Full Respiration Rate Monitoring Exploiting Doppler Information with Commodity Wi-Fi Devices
Abstract
1. Introduction
- A respiration-sensing model based on the Doppler frequency shift was proposed to solve the problem that the breathing depth and location may affect the detectability of CSI amplitude and phase. The feasibility of extracting Doppler frequency shift for respiration monitoring is theoretically verified.
- In view of the phenomenon that Doppler caused by weak chest movement in indoor environment is interfered by multipath effect and cannot be directly extracted, we propose a Doppler spectral energy extraction method to effectively extract breathing signals, including multipath decomposition, dynamic path unit extraction and Doppler shift energy accumulation.
- We design a complete respiration rate-monitoring system and conduct extensive experiments to verify and evaluate its performance in actual indoor home environment. The results demonstrate that our system can accurately estimate the respiration rate and achieve developed performance compared with the existing respiration-sensing system.
2. Related Work
2.1. Contact-Based Respiration Sensing
2.2. Radar-Based Respiration Sensing
2.3. Wi-Fi-Based Respiration Detection Sensing
3. Human Respiration Sensing
3.1. CSI Primer
3.2. Respiration Sensing in the Wi-Fi Fresnel Zone
3.2.1. Fresnel Zone
3.2.2. Respiration-Sensing Model
3.2.3. Respiration Sensing by CSI Amplitude and Phase
3.3. Respiration Sensing Based on Doppler Effect
3.3.1. Respiration-Sensing Model Based on Doppler Effect
3.3.2. Extraction of Doppler Information from CSI
4. Reparation Rate-Monitoring System
4.1. System Overview
4.2. Breathing Detection
4.3. Preprocessing
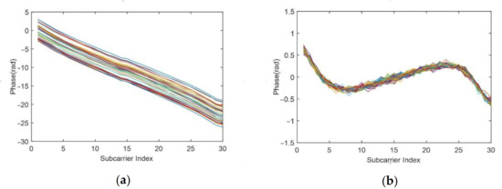
4.3.1. Data Calibration
4.3.2. Phase Sanitisation
- Carrier frequency offset (CFO): The carrier frequency offset is caused by the incomplete synchronisation of the carrier frequency generated by the oscillator of the receiver and transmitter. The CFO corrector compensated the carrier frequency; however, a residual CFO was still present, which is noted as . In the IEEE802.11n standard, the frequency is allowed to be as high as 100 kHz [29]. Accordingly, a large phase uncertainty is introduced. The CFO is determined only by the hardware characteristics; hence, it is a constant that does not change over time.
- Sampling frequency offset (SFO): In the sampling process of analogue-to-digital convertor, the sampling frequency is offset due to the unsynchronised clock. This phenomenon introduces a time offset termed as between the adjacent sampling points and causes a phase rotation error in the subcarrier. SFO can be considered stable for short periods of time.
- Packet detection delay (PDD): The packets of the Wi-Fi signals are transmitted in the frame format specified by the protocol. The packet detector detects the arrival of a packet by using the preamble. This situation introduces the packet detection time delay , resulting in a phase rotation error. PDD is random for packets arriving at different times.
