Application of a Generative Adversarial Network in Image Reconstruction of Magnetic Induction Tomography
Abstract
1. Introduction
2. Methodology
2.1. Principles of MIT Problem
2.2. Principles of ANN
2.3. The GAN for MIT Image Reconstruction
| Algorithm 1 Gradient descent optimization of GAN |
| for number of training iterations do for k steps do Sample batch of samples from voltage distributions . Sample batch of samples from conductivity distributions . Update the discriminator by ascending its stochastic gradient: . end for Sample batch of samples from voltage distributions . Update the generator by descending its stochastic gradient: . end for |
2.4. Data Set Preparing and Network Training
| Algorithm 2 Construct training samples |
| The sampling grid and 8-coil MIT model are established. for number of needed samples do Load the model. for in coordinates of anomalies do for j in coordinates of number of coils (8) anomalies do Assign to change the position of anomaly (anomalies) in the model. The j-th coil acts as the excitation and the others as the receiver. Re geometric modeling and mesh generation. Run the model. 7 voltage data are obtained from the receiving coils. 3409 conductivity data are obtained from the sampling grid. end for end for Vec-operator the collected voltage data and the conductivity data. Save as a corresponding sample . end for |
| Algorithm 3 Construct training samples |
| Load the exiting dataset. for number of expansion times do Build a square lattice same with sampling grid. for and in i-th sample do Convert polar coordinate to rectangular coordinate . Set points meets in square lattice as anomalies. Read the conductivity signal in sequence again. Move the data in forward 7 units in sequence to form . end for Save these as corresponding new samples. end for |
3. Experiments
3.1. MIT Signal Detection Model
3.2. Data Set Preparation
3.3. Training and Reconstruction
4. Results and Discussion
4.1. Evaluating Indicators
4.1.1. Root Mean Squared Error (RMSE)
4.1.2. Structural Similarity (SSIM)
4.1.3. Peak Signal to Noise Ratio (PSNR)
4.1.4. Correlation Coefficient (CC)
4.2. Results and Analysis
5. Conclusions and Future Works
Author Contributions
Funding
Institutional Review Board Statement
Informed Consent Statement
Data Availability Statement
Conflicts of Interest
References
- Wei, H.Y.; Soleimani, M. Theoretical and Experimental Evaluation of Rotational Magnetic Induction Tomography. IEEE Trans. Instrum. Meas. 2012, 61, 3324–3331. [Google Scholar] [CrossRef]
- Walker, D.W.; Kramer, S.C.; Biebl, F.R.; Ledger, P.D.; Brown, M. Accelerating magnetic induction tomography-based imaging through heterogeneous parallel computing. Concurr. Comput. Pract. Exp. 2019, 31, 1–17. [Google Scholar] [CrossRef]
- Feldkamp, J.R. Single-coil magnetic induction tomographic three-dimensional imaging. J. Med Imaging 2015, 2, 013502. [Google Scholar] [CrossRef] [PubMed][Green Version]
- Ke, L.; Zu, W.; Du, Q.; Chen, J.; Ding, X. A bio-impedance quantitative method based on magnetic induction tomography for intracranial hematoma. Med Biol. Eng. Comput. 2020, 58, 857–869. [Google Scholar] [CrossRef]
- Zakaria, Z.; Mansor, M.S.B.; Rahim, R.A.; Balkhis, I.; Rahiman, M.H.F.; Rahim, H.A.; Yaacob, S. Magnetic induction tomography: A review on the potential application in agricultural industry of Malaysia. J. Agric. Sci. 2013, 5, 78–82. [Google Scholar] [CrossRef]
