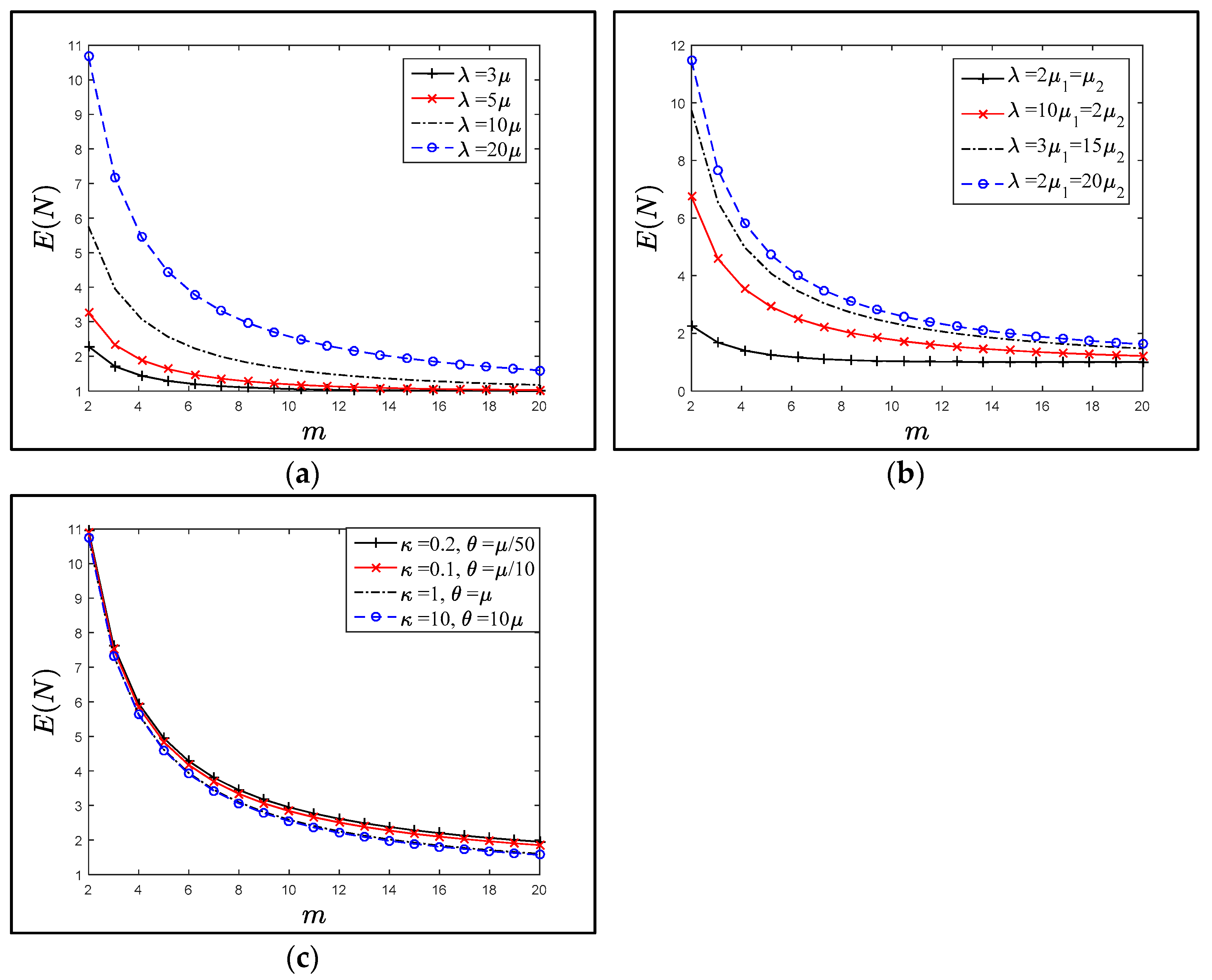
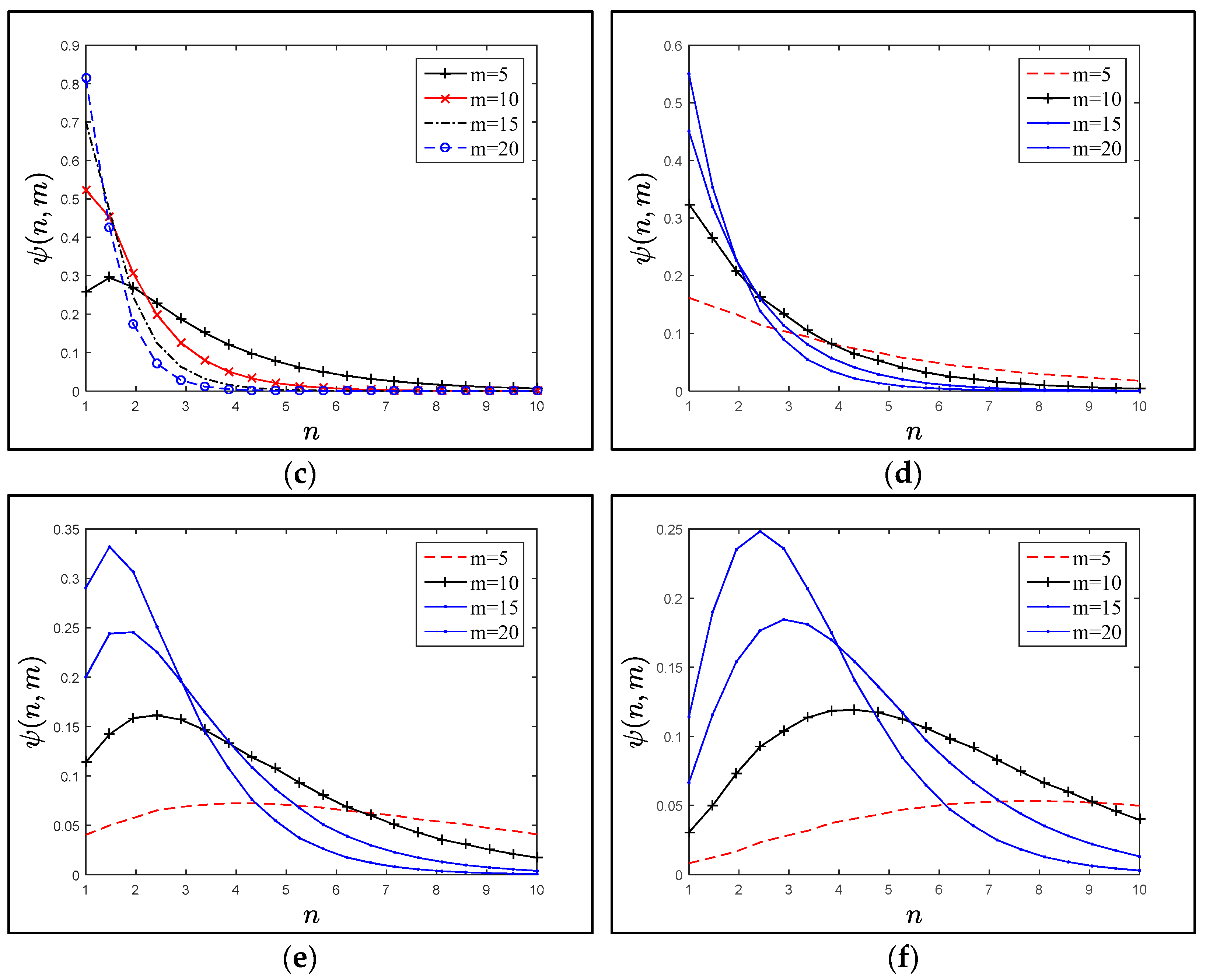
3. Analysis of the Proposed Analytical Model
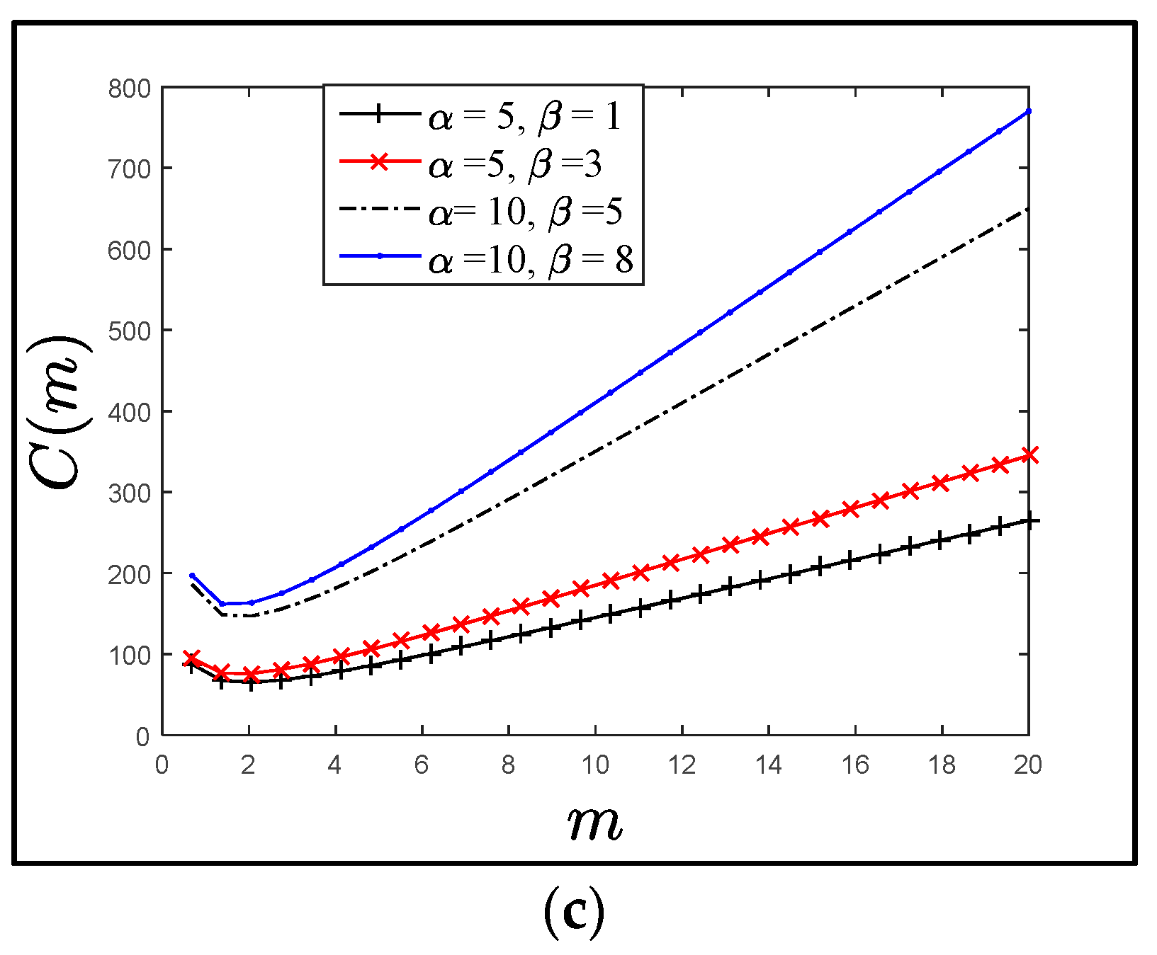
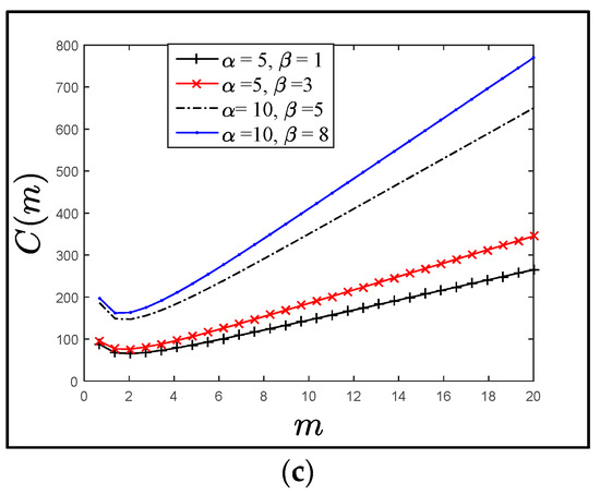
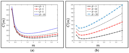
4. Optimal m-Value Selection
5. Conclusions
Author Contributions
Funding
Institutional Review Board Statement
Informed Consent Statement
Data Availability Statement
Acknowledgments
Conflicts of Interest
References
- Nashwan, S. An End-to-End Authentication Scheme for Healthcare IoT Systems Using WMSN. Comput. Mater. Contin. 2021, 68, 607–642. [Google Scholar] [CrossRef]
- Nashwan, S. AAA-WSN: Anonymous access authentication scheme for wireless sensor networks in big data environment. Egypt. Inform. 2021, 22, 15–26. [Google Scholar] [CrossRef]
- Morales, L.V.; Ruiz, D.D.; Rueda, S.J. Comprehensive security for body area networks: A survey. Int. J. Netw. Secur. 2019, 21, 342–354. [Google Scholar]
- Thaier, T.; Mohd, B.J.; Imran, M.; Almashaqbeh, G.; Vasilakos, A.V. Secure authentication for remote patient monitoring with wireless medical sensor networks. Sensors 2016, 16, 424. [Google Scholar]
- Hasan, M.K.; Shahjalal, M.; Chowdhury, M.Z.; Jang, Y.M. Real-time healthcare data transmission for remote patient monitoring in patch-based hybrid OCC/BLE networks. Sensors 2019, 19, 1208. [Google Scholar] [CrossRef] [PubMed]