4.4. Respiration Signal Extraction
4.5. Respiration Rate Estimation
5. Evaluation
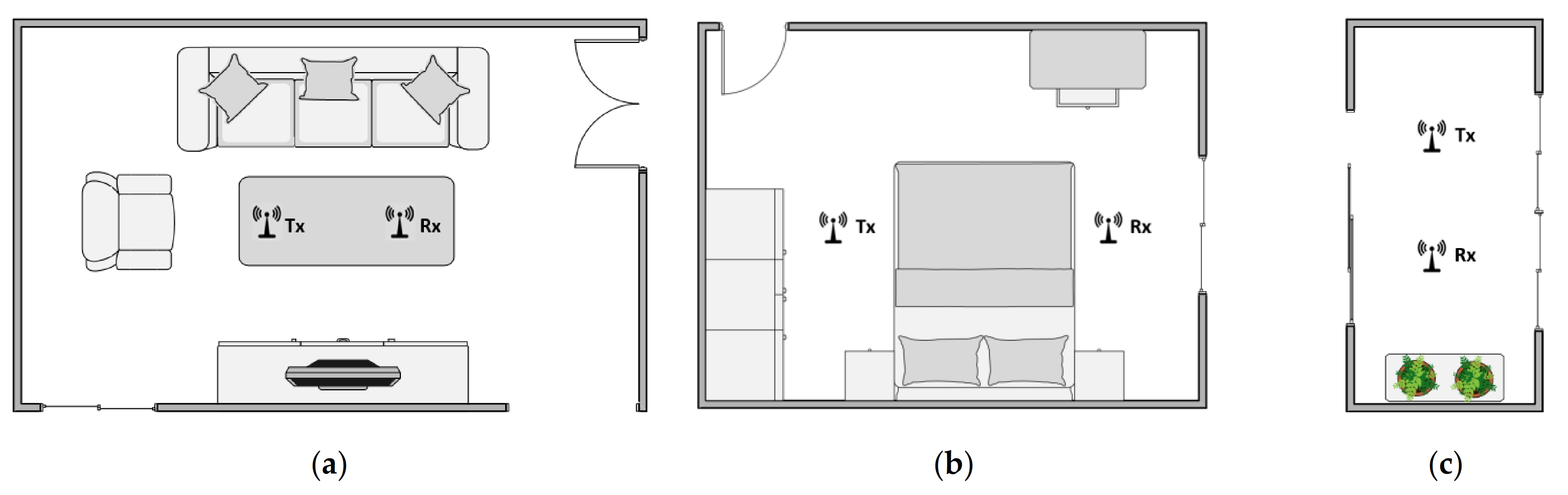
5.1. Experiment Configuration
5.2. Performance of Respiration Rate Estimation
5.3. Verifying the Detectability of Breathing Locations
5.4. Impact of Various Factors
5.4.1. Impact of Distance between the Transmitter and the Receiver
5.4.2. Impact of Sampling Rate
6. Conclusions
Author Contributions
Funding
Institutional Review Board Statement
Informed Consent Statement
Conflicts of Interest
References
- De Backer, D.; Taccone, F.S.; Holsten, R.; Ibrahimi, F.; Vincent, J.-L. Influence of Respiratory Rate on Stroke Volume Variation in Mechanically Ventilated Patients. Anesthesiology 2009, 110, 1092–1097. [Google Scholar] [CrossRef] [PubMed]
- Nicolò, A.; Massaroni, C.; Schena, E.; Sacchetti, M. The Importance of Respiratory Rate Monitoring: From Healthcare to Sport and Exercise. Sensors 2020, 20, 6396. [Google Scholar] [CrossRef] [PubMed]
- Bruton, A.; Kirby, S.; Arden-Close, E.; Taylor, L.; Webley, F.; George, S.; Yardley, L.; Price, D.; Moore, M.; Little, P.; et al. The BREATHE study: Breathing REtraining for Asthma: Trial of Home Exercises. A protocol summary of a randomised controlled trial. Prim. Care Respir. J. 2013, 22, PS1–PS7. [Google Scholar] [CrossRef] [PubMed][Green Version]
- Parkes, R. Rate of respiration: The forgotten vital sign. Emerg. Nurse 2011, 19, 12–17. [Google Scholar] [CrossRef]
- Yañez, A.M.; Guerrero, D.; De Alejo, R.P.; Garcia-Rio, F.; Alvarez-Sala, J.L.; Calle-Rubio, M.; De Molina, R.M.; Falcones, M.V.; Ussetti, P.; Sauleda, J.; et al. Monitoring Breathing Rate at Home Allows Early Identification of COPD Exacerbations. Chest 2012, 142, 1524–1529. [Google Scholar] [CrossRef]
- Mogue, L.R.; Rantala, B. Capnometers. J. Clin. Monit. 1988, 4, 115–121. [Google Scholar] [CrossRef]
- Sinha, R.; Hernandez, F.U.; He, C.; Korposh, S.; Correia, R.N.G.; Norris, A.; Liu, C.; Hayes-Gill, B.R.; Morgan, S.P. Development and validation of a novel fibre-optic respiratory rate sensor (FiRRS) integrated in oxygen delivery devices. J. Phys. D Appl. Phys. 2021, 54, 124002. [Google Scholar] [CrossRef]
- Dias, D.; Cunha, J.P.S. Wearable Health Devices: Vital Sign Monitoring, Systems and Technologies. Sensors 2018, 18. [Google Scholar] [CrossRef]
- Kundu, S.K.; Kumagai, S.; Sasaki, M. A Wearable Capacitive Sensor for Monitoring Human Respiratory Rate. Jpn. J. Appl. Phys. 2013, 52. [Google Scholar] [CrossRef]
- Retory, Y.; Niedzialkowski, P.; De Picciotto, C.; Bonay, M.; Petitjean, M. New Respiratory Inductive Plethysmography (RIP) Method for Evaluating Ventilatory Adaptation during Mild Physical Activities. PLoS ONE 2016, 11, e0151983. [Google Scholar] [CrossRef]
