On the Achievable Max-Min User Rates in Multi-Carrier Centralized NOMA-VLC Networks
Abstract
1. Introduction
Related Work
- The optimization of the achievable max-min user rates for NOMA-enabled centralized VLC is investigated through formulating a joint problem for the user pairing, the subcarrier allocation, and the power allocation. Then, a low complexity solution is proposed.
- The development of Simulated Annealing (SA)-assisted algorithm for tackling the subcarrier allocation in the max-min user rate optimization problem. The obtained results are further verified using the Tabu-search (TS) algorithm.
- The implementation of both of the NOMA-imposed schemes, where all the users are grouped into pairs, and the NOMA-not-imposed schemes; and besides these, the investigation of the effect of the different network parameters on the achievable max-min user rate.
2. System and Channel Models
3. The Max-Min User Rate Optimization Problem
4. The Heuristic-Based Solution for the Max-Min User Rate Optimization Problem
- Binding of users to LEDs.
- Determining the user-pairs for each LED (i.e., user pairing).
- Optimizing subcarrier(s) allocation to user-pairs in each LED and power allocation within each pair (i.e., subcarrier allocation and power allocation).
| Algorithm 1: Overview of the proposed heuristic-based solution. |
|
4.1. Binding of Users to LEDs
| Algorithm 2: Algorithm for binding users to LEDs. |
![]() |
4.2. Determining of the User-Pairs for Each LED
| Algorithm 3: Algorithm to implement the D-NLUPA method of user-pairing. |
![]() |
4.3. Optimizing Subcarrier(s) Allocation to User-Pairs in Each LED and Power Allocation within Each Pair
- The data-rates of all users are closer to each other.
- The users should not have a zero data-rate.
- The data-rate should be as maximal as possible considering the above two conditions.
| Algorithm 4: Overview of the SA algorithm. |
![]() |
| Algorithm 5: Metropolis function. |
![]() |
4.4. The Complexity Analysis of the Proposed Heuristic-Based Solution
5. Results and Discussions
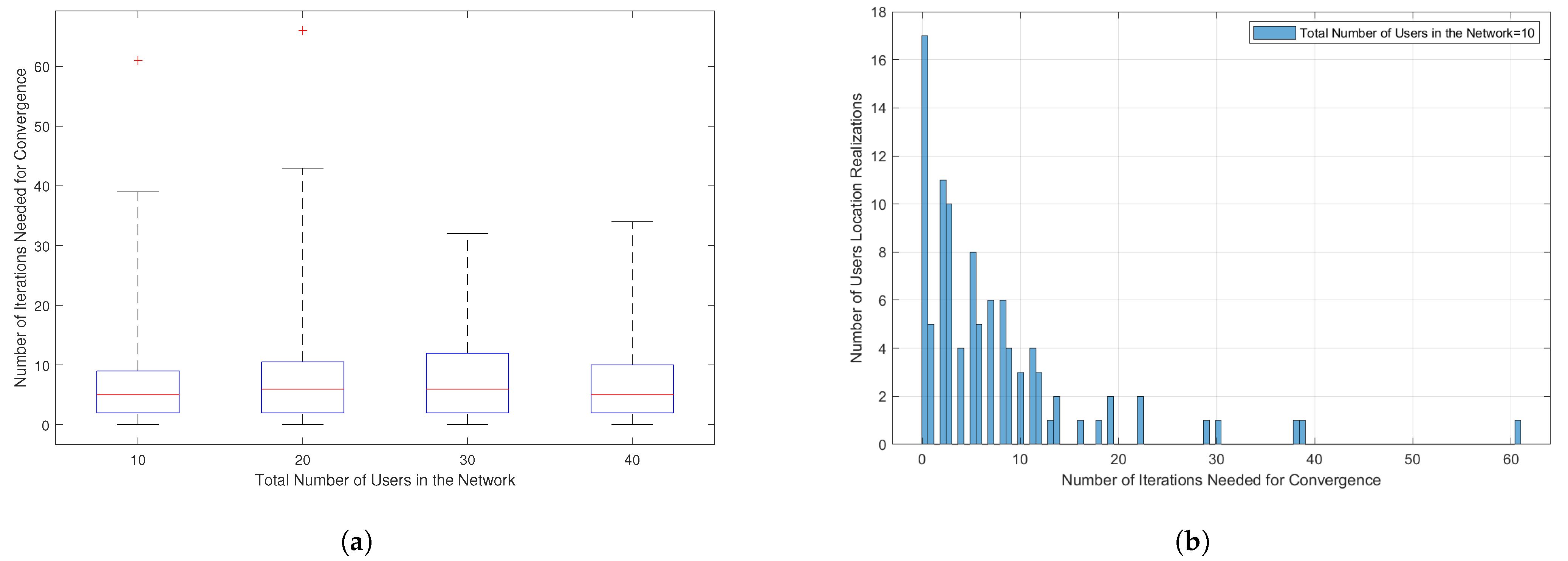
5.1. Validation and Convergence of the Proposed Heuristic-Based Solution
5.2. The Performance of the Proposed NOMA Schemes
6. Conclusions
7. Extensions and Future Work
- By exploiting illuminating LED-arrays, one can enable the utilization of multiple-input multiple-output (MIMO) in indoor VLC networks to extend the network coverage, and further increase the system capacity [51]. Investigating the max-min user rate optimization for indoor MIMO-VLC networks can be considered as a possible direction of future research. However, the performance gains may be limited due to the effect of the peak-to-average power ratio (PAPR) problem [52].
- An important practical consideration in indoor VLC networks is user mobility. The Random Way-Point model (RWP) is the most commonly used one for user mobility in indoor VLC literature [53]. In indoor multi-user centralized VLC networks, there are different solutions worth studying which can be adopted to accommodate user mobility: (i) Horizontal handover while adopting fractional frequency reuse (FFR) scheme or the use of red, green, and blue (RGB) LEDs, or allowing for a coordinated multi-point (CoMP) transmission scheme between different LEDs, (ii) vertical handover that involves RF/VLC network or WiFi/VLC network or power line communication (PLC)/VLC network, (iii) cell-zooming strategies that dynamically adjust the coverage areas of the LEDs based on user mobility profiles, and (iv) utilizing algorithms that can accommodate for user mobility by determining solutions within the coherence time of the channel [16].