- Bevington, P.; Gartman, R.; Chalupczak, W.; Deans, C.; Marmugi, L.; Renzoni, F. Non-destructive structural imaging of steelwork with atomic magnetometers. Appl. Phys. Lett. 2018, 113, 063503. [Google Scholar] [CrossRef]
- Polydorides, N.; Georghiou, G.E.; Kim, D.H.; Won, C. Subspace constrained regularization for corrosion detection with magnetic induction tomography. Ndt E Inter. 2008, 41, 510–516. [Google Scholar] [CrossRef]
- Bevacqua, M.T.; Bellizzi, G.G.; Crocco, L.; Isernia, T. A method for quantitative imaging of electrical properties of human tissues from only amplitude electromagnetic data. Inverse Probl. 2019, 35, 025006. [Google Scholar] [CrossRef]
- Chen, R.; Huang, J.; Li, B.; Wang, J.; Wang, H. Technologies for magnetic induction tomography sensors and image reconstruction in medical assisted diagnosis: A review. Rev. Sci. Instrum. 2020, 91, 091501. [Google Scholar] [CrossRef] [PubMed]
- Chen, R.; Huang, J.; Song, Y.; Li, B.; Wang, J.; Wang, H. Deep learning algorithms for brain disease detection with magnetic induction tomography. Med. Phys. 2020, 48, 745–759. [Google Scholar] [CrossRef]
- Harikumar, R.; Prabu, R.; Raghavan, S. Electrical impedance tomography (EIT) and its medical applications: A review. Int. J. Soft Comput. Eng. 2013, 3, 193–198. [Google Scholar]
- Kim, B.S.; Khambampati, A.K.; Kim, S.; Kim, K.Y. Electrical resistance imaging of two-phase flow using direct Landweber method. In Flow Measurement and Instrumentation; Elsevier: Amsterdam, The Netherlands, March 2015; Volume 41, pp. 41–49. [Google Scholar]
- Zhao, B.; Wang, H.X.; Chen, X.Y.; Shi, X.L.; Yang, W.Q. Linearized solution to electrical impedance tomography based on the schur conjugate gradient method. Measurement Science and Technology 2007, 18, 3373. [Google Scholar] [CrossRef]
- Han, M.; Xue, Y.; Qin, P. An improved image reconstruction algorithm based on iteration NR in magnetic induction tomography. Chin. J. Biomed. Eng. 2015, 34, 190–197. [Google Scholar]
- Liu, X.; Liu, Z.; Zhu, S. A modified conjugate gradient reconstruction algorithm for electromagnetic tomography. In Proceedings of the IEEE International Conference on Imaging Systems and Techniques, Krakow, Poland, 16–18 October 2018. [Google Scholar]
- Xiao, Z.; Tan, C.; Dong, F. 3-D Hemorrhage Imaging by Cambered Magnetic Induction Tomography. IEEE Trans. Instrum. Meas. 2019, 68, 2460–2468. [Google Scholar] [CrossRef]
- Lin, Z.; Guo, R.; Zhang, K.; Li, M.; Yang, F.; Xu, S.; Abubakar, A. Neural network-based supervised descent method for 2D electrical impedance tomography. Physiol. Meas. 2020, 41, 074003. [Google Scholar] [CrossRef] [PubMed]
- Xiao, J.; Liu, Z.; Zhao, P.; Li, Y.; Huo, J. Deep Learning Image Reconstruction Simulation for Electromagnetic Tomography. IEEE Sens. J. 2018, 18, 3290–3298. [Google Scholar] [CrossRef]
- Hu, D.; Lu, K.; Yang, Y. Image reconstruction for electrical impedance tomography based on spatial invariant feature maps and convolutional neural network. In Proceedings of the 2019 IEEE International Conference on Imaging Systems & Techniques, Abu Dhabi, United Arab Emirates, 9–10 December 2019. [Google Scholar]
- Denisov, I.V.; Kulchin, Y.N.; Panov, A.V.; Rybalchenko, N.A. Neural network methods of reconstruction tomography problem solutions. Opt. Mem. Neural Netw. 2015, 14, 45–58. [Google Scholar]
- Michalikova, M.; Abedt, R.; Prauzek, M.; Koziorek, J. Image Reconstruction in Electrical Impedance Tomography Using Neural Network. In Proceedings of the 2014 Cairo International Biomedical Engineering Conference, Giza, Egypt, 11–13 December 2014; pp. 39–42. [Google Scholar]