- Heise, D.; Skubic, M. Monitoring pulse and respiration with a non-invasive hydraulic bed sensor. In Proceedings of the 2010 Annual International Conference of the IEEE Engineering in Medicine and Biology, Buenos Aires, Argentina, 31 August–4 September 2010; IEEE: Piscataway, NJ, USA, 2010; Volume 2010, pp. 2119–2123. [Google Scholar]
- Li, C.; Ling, J.; Li, J.; Lin, J. Accurate Doppler Radar Noncontact Vital Sign Detection Using the RELAX Algorithm. IEEE Trans. Instrum. Meas. 2009, 59, 687–695. [Google Scholar] [CrossRef]
- Droitcour, A.D.; Boric-Lubecke, O.; Kovacs, G.T.A. Signal-to-Noise Ratio in Doppler Radar System for Heart and Respiratory Rate Measurements. IEEE Trans. Microw. Theory Tech. 2009, 57, 2498–2507. [Google Scholar] [CrossRef]
- Lazaro, A.; Girbau, D.; Villarino, R. Analysis of vital signs monitoring using an IR-UWB radar. Prog. Electromagn. Res. 2010, 100, 265–284. [Google Scholar] [CrossRef]
- Lai, J.C.Y.; Xu, Y.; Gunawan, E.; Chua, E.C.P.; Maskooki, A.; Guan, Y.L.; Low, K.S.; Soh, C.B.; Poh, C.L. Wireless Sensing of Human Respiratory Parameters by Low-Power Ultrawideband Impulse Radio Radar. IEEE Trans. Instrum. Meas. 2011, 60, 928–938. [Google Scholar] [CrossRef]
- Adib, F.; Mao, H.; Kabelac, Z.; Katabi, D.; Miller, R.C. Smart Homes that Monitor Breathing and Heart Rate. In Proceedings the 33rd Annual ACM Conference on Human Factors in Computing Systems; Seoul, Korea, 18–23 April 2015, Association for Computing Machinery: New York, NY, USA, 2015; pp. 837–846. [Google Scholar]
- Liu, J.; Wang, Y.; Chen, Y.; Yang, J.; Chen, X.; Cheng, J. Tracking Vital Signs During Sleep Leveraging Off-the-shelf WiFi. In Proceedings of the 16th ACM International Symposium on Mobile Ad Hoc Networking and Computing, MobiHoc, Hangzhou, China, 22–25 June 2015; pp. 267–276. [Google Scholar]
- Wang, X.; Yang, C.; Mao, S. PhaseBeat: Exploiting CSI Phase Data for Vital Sign Monitoring with Commodity WiFi Devices. In Proceedings of the 2017 IEEE 37th International Conference on Distributed Computing Systems (ICDCS), Atlanta, GA, USA, 5–8 June 2017; IEEE: Piscataway, NJ, USA, 2017; pp. 1230–1239. [Google Scholar]
- Wang, X.; Yang, C.; Mao, S. TensorBeat. ACM Trans. Intell. Syst. Technol. 2017, 9, 1–27. [Google Scholar] [CrossRef]
- Wang, H.; Zhang, D.; Ma, J.; Wang, Y.; Wang, Y.; Wu, D.; Gu, T.; Xie, B. Human Respiration Detection with Commodity Wifi Devices: Do User Location and Body Orientation Matter? In Proceedings of the 2016 ACM International Joint Conference on Pervasive and Ubiquitous Computing, Heidelberg, Germany, 12–16 September 2016; Association for Computing Machinery: New York, NY, USA, 2016; pp. 25–36. [Google Scholar] [CrossRef]
- Zeng, Y.; Wu, D.; Gao, R.; Gu, T.; Zhang, D. FullBreathe: Full human respiration detection exploiting complementarity of CSI phase and amplitude of WiFi signals. In Proceedings of the ACM on Interactive, Mobile, Wearable and Ubiquitous Technologies, September 2018; Association for Computing Machinery: New York, NY, USA, 2018; Volume 2, pp. 1–19. [Google Scholar]