- A consequence of user mobility in indoor VLC networks is LoS link blockage [53]. Thus, some novel solutions need to be adopted—for example, a multi-directional receiver or omni-directional receiver where PDs are embedded at different sides or all sides, respectively, of a smartphone. Another possible solution for the LoS link blockage can be considered by utilizing intelligent reflecting surfaces (IRSs) inside the indoor environment. Investigating the max-min user rate optimization with such solutions can be an interesting direction of future research.
Author Contributions
Funding
Institutional Review Board Statement
Informed Consent Statement
Data Availability Statement
Conflicts of Interest
References
- Al-Ahmadi, S.; Maraqa, O.; Uysal, M.; Sait, S.M. Multi-User Visible Light Communications: State-of-the-Art and Future Directions. IEEE Access 2018, 6, 70555–70571. [Google Scholar] [CrossRef]
- Kizilirmak, R.C.; Narmanlioglu, O.; Uysal, M. Centralized Light Access Network (C-LiAN): A Novel Paradigm for Next Generation Indoor VLC Networks. IEEE Access 2017, 5, 19703–19710. [Google Scholar] [CrossRef]
- Matheus, L.E.M.; Vieira, A.B.; Vieira, L.F.M.; Vieira, M.A.M.; Gnawali, O. Visible Light Communication: Concepts, Applications and Challenges. IEEE Commun. Surv. Tutor. 2019, 21, 3204–3237. [Google Scholar] [CrossRef]
- Islam, S.R.; Avazov, N.; Dobre, O.A.; Kwak, K.S. Power-domain non-orthogonal multiple access (NOMA) in 5G systems: Potentials and challenges. IEEE Commun. Surv. Tutor. 2017, 19, 721–742. [Google Scholar] [CrossRef]
- Saito, Y.; Kishiyama, Y.; Benjebbour, A.; Nakamura, T.; Li, A.; Higuchi, K. Non-orthogonal multiple access (NOMA) for cellular future radio access. In Proceedings of the 2013 IEEE 77th Vehicular Technology Conference (VTC Spring), Dresden, Germany, 2–5 June 2013; pp. 1–5. [Google Scholar]
- Liu, Y.; Qin, Z.; Elkashlan, M.; Ding, Z.; Nallanathan, A.; Hanzo, L. Non-orthogonal multiple access for 5G and beyond. Proc. IEEE 2017, 105, 2347–2381. [Google Scholar] [CrossRef]
- Maraqa, O.; Rajasekaran, A.S.; Al-Ahmadi, S.; Yanikomeroglu, H.; Sait, S.M. A Survey of Rate-optimal Power Domain NOMA with Enabling Technologies of Future Wireless Networks. IEEE Commun. Surv. Tutorials 2020, 22, 2192–2235. [Google Scholar] [CrossRef]
- Kizilirmak, R.C.; Rowell, C.R.; Uysal, M. Non-orthogonal multiple access (NOMA) for indoor visible light communications. In Proceedings of the 2015 4th International Workshop on Optical Wireless Communications (IWOW), Istanbul, Turkey, 7–8 September 2015; pp. 98–101. [Google Scholar]
- Islam, S.M.R.; Zeng, M.; Dobre, O.A.; Kwak, K. Resource Allocation for Downlink NOMA Systems: Key Techniques and Open Issues. IEEE Wirel. Commun. 2018, 25, 40–47. [Google Scholar] [CrossRef]
- Ding, Z.; Fan, P.; Poor, H.V. Impact of User Pairing on 5G Non orthogonal Multiple-Access Downlink Transmissions. IEEE Trans. Veh. Technol. 2016, 65, 6010–6023. [Google Scholar] [CrossRef]