- Miller, A.S.; Blott, B.H.; Hames, T.K. Neural networks for electrical impedance tomography image characterisation. Clin. Phys. Physiol. Meas. 1992, 13 (Suppl. A), 119–123. [Google Scholar] [CrossRef]
- Li, J.; Yang, X.; Wang, Y.; Pan, R. An image reconstruction algorithm based on RBF neural network for electrical capacitance tomography. In Proceedings of the IEEE 2012 Sixth International Conference on Electromagnetic Field Problems and Applications, Dalian, China, 19–21 June 2012; pp. 1–4. [Google Scholar]
- Tan, C.; Lv, S.; Dong, F.; Takei, M. Image reconstruction based on convolutional neural network for electrical resistance tomography. IEEE Sens. J. 2019, 19, 196–204. [Google Scholar] [CrossRef]
- Kłosowski, G.; Rymarczyk, T. Using neural networks and deep learning algorithms in electrical impedance tomography. Inform. Autom. Pomiary Gospod. Ochr. Sr. 2017. [Google Scholar] [CrossRef]
- Zheng, J.; Peng, L. An autoencoder-based image reconstruction for electrical capacitance tomography. IEEE Sens. J. 2018, 18, 5464–5474. [Google Scholar] [CrossRef]
- Zheng, J.; Li, J.; Li, Y.; Peng, L. A benchmark dataset and deep learning-based image reconstruction for electrical capacitance tomography. Sensors 2018, 18, 3701. [Google Scholar] [CrossRef] [PubMed]
- Feng, J.; Sun, Q.; Li, Z.; Sun, Z.; Jia, K. Back-propagation neural network-based reconstruction algorithm for diffuse optical tomography. J. Biomed. Opt. 2018, 24, 051407. [Google Scholar] [CrossRef] [PubMed]
- Li, X.; Lu, Y.; Wang, J.; Dang, X.; Wang, Q.; Duan, X.; Sun, Y. An Image Reconstruction Framework Based on Deep Neural Network for Electrical Impedance Tomography. In Proceedings of the IEEE International Conference on Image Processing, Beijing, China, 17–20 September 2017; pp. 3585–3589. [Google Scholar]
- Chen, R.; Huang, J.; Wang, H.; Li, B.; Zhao, Z.; Wang, J.; Wang, Y. A Novel Algorithm for High-Resolution Magnetic Induction Tomography Based on Stacked Auto-Encoder for Biological Tissue Imaging. IEEE Access 2019, 7, 185597–185606. [Google Scholar] [CrossRef]
- Ren, S.; Sun, K.; Tan, C.; Dong, F. A Two-Stage Deep Learning Method for Robust Shape Reconstruction with Electrical Impedance Tomography. IEEE Trans. Instrum. Meas. 2020, 69, 4887–4897. [Google Scholar] [CrossRef]
- Han, C.; Rundo, L.; Araki, R.; Furukawa, Y.; Mauri, G.; Nakayama, H.; Hayashi, H. Infinite brain MR images: PGGAN-based data augmentation for tumor detection. In Neural Approaches to Dynamics of Signal Exchanges. SIST; Springer: Singapore, 2020; Volume 151, pp. 291–303. [Google Scholar] [CrossRef]
- Hussein, S.A.; Tirer, T.; Giryes, R. Image-adaptive gan based reconstruction. In Proceedings of the AAAI Conference on Artificial Intelligence, New York, NY, USA, 7–12 February 2020; Volume 34, pp. 3121–3129. [Google Scholar]
- Xu, C.; Xu, L.; Ohorodnyk, P.; Roth, M.; Chen, B.; Li, S. Contrast agent-free synthesis and segmentation of ischemic heart disease images using progressive sequential causal GANs. Med. Image Anal. 2020, 62, 101668. [Google Scholar] [CrossRef]
- Han, C.; Rundo, L.; Murao, K.; Noguchi, T.; Shimahara, Y.; Milacski, Z.Á.; Satoh, S.I. MADGAN: Unsupervised medical anomaly detection GAN using multiple adjacent brain MRI slice reconstruction. BMC Bioinform. 2021, 22, 31. [Google Scholar] [CrossRef]