- Borhani, A.; Pätzold, M.; Yang, K. Time-Frequency Characteristics of In-Home Radio Channels Influenced by Activities of the Home Occupant. Sensors 2019, 19, 3557. [Google Scholar] [CrossRef]
- Griffiths, E.; Saponas, T.S.; Bernheim Brush, A.J. Health chair: Implicitly sensing heart and respiratory rate. In Proceedings of the 2014 ACM International Joint Conference on Pervasive and Ubiquitous Computing, UbiComp, Seattle, WA, USA, 13–17 September 2014; pp. 661–671. [Google Scholar]
- Nguyen, P.; Zhang, X.; Halbower, A.; Vu, T. Continuous and fine-grained breathing volume monitoring from afar using wireless signals. In Proceedings of the 35th Annual IEEE International Conference on Computer Communications, IEEE INFOCOM, San Francisco, CA, USA, 10–14 April 2016; pp. 1–9. [Google Scholar]
- Halperin, D.; Hu, W.; Sheth, A.; Wetherall, D. Predictable 802.11 packet delivery from wireless channel measurements. ACM SIGCOMM Comput. Commun. Rev. 2010, 40, 159–170. [Google Scholar] [CrossRef]
- Xuefeng, L.; Jiannong, C.; Shaojie, T.; Jiaqi, W. Wi-Sleep: Contactless Sleep Monitoring via WiFi Signals. In Proceedings of the 2014 IEEE Real-Time Systems Symposium (RTSS), Los Alamitos, CA, USA, 2–5 December 2014; pp. 346–355. [Google Scholar]
- Zeng, Y.; Wu, D.; Xiong, J.; Yi, E.; Gao, R.; Zhang, D. FarSense: Pushing the range limit of WiFi-based respiration sensing with CSI ratio of two antennas. In Proceedings of the ACM on Interactive, Mobile, Wearable and Ubiquitous Technologies, London, UK, 9–13 September 2019; Association for Computing Machinery: New York, NY, USA, 2019; Volume 3, pp. 1–26. [Google Scholar]
- Wang, X.; Yang, C.; Mao, S. Resilient Respiration Rate Monitoring with Realtime Bimodal CSI Data. IEEE Sens. J. 2020, 20, 10187–10198. [Google Scholar] [CrossRef]
- IEEE. IEEE Std 802.11n-2009: Enhancements for Higher Throughput; IEEE: Piscataway, NJ, USA, 2009; pp. 1–565. [Google Scholar] [CrossRef]
- Wang, W.; Liu, A.X.; Shahzad, M.; Ling, K.; Lu, S. Understanding and Modeling of WiFi Signal Based Human Activity Recognition. In Proceedings of the 21st Annual International Conference on Mobile Computing and Networking, Paris, France, 7–11 September 2015; Association for Computing Machinery: New York, NY, USA, 2015; pp. 65–76. [Google Scholar] [CrossRef]
- Lowanichkiattikul, C.; Dhanachai, M.; Sitathanee, C.; Khachonkham, S.; Khaothong, P. Impact of chest wall motion caused by respiration in adjuvant radiotherapy for postoperative breast cancer patients. SpringerPlus 2016, 5, 1–8. [Google Scholar] [CrossRef]
- Pu, Q.; Gupta, S.; Gollakota, S.; Patel, S. Whole-home gesture recognition using wireless signals. In Proceedings of the 19th annual international conference on Mobile computing & networking, MobiCom, Miami, FL, USA, 30 September–4 October 2013; pp. 27–38. [Google Scholar]