- Marcano, A.S.; Christiansen, H.L. Impact of NOMA on Network Capacity Dimensioning for 5G HetNets. IEEE Access 2018, 6, 13587–13603. [Google Scholar] [CrossRef]
- Zhao, Y.; Pottie, G.J. Optimal Spectrum Management in Multiuser Interference Channels. IEEE Trans. Inf. Theory 2013, 59, 4961–4976. [Google Scholar] [CrossRef]
- Sait, S.M.; Youssef, H. Iterative Computer Algorithms with Applications in Engineering: Solving Combinatorial Optimization Problems; IEEE Computer Society Press: Los Alamitos, CA, USA, 1999. [Google Scholar]
- Tian, P.; Wang, H.; Zhang, D. Nonlinear Integer Programming by Simulated Annealing. In Proceedings of the 7th IFAC Symposium on Large Scale Systems: Theory and Applications 1995, London, UK, 11–13 July 1995; pp. 629–633. [Google Scholar]
- Siddiqi, U.F.; Narmanlioglu, O.; Uysal, M.; Sait, S.M. Joint bit and power loading for adaptive MIMO OFDM VLC systems. Trans. Emerg. Telecommun. Technol. 2020, 31, e3850. [Google Scholar] [CrossRef]
- Siddiqi, U.F.; Sait, S.M.; Demir, M.S.; Uysal, M. Resource Allocation for Visible Light Communication Systems Using Simulated Annealing Based on a Problem-Specific Neighbor Function. IEEE Access 2019, 7, 64077–64091. [Google Scholar] [CrossRef]
- Timotheou, S.; Krikidis, I. Fairness for Non-Orthogonal Multiple Access in 5G Systems. IEEE Signal Process. Lett. 2015, 22, 1647–1651. [Google Scholar] [CrossRef]
- Karachontzitis, S.; Timotheou, S.; Krikidis, I.; Berberidis, K. Security-Aware Max-Min Resource Allocation in Multiuser OFDMA Downlink. IEEE Trans. Inf. Forensics Secur. 2015, 10, 529–542. [Google Scholar] [CrossRef]
- Yang, Z.; Xu, W.; Li, Y. Fair non-orthogonal multiple access for visible light communication downlinks. IEEE Wirel. Commun. Lett. 2017, 6, 66–69. [Google Scholar] [CrossRef]
- Tahira, Z.; Asif, H.M.; Khan, A.A.; Baig, S.; Mumtaz, S.; Al-Rubaye, S. Optimization of Non-Orthogonal Multiple Access Based Visible Light Communication Systems. IEEE Commun. Lett. 2019, 23, 1365–1368. [Google Scholar] [CrossRef]
- Li, Q.; Shang, T.; Tang, T.; Dong, Z. Optimal Power Allocation Scheme Based on Multi-Factor Control in Indoor NOMA-VLC Systems. IEEE Access 2019, 7, 82878–82887. [Google Scholar] [CrossRef]
- Eroglu, Y.S.; Anjinappa, C.K.; Guvenc, I.; Pala, N. Slow Beam Steering and NOMA for Indoor Multi-User Visible Light Communications. IEEE Trans. Mob. Comput. 2019, 20, 1627–1641. [Google Scholar] [CrossRef]
- Pham, Q.; Huynh-The, T.; Alazab, M.; Zhao, J.; Hwang, W. Sum-Rate Maximization for UAV-assisted Visible Light Communications using NOMA: Swarm Intelligence meets Machine Learning. IEEE Internet Things J. 2020, 7, 10375–10387. [Google Scholar] [CrossRef]
- Fu, Y.; Hong, Y.; Chen, L.K.; Sung, C.W. Enhanced power allocation for sum rate maximization in OFDM-NOMA VLC systems. IEEE Photonics Technol. Lett. 2018, 30, 1218–1221. [Google Scholar] [CrossRef]
- Feng, S.; Bai, T.; Hanzo, L. Joint Power Allocation for the Multi-User NOMA-Downlink in a Power-Line-Fed VLC Network. IEEE Trans. Veh. Technol. 2019, 68, 5185–5190. [Google Scholar] [CrossRef]
- Feng, S.; Zhang, R.; Xu, W.; Hanzo, L. Multiple Access Design for Ultra-Dense VLC Networks: Orthogonal vs Non-Orthogonal. IEEE Trans. Commun. 2019, 67, 2218–2232. [Google Scholar] [CrossRef]