- Al-Qerem, A.; Kharbat, F.; Nashwan, S.; Ashraf, S.; Blaou, K. General model for best feature extraction of EEG using discrete wavelet transform wavelet family and differential evolution. Int. J. Distrib. Sens. Netw. 2020, 16, 1550147720911009. [Google Scholar] [CrossRef]
- Hamarsheh, A.; Abdalaziz, Y.; Nashwan, S. Recent impediments in deploying IPv6. Adv. Sci. Technol. Eng. Syst. J. (ASTES) 2021, 6, 336–341. [Google Scholar] [CrossRef]
- Nykvist, C.; Larsson, M.; Sodhro, A.H.; Gurtov, A. A lightweight portable intrusion detection communication system for auditing applications. Int. J. Commun. Syst. 2020, 33, 4327. [Google Scholar] [CrossRef]
- Nashwan, S.; Alshammari, B. Formal analysis of MCAP protocol against replay attack. Br. J. Math. Comput. Sci. (BJMCS) 2017, 22, 1–14. [Google Scholar] [CrossRef][Green Version]
- Almrezeq, N.; Almadhoor, L.; Alrasheed, T.; Abd El-Aziz, A.A.; Nashwan, S. Design a secure IoT architecture using smart wireless networks. Int. J. Commun. Netw. Inf. Secur. (IJCNIS) 2020, 12, 401–410. [Google Scholar]
- Bolton, T.; Dargahi, T.; Belguith, S.; Al-Rakhami, M.S.; Sodhro, A.H. On the security and privacy challenges of virtual assistants. Sensors 2021, 21, 2312. [Google Scholar] [CrossRef]
- Kumar, P.; Lee, S.; Lee, J. E-SAP: Efficient-strong authentication protocol for healthcare applications using wireless medical sensor networks. Sensors 2012, 12, 1625–1647. [Google Scholar] [CrossRef]