- Borhani, A.; Patzold, M. A Non-Stationary Channel Model for the Development of Non-Wearable Radio Fall Detection Systems. IEEE Trans. Wirel. Commun. 2018, 17, 7718–7730. [Google Scholar] [CrossRef]
- Luo, J.; Ying, K.; Bai, J. Savitzky–Golay smoothing and differentiation filter for even number data. Signal Process. 2005, 85, 1429–1434. [Google Scholar] [CrossRef]
- Xie, Y.; Li, Z.; Li, M. Precise Power Delay Profiling with Commodity Wi-Fi. IEEE Trans. Mob. Comput. 2019, 18, 1342–1355. [Google Scholar] [CrossRef]
- Yiwei, Z.; Hongzi, Z.; Hua, X.; Shan, C. Perceiving accurate CSI phases with commodity WiFi devices. In Proceedings of the INFOCOM 2017—IEEE Conference on Computer Communications, Atlanta, GA, USA, 1–4 May 2017; IEEE: Piscataway, NJ, USA, 2017; p. 9. [Google Scholar]
- Kotaru, M.; Joshi, K.; Bharadia, D.; Katti, S. SpotFi: Decimeter Level Localization Using WiFi; Stanford University: Stanford, CA, USA, 2015; pp. 269–282. [Google Scholar]
- Eckmann, J.P.; Kamphorst, S.O.; Ruelle, D. Recurrence Plots of Dynamical Systems. Europhys. Lett. 1987, 4, 973–977. [Google Scholar] [CrossRef]
- Halperin, D.; Hu, W.; Sheth, A.; Wetherall, D. Tool release. ACM SIGCOMM Comput. Commun. Rev. 2011, 41, 53. [Google Scholar] [CrossRef]
- Kennedy, S. Detecting changes in the respiratory status of ward patients. Nurs. Stand. 2007, 21, 42–46. [Google Scholar] [CrossRef]
- NEULOG Respiration Monitor Logger Sensor. Available online: http://www.neulog.com/ (accessed on 1 April 2021).
- Hristov, H.D. Fresnel Zones in Wireless Links, Zone Plate Lenses and Antennas; Artech House Publishers: London, UK, 2000. [Google Scholar]
















Publisher’s Note: MDPI stays neutral with regard to jurisdictional claims in published maps and institutional affiliations. |
© 2021 by the authors. Licensee MDPI, Basel, Switzerland. This article is an open access article distributed under the terms and conditions of the Creative Commons Attribution (CC BY) license (https://creativecommons.org/licenses/by/4.0/).
Share and Cite
Dou, C.; Huan, H. Full Respiration Rate Monitoring Exploiting Doppler Information with Commodity Wi-Fi Devices. Sensors 2021, 21, 3505. https://doi.org/10.3390/s21103505
Dou C, Huan H. Full Respiration Rate Monitoring Exploiting Doppler Information with Commodity Wi-Fi Devices. Sensors. 2021; 21(10):3505. https://doi.org/10.3390/s21103505
Chicago/Turabian StyleDou, Chendan, and Hao Huan. 2021. "Full Respiration Rate Monitoring Exploiting Doppler Information with Commodity Wi-Fi Devices" Sensors 21, no. 10: 3505. https://doi.org/10.3390/s21103505
APA StyleDou, C., & Huan, H. (2021). Full Respiration Rate Monitoring Exploiting Doppler Information with Commodity Wi-Fi Devices. Sensors, 21(10), 3505. https://doi.org/10.3390/s21103505