- Zhang, X.; Gao, Q.; Gong, C.; Xu, Z. User Grouping and Power Allocation for NOMA Visible Light Communication Multi-Cell Networks. IEEE Commun. Lett. 2017, 21, 777–780. [Google Scholar] [CrossRef]
- Eltokhey, M.W.; Khalighi, M.A.; Ghazy, A.S.; Hranilovic, S. Hybrid NOMA and ZF Pre-Coding Transmission for Multi-Cell VLC Networks. IEEE Open J. Commun. Soc. 2020, 1, 513–526. [Google Scholar] [CrossRef]
- Zhang, Z.; Xiao, Y.; Ma, Z.; Xiao, M.; Ding, Z.; Lei, X.; Karagiannidis, G.K.; Fan, P. 6G Wireless Networks: Vision, Requirements, Architecture, and Key Technologies. IEEE Veh. Technol. Mag. 2019, 14, 28–41. [Google Scholar] [CrossRef]
- Zeng, L.; O’Brien, D.C.; Minh, H.L.; Faulkner, G.E.; Lee, K.; Jung, D.; Oh, Y.; Won, E.T. High data rate multiple input multiple output (MIMO) optical wireless communications using white LED lighting. IEEE J. Sel. Areas Commun. 2009, 27, 1654–1662. [Google Scholar] [CrossRef]
- Ma, H.; Lampe, L.; Hranilovic, S. Coordinated Broadcasting for Multiuser Indoor Visible Light Communication Systems. IEEE Trans. Commun. 2015, 63, 3313–3324. [Google Scholar] [CrossRef]
- Ghassemlooy, Z.; Alves, L.N.; Zvanovec, S.; Khalighi, M.A. Visible Light Communications: Theory and Applications; CRC press: Florida, FL, USA, 2017. [Google Scholar]
- Demir, M.S.; Sait, S.M.; Uysal, M. Unified Resource Allocation and Mobility Management Technique Using Particle Swarm Optimization for VLC Networks. IEEE Photonics J. 2018, 10, 1–9. [Google Scholar] [CrossRef]
- Wang, J.; Hu, Q.; Wang, J.; Chen, M.; Wang, J. Tight Bounds on Channel Capacity for Dimmable Visible Light Communications. J. Light. Technol. 2013, 31, 3771–3779. [Google Scholar] [CrossRef]
- Luo, Z.; Zhang, S. Dynamic Spectrum Management: Complexity and Duality. IEEE J. Sel. Top. Signal Process. 2008, 2, 57–73. [Google Scholar]
- Salaün, L.; Chen, C.S.; Coupechoux, M. Optimal Joint Subcarrier and Power Allocation in NOMA Is Strongly NP-Hard. In Proceedings of the 2018 IEEE International Conference on Communications (ICC), Kansas City, MO, USA, 20–24 May 2018; pp. 1–7. [Google Scholar]
- Cormen, T.H.; Leiserson, C.E.; Rivest, R.L.; Stein, C. Introduction to Algorithms; MIT Press: Cambridge, MA, USA, 2009. [Google Scholar]
- Parsopoulos, K.E.; Vrahatis, M.N. Particle Swarm Optimization and Intelligence: Advances and Applications; IGI Global: Hershey, PA, USA, 2010. [Google Scholar]
- Siddiqi, U.F.; Shiraishi, Y.; Sait, S.M. Multi-constrained route optimization for Electric Vehicles (EVs) using Particle Swarm Optimization (PSO). In Proceedings of the 2011 11th International Conference on Intelligent Systems Design and Applications, Cordoba, Spain, 22–24 November 2011; pp. 391–396. [Google Scholar]
- Conforti, M.; Cornuejols, G.; Zambelli, G. Integer Programming; Springer International Publishing: Cham, Switzerland, 2014. [Google Scholar]
- Whitley, D.; Rana, S.; Dzubera, J.; Mathias, K.E. Evaluating evolutionary algorithms. Artif. Intell. 1996, 85, 245–276. [Google Scholar] [CrossRef]
- Wang, Y.; Wu, X.; Haas, H. Resource Allocation in LiFi OFDMA Systems. In Proceedings of the GLOBECOM 2017—2017 IEEE Global Communications Conference, Singapore, 4–8 December 2017; pp. 1–6. [Google Scholar]