- He, D.; Kumar, K.; Chen, J.; Lee, C.; Chilamkurti, N. Robust anonymous authentication protocol for healthcare applications using wireless medical sensor networks. Multimed. Syst. 2015, 21, 49–60. [Google Scholar] [CrossRef]
- Li, X.; Niu, J.; Kumari, S.; Liao, J.; Liang, W. A new authentication protocol for healthcare applications using wireless medical sensor networks with user anonymity. Secur. Comm. Netw. 2016, 9, 2643–2655. [Google Scholar] [CrossRef]
- Wu, F.; Xu, L.; Kumari, S.; Li, X. An improved and anonymous two-factor authentication protocol for health-care applications with wireless medical sensor networks. Multimed. Syst. 2017, 23, 195–205. [Google Scholar] [CrossRef]
- Mir, O.; Munilla, J.; Kumari, S. Efficient anonymous authentication with key agreement protocol for wireless medical sensor networks. Peer-to-Peer Netw. Appl. 2017, 10, 79–91. [Google Scholar] [CrossRef]
- Nashwan, S. SAK-AKA: A secure anonymity key of authentication and key agreement protocol for LTE network. Int. Arab J. Inf. Technol. (IAJIT) 2017, 14, 790–801. [Google Scholar]
- Nashwan, S. Secure authentication protocol for NFC mobile payment systems. Int. J. Comput. Sci. Netw. Secur. (IJCSNS) 2017, 17, 256–263. [Google Scholar]
- Nashwan, S. Synchronous authentication key management scheme for Inter-eNB handover over LTE networks. Int. J. Adv. Comput. Sci. Appl. (IJACSA) 2017, 8, 100–107. [Google Scholar] [CrossRef][Green Version]
- Al-Fayoumi, M.; Nashwan, S. Performance analysis of SAP-NFC protocol. Int. J. Commun. Netw. Inf. Secur. (IJCNIS) 2018, 10, 125–130. [Google Scholar]