- Liu, X.; Gherbi, A.; Wei, Z.; Li, W.; Cheriet, M. Multispectral image reconstruction from color images using enhanced variational autoencoder and generative adversarial network. IEEE Access 2020. [Google Scholar] [CrossRef]
- Yuan, Z.; Jiang, M.; Wang, Y.; Wei, B.; Li, Y.; Wang, P.; Yang, G. SARA-GAN: Self-Attention and Relative Average Discriminator Based Generative Adversarial Networks for Fast Compressed Sensing MRI Reconstruction. Front. Neuroinform. 2020, 14. [Google Scholar] [CrossRef]
- Chen, Z.; Yuan, Q.; Song, X.; Chen, C.; Zhang, D.; Xiang, Y.; Xuan, Q. Mitnet: Gan enhanced magnetic induction tomography based on complex cnn. arXiv 2021, arXiv:2102.07911. [Google Scholar]






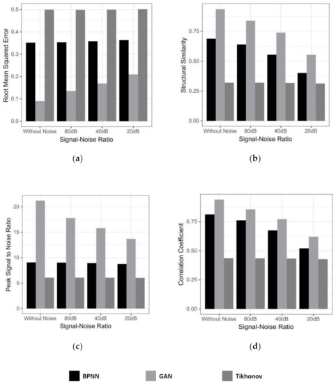
| Model | Model 1 | Model 2 | ||||||
|---|---|---|---|---|---|---|---|---|
| SNR | / | 80 dB | 40 dB | 20 dB | / | 80 dB | 40 dB | 20 dB |
| Tikhonov | 0.4728 | 0.4800 | 0.4848 | 0.4758 | 0.4572 | 0.4590 | 0.4547 | 0.4523 |
| BPNN | 0.3358 | 0.3335 | 0.3393 | 0.3354 | 0.3501 | 0.3498 | 0.3520 | 0.3521 |
| GAN | 0.0753 | 0.0939 | 0.1075 | 0.1296 | 0.1706 | 0.1776 | 0.1681 | 0.1726 |
| Model | Model 1 | Model 2 | ||||||
|---|---|---|---|---|---|---|---|---|
| SNR | / | 80 dB | 40 dB | 20 dB | / | 80 dB | 40 dB | 20 dB |
| Tikhonov | 0.4641 | 0.4547 | 0.4579 | 0.4482 | 0.4386 | 0.4590 | 0.4455 | 0.4500 |
| BPNN | 0.6751 | 0.6432 | 0.5967 | 0.5147 | 0.7029 | 0.6888 | 0.6430 | 0.5163 |
| GAN | 0.9216 | 0.8847 | 0.8356 | 0.7311 | 0.8517 | 0.8404 | 0.8427 | 0.8143 |
| Model | Model 1 | Model 2 | ||||||
|---|---|---|---|---|---|---|---|---|
| SNR | / | 80 dB | 40 dB | 20 dB | / | 80 dB | 40 dB | 20 dB |
| Tikhonov | 6.5061 | 6.3752 | 6.2879 | 6.4513 | 6.7987 | 6.7631 | 6.8461 | 6.8896 |
| BPNN | 9.4776 | 9.5376 | 9.3876 | 9.4894 | 9.1161 | 9.1244 | 9.0698 | 9.0658 |
| GAN | 22.4598 | 20.5428 | 19.3657 | 17.7510 | 15.3569 | 15.0083 | 15.4862 | 15.2568 |
| Model | Model 1 | Model 2 | ||||||
|---|---|---|---|---|---|---|---|---|
| SNR | / | 80 dB | 40 dB | 20 dB | / | 80 dB | 40 dB | 20 dB |
| Tikhonov | 0.5770 | 0.5699 | 0.5858 | 0.5538 | 0.5819 | 0.5785 | 0.5899 | 0.5890 |
| BPNN | 0.7974 | 0.7581 | 0.7064 | 0.6542 | 0.8276 | 0.8160 | 0.7708 | 0.6663 |
| GAN | 0.9254 | 0.8842 | 0.8410 | 0.7576 | 0.8807 | 0.8703 | 0.8586 | 0.8180 |
Publisher’s Note: MDPI stays neutral with regard to jurisdictional claims in published maps and institutional affiliations. |
© 2021 by the authors. Licensee MDPI, Basel, Switzerland. This article is an open access article distributed under the terms and conditions of the Creative Commons Attribution (CC BY) license (https://creativecommons.org/licenses/by/4.0/).
Share and Cite
Yang, D.; Liu, J.; Wang, Y.; Xu, B.; Wang, X. Application of a Generative Adversarial Network in Image Reconstruction of Magnetic Induction Tomography. Sensors 2021, 21, 3869. https://doi.org/10.3390/s21113869
Yang D, Liu J, Wang Y, Xu B, Wang X. Application of a Generative Adversarial Network in Image Reconstruction of Magnetic Induction Tomography. Sensors. 2021; 21(11):3869. https://doi.org/10.3390/s21113869
Chicago/Turabian StyleYang, Dan, Jiahua Liu, Yuchen Wang, Bin Xu, and Xu Wang. 2021. "Application of a Generative Adversarial Network in Image Reconstruction of Magnetic Induction Tomography" Sensors 21, no. 11: 3869. https://doi.org/10.3390/s21113869
APA StyleYang, D., Liu, J., Wang, Y., Xu, B., & Wang, X. (2021). Application of a Generative Adversarial Network in Image Reconstruction of Magnetic Induction Tomography. Sensors, 21(11), 3869. https://doi.org/10.3390/s21113869