- Basnayaka, D.A.; Haas, H. Hybrid RF and VLC Systems: Improving User Data Rate Performance of VLC Systems. In Proceedings of the IEEE 81st Vehicular Technology Conference (VTC Spring), Glasgow, UK, 11–14 May 2015; pp. 1–5. [Google Scholar]
- Obeed, M.; Salhab, A.M.; Zummo, S.A.; Alouini, M. New Algorithms for Energy-Efficient VLC Networks With User-Centric Cell Formation. IEEE Trans. Green Commun. Netw. 2019, 3, 108–121. [Google Scholar] [CrossRef]
- Stefan, I.; Haas, H. Analysis of Optimal Placement of LED Arrays for Visible Light Communication. In Proceedings of the IEEE 77th Vehicular Technology Conference (VTC Spring), Dresden, Germany, 2–5 June 2013; pp. 1–5. [Google Scholar]
- Chen, C.; Ijaz, M.; Tsonev, D.; Haas, H. Analysis of downlink transmission in DCO-OFDM-based optical attocell networks. In Proceedings of the IEEE Global Communications Conference, Austin, TX, USA, 8–12 December 2014; pp. 2072–2077. [Google Scholar]
- Haas, H.; Yin, L.; Wang, Y.; Chen, C. What is LiFi? J. Light. Technol. 2016, 34, 1533–1544. [Google Scholar] [CrossRef]
- Komine, T.; Nakagawa, M. Fundamental analysis for visible-light communication system using LED lights. IEEE Trans. Consum. Electron. 2004, 50, 100–107. [Google Scholar] [CrossRef]
- Glover, F. Tabu search for nonlinear and parametric optimization (with links to genetic algorithms). Discret. Appl. Math. 1994, 49, 231–255. [Google Scholar] [CrossRef]
- Siddiqi, U.F.; Sait, S.M. A New Heuristic for the Data Clustering Problem. IEEE Access 2017, 5, 6801–6812. [Google Scholar] [CrossRef]
- Chen, C.; Zhong, W.; Yang, H.; Du, P. On the Performance of MIMO-NOMA-Based Visible Light Communication Systems. IEEE Photonics Technol. Lett. 2018, 30, 307–310. [Google Scholar] [CrossRef]
- Ni, C.; Ma, Y.; Jiang, T. A Novel Adaptive Tone Reservation Scheme for PAPR Reduction in Large-Scale Multi-User MIMO-OFDM Systems. IEEE Wirel. Commun. Lett. 2016, 5, 480–483. [Google Scholar] [CrossRef]
- Arfaoui, M.A.; Soltani, M.D.; Tavakkolnia, I.; Ghrayeb, A.; Safari, M.; Assi, C.M.; Haas, H. Physical Layer Security for Visible Light Communication Systems: A Survey. IEEE Commun. Surv. Tutorials 2020, 22, 1887–1908. [Google Scholar] [CrossRef]
Short Biography of Authors
![]() | Omar Maraqa has received his B.S. degree in Electrical Engineering from Palestine Polytechnic University, Palestine, in 2011, and his M.S. degree in Computer Engineering from King Fahd University of Petroleum & Minerals (KFUPM), Dhahran, Saudi Arabia, in 2016. He is currently pursuing a Ph.D. degree in Electrical Engineering at KFUPM, Dhahran, Saudi Arabia. His research interests include performance analysis and optimization of wireless communications systems. |
![]() | Umair F. Siddiqi was born in Karachi, Pakistan, in 1979. He received the B.E. degree in electrical engineering from the NED University of Engineering and Technology, Karachi, in 2002, the M.Sc. degree in computer engineering from the King Fahd University of Petroleum & Minerals (KFUPM), Dhahran, Saudi Arabia, in 2007, and the Dr.Eng. degree from Gunma University, Japan, in 2013. He is currently a Research Engineer with the Center of Communications and Information Technology Research, Research Institute, KFUPM. He is also currently studying at the University of California San Diego Extension, U.S. in the machine learning certificate program. He has authored over 40 research papers in international journals and conferences. He holds five U.S. patents. His research interests include machine/deep learning, metaheuristics, soft computing, and optimization. |