- Nashwan, S. SE-H: Secure and efficient hash protocol for RFID system. Int. J. Commun. Netw. Inf. Secur. (IJCNIS) 2017, 9, 358–366. [Google Scholar]
- Chen, Y.; Ge, Y.; Wang, Y.; Zeng, Z. An improved three-factor user authentication and key agreement scheme for wireless medical sensor networks. IEEE Access 2019, 7, 85440–85451. [Google Scholar] [CrossRef]
- Amin, R.; Islam, S.H.; Biswas, G.P.; Khan, M.K.; Kumar, N. A robust and anonymous patient monitoring system using Wireless medical sensor networks. Future Gener. Comput. Syst. 2018, 80, 483–495. [Google Scholar] [CrossRef]
- Shuai, M.; Liu, B.; Yu, N.; Xiong, X. Lightweight and secure three-factor authentication scheme for remote patient monitoring using on-body wireless networks. Secur. Commun. Netw. 2019, 8145087. [Google Scholar] [CrossRef]
- Fotouhi, M.; Bayat, M.; Das, A.K.; Far, H.A.N.; Pournaghi, S.M.; Doostari, M.A. A lightweight and secure two-factor authentication scheme for wireless body area networks in health-care IoT. Comput. Netw. 2020, 177, 107333. [Google Scholar] [CrossRef]
- Lin, Y.; Chen, Y. Reducing authentication signaling traffic in third-generation mobile network. IEEE Trans. Wirel. Commun. 2003, 2, 493–501. [Google Scholar]
- Han, C.; Choi, H.; Baek, J.; Lee, H. Evaluation of authentication signaling loads in 3GPP LTE/SAE networks. In Proceedings of the 34th Annual IEEE Conference on Local Computer Networks, Zurich, Switzerland, 20–23 October 2009; IEEE Computer Society: New York, NY, USA, 2009. [Google Scholar]