![]() | Saad Al-Ahmadi has received his M.Sc. in Electrical Engineering from King Fahd University of Petroleum & Minerals (KFUPM), Dhahran, Saudi Arabia, in 2002 and his Ph.D. in Electrical and Computer Engineering from Ottawa-Carleton Institute for ECE (OCIECE), Ottawa, Canada, in 2010. He is currently with the Department of Electrical Engineering at KFUPM as an Associate Professor. His past and current research interests include channel characterization, design, and performance analysis of wireless communications systems and networks. |
![]() | Sadiq M. Sait was born in Bengaluru. He received the bachelor’s degree in electronics engineering from Bangalore University in 1981, and the master’s and Ph.D. degrees in electrical engineering from the King Fahd University of Petroleum & Minerals (KFUPM) in 1983 and 1987, respectively. He is currently a Professor of Computer Engineering and the Director of the Center for Communications and IT Research, Research Institute, KFUPM. He has authored over 200 research papers, contributed chapters to technical books, and lectured in over 25 countries. He is also the Principle Author of two books. He received the Best Electronic Engineer Award from the Indian Institute of Electrical Engineers, Bengaluru, in 1981. |










| Variable Name | Variable Description |
|---|---|
| System Model’s Variables | |
| = | A set to describe the total number of LEDs |
| L | The total number of LEDs |
| = | A set to describe the total number of subcarriers |
| K | The total number of subcarriers |
| = | A set to describe the total number of users |
| N | The total number of users |
| The total number of users served by the LED | |
| The angle of irradiance between the LED and the user | |
| The angle of incidence between the LED and the user | |
| and | A strong user and a weak user of the LED |
| The distance between the LED and the user | |
| The field-of-view (FoV) semi-angle of the user | |
| m | The order of Lambertian emission |
| The semi-angle of the LED | |
| The area of the photo-diode (PD) for the user | |
| The optical filter gain | |
| The refractive index | |
| The channel gain between the LED and the user | |
| The power allocation coefficient for the strong user | |
| The power allocation coefficient for the weak user | |
| The electrical signal power per subcarrier of a LED | |
| The electrical signal power of a LED | |
| The optical transmit power at the output of a LED | |
| The ratio between the electrical signal power and the optical transmit power | |
| The optical to electrical conversion efficiency of the photo-diodes (PDs) | |
| The power of equivalent AWGN, where denotes the noise power spectral density and denotes the base-band modulation bandwidth | |
| and | The SINR and the achievable rate of the strong user |
| and | The SINR and the achievable rate of the weak user |
| The achievable rate of an arbitrary user (j-th user) of an arbitrary LED in the network (i.e., can be a strong user or a weak user in an arbitrary user pair) | |
| A binary variable to denote that a user is served by a LED and a subcarrier k | |