- Al-Saraireh, J. Reducing authentication signaling traffic for LTE mobile networks. Int. J. Appl. Eng. Res. 2017, 12, 9306–9314. [Google Scholar]
- Nashwan, S.; Nashwan, I.I.H. Reducing the overhead messages cost of the SAK-AKA authentication scheme for 4G/5G mobile networks. IEEE Access 2021. [Google Scholar] [CrossRef]
- Broun, M. Probability and Statistics for Computer Scientists, 2nd ed.; Taylor and Francis Group: New York, NY, USA, 2014; pp. 64–67. [Google Scholar]
- Allen, M.B.; Isaacson, E.L. Numerical Analysis for Applied Science, 2nd ed.; WILEY: New York, NJ, USA, 2019; pp. 192–203. [Google Scholar]











| 1 | 1 | 2 | 3 | 3 | 3 | 4 | 5 | 7 |
| 2 | 2 | 2 | 3 | 3 | 3 | 4 | 6 | |
| 3 | 2 | 2 | 2 | 3 | 3 | 4 | 5 | |
| 4 | 2 | 2 | 2 | 2 | 3 | 4 | 5 | |
| 5 | 1 | 2 | 2 | 2 | 3 | 3 | 4 | |
| 5 | 1 | 2 | 3 | 4 | 4 | 5 | 6 | 9 |
| 3 | 2 | 3 | 3 | 4 | 4 | 6 | 8 | |
| 5 | 2 | 3 | 3 | 3 | 4 | 5 | 7 | |
| 10 | 1 | 2 | 3 | 4 | 4 | 5 | 7 | 9 |
| 2 | 2 | 3 | 4 | 4 | 5 | 6 | 9 | |
| 5 | 2 | 3 | 3 | 4 | 4 | 6 | 8 | |
| 8 | 2 | 3 | 3 | 4 | 4 | 5 | 8 | |
| 10 | 2 | 3 | 3 | 3 | 4 | 5 | 7 | |
| 20 | 1 | 3 | 3 | 4 | 4 | 5 | 7 | 10 |
| 2 | 2 | 3 | 4 | 4 | 5 | 7 | 9 | |
| 5 | 2 | 3 | 4 | 4 | 5 | 6 | 9 | |
| 10 | 2 | 3 | 3 | 4 | 4 | 6 | 8 | |
| 15 | 2 | 3 | 3 | 4 | 4 | 6 | 8 | |
| 20 | 2 | 3 | 3 | 3 | 4 | 5 | 7 | |
| 100 | 1 | 3 | 3 | 4 | 5 | 5 | 7 | 10 |
| 10 | 2 | 3 | 4 | 4 | 5 | 7 | 9 | |
| 15 | 2 | 3 | 4 | 4 | 5 | 7 | 9 | |
| 50 | 2 | 3 | 3 | 4 | 4 | 6 | 8 | |
| 75 | 2 | 3 | 3 | 4 | 4 | 6 | 8 | |
| 100 | 2 | 3 | 3 | 3 | 4 | 5 | 7 |
Publisher’s Note: MDPI stays neutral with regard to jurisdictional claims in published maps and institutional affiliations. |
© 2021 by the authors. Licensee MDPI, Basel, Switzerland. This article is an open access article distributed under the terms and conditions of the Creative Commons Attribution (CC BY) license (https://creativecommons.org/licenses/by/4.0/).
Share and Cite
Nashwan, S.; Nashwan, I.I.H. An Analytic Model for Reducing Authentication Signaling Traffic in an End-to-End Authentication Scheme. Sensors 2021, 21, 4980. https://doi.org/10.3390/s21154980
Nashwan S, Nashwan IIH. An Analytic Model for Reducing Authentication Signaling Traffic in an End-to-End Authentication Scheme. Sensors. 2021; 21(15):4980. https://doi.org/10.3390/s21154980
Chicago/Turabian StyleNashwan, Shadi, and Imad I. H. Nashwan. 2021. "An Analytic Model for Reducing Authentication Signaling Traffic in an End-to-End Authentication Scheme" Sensors 21, no. 15: 4980. https://doi.org/10.3390/s21154980
APA StyleNashwan, S., & Nashwan, I. I. H. (2021). An Analytic Model for Reducing Authentication Signaling Traffic in an End-to-End Authentication Scheme. Sensors, 21(15), 4980. https://doi.org/10.3390/s21154980