| A binary variable to denote that a user is served by a subcarrier k | |
| A binary variable to denote the user is served by LED | |
| A set of all user-pair combinations for an arbitrary LED | |
| The maximum number of subcarriers for an arbitrary LED | |
| Heuristic-based Solution’s Variables | |
| The most suitable LED for a user | |
| A function that returns the number of users assigned to the LED | |
| A function that denotes the distance of the user from the LED to which it is currently allocated | |
| A function that denotes the maximum distance of from any LED | |
| , | A vector that store the users of LED after binding, the number of users in |
| A pair of users in | |
| X | A decision matrix that represents the solution of subcarrier allocation |
| A predefined constant | |
| and | The penalty factors of the penalty method |
| Simulated Annealing Algorithm’s Variables | |
| and T | The initial temperature and the current temperature |
| The rate of decrease in the temperature | |
| and M | The initial and current value of the number of iterations in the Metropolis function |
| The rate of increase in the number of iterations of the Metropolis function | |
| X,, and | The input solution, the current solution, and the best solution |
| , , and | The costs (objection function value) of the current solution, the best solution, and the new solution created in the Metropolis function |
| Parameter Name, Notation | Value |
|---|---|
| The electrical power of the input signal, | dBm [2,26,33] |
| Total number of users, N | |
| Total number of LEDs, L | [33,42] |
| Total number of subcarriers, K | [16,33] |
| Room height | meters |
| Semi-angle at half illumination of the LEDs, | [16] |
| FoV of the PDs, | [33,45] |
| The base-band modulation bandwidth of each LED, | 20 MHz [33] |
| Electrical to optical conversion efficiency, | [16] |
| Area of the PD, | 1.0 cm2 [33,46] |
| Optical to electrical conversion efficiency, | A/W [42] |
| Equivalent noise power spectral density, | [42,47] |
| Refractive index, | 1.5 [42,48] |
| Gain of optical filter, | [16] |
Publisher’s Note: MDPI stays neutral with regard to jurisdictional claims in published maps and institutional affiliations. |
© 2021 by the authors. Licensee MDPI, Basel, Switzerland. This article is an open access article distributed under the terms and conditions of the Creative Commons Attribution (CC BY) license (https://creativecommons.org/licenses/by/4.0/).
Share and Cite
Maraqa, O.; Siddiqi, U.F.; Al-Ahmadi, S.; Sait, S.M. On the Achievable Max-Min User Rates in Multi-Carrier Centralized NOMA-VLC Networks. Sensors 2021, 21, 3705. https://doi.org/10.3390/s21113705
Maraqa O, Siddiqi UF, Al-Ahmadi S, Sait SM. On the Achievable Max-Min User Rates in Multi-Carrier Centralized NOMA-VLC Networks. Sensors. 2021; 21(11):3705. https://doi.org/10.3390/s21113705
Chicago/Turabian StyleMaraqa, Omar, Umair F. Siddiqi, Saad Al-Ahmadi, and Sadiq M. Sait. 2021. "On the Achievable Max-Min User Rates in Multi-Carrier Centralized NOMA-VLC Networks" Sensors 21, no. 11: 3705. https://doi.org/10.3390/s21113705
APA StyleMaraqa, O., Siddiqi, U. F., Al-Ahmadi, S., & Sait, S. M. (2021). On the Achievable Max-Min User Rates in Multi-Carrier Centralized NOMA-VLC Networks. Sensors, 21(11), 3705. https://doi.org/10.3390/s21113705









