Impact of Safety Message Generation Rules on the Awareness of Vulnerable Road Users
Abstract
1. Introduction
1.1. Motivation
1.2. Contributions
- We defined a novel VRU awareness metric to analyze the impact of VRU message generation rules on the timely detection of VRU. Our proposed VRU awareness probability metric (VAP) measures the ability of a vehicle to detect the surrounding VRU as a function of the probability of successful message reception.
- We conducted a trade-off study based on channel busy ratio (CBR), packet delivery ratio (PDR), and VAP to analyze VRU message generation rules proposed in the literature [4]. For this purpose, we extend a vehicle-only IEEE 802.11p model to integrate VRU nodes in the vehicular communication network. In contrast to [4], our model does not separate the traffic of VRU and vehicles in different communication channels; instead, we considered a single shared channel scenario. The model also accounts for the effect of hidden terminals, caused by obstacles, to evaluate the impact of the network traffic generated by VRU.
- We developed a simulation tool to validate our theoretical model, which differs from previous works and tools that consider only pedestrians and cars (e.g., [4,5,19]). In this work, we also included bicycles and motorcycles, which present different mobility patterns compared to pedestrians. This inclusion is important because the mobility patterns directly affect the activation of the VRU message generation rules under study, especially those related to the position of VRU in urban scenarios.
2. Related Work
3. System Model
3.1. VRU Message Generation Rules
- Pedestrian on Street (PedOnStreet): Pedestrians only transmit messages when they are on the street. Other types of VRU like bicycles and motorcycles—grouped under the name cycle—are assumed to always be on the street, so they always transmit messages under this rule. A representation of this rule behavior is shown in Figure 1b, in which pedestrians who are not on the street make no transmissions.
- Moving VRU (MovVRU): VRU transmit only when they are moving (VRU’s velocity is different from zero); thus, stationary VRU do not transmit.
- Multiple Transmission Rates (MultiTx): This rule modifies the transmission rate () of messages according to whether VRU are moving or not. In the case of a stationary VRU, the transmission rate is set to 2 Hz, while in the case of an in-motion VRU, the transmission rate is set to 5 Hz. is defined in Equation (1), where v is the VRU velocity:
3.2. IEEE 802.11p Model
3.3. Evaluation Metrics
4. Simulation Analysis
Validation of the Theoretical Model
5. Evaluating the Impact of VRU Message Generation Rules
5.1. Analysis of Baseline VRU Transmissions
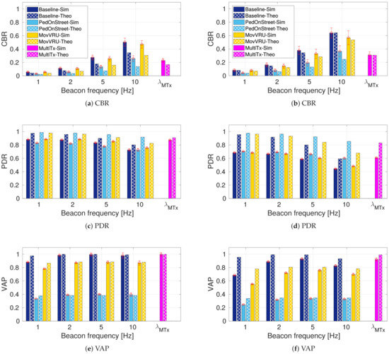
5.2. Comparison of Baseline and Message Generation Rules
5.3. Node Behavior Variation
5.4. Variation for MultiTx Rule
5.5. Summary of Results
6. Conclusions
- Explore different access technologies: The use of other access technologies is an open field of research. One example of these technologies is C-V2X, a technology developed by 3GPP specifically designed for V2X communications. Works on C-V2X have shown improvements compared to DSRC [41]; however, more evaluations and implementations remain an open field. Another factor that adds interest to this technology is that FCC recently allowed part of the DSRC-dedicated spectrum to be used by C-V2X [20]. Another technology that may get the community’s attention is the IEEE 802.11p update named IEEE 802.11bd [48,49].
- Multiple access technologies: The use of different access technologies in a heterogeneous architecture could also be considered for channel load reduction without necessarily reducing VRU awareness. Current access technologies, such as DSRC, WiFi, and C-V2X, could coexist in the vehicular environment. There is a number of contributions [17,18,29,50] that consider multiple access technologies; however, they mainly focus on vehicular communications without the inclusion of traffic from active VRU.
- Position-based rules: Another line of research is the exploration of message generation rules that combine the position and direction of VRU with the motion-based policies to filter unnecessary messages. For example, rules could stop the transmissions of pedestrians considered to be in a safe zone (at a certain distance from the street or in a safe space, such as parks [43]) or walking away from the street.
- Clustering: As indicated by ETSI [51], the clustering of VRU should be considered as an alternative to managing large numbers of VRU. In this approach, future research could explore the dissemination or transmission selection schemes based on groups instead of individual VRU.
Author Contributions
Funding
Acknowledgments
Conflicts of Interest
Abbreviations
| LoS | Line of Sight |
| C-ITS | Cooperative Intelligent Transportation Systems |
| VRU | Vulnerable Road Users |
| V2P | Vehicle-to-Person |
| RFID | Radio Frequency Identification |
| DSRC | Dedicated Short-Range Communications |
| FCC | Federal Communications Commission |
| CBR | Channel Busy Ratio |
| VAP | VRU Awareness Probability |
| PDR | Packet Delivery Ratio |
| V2X | Vehicle-to-Everything |
| CPM | Collective Perception Message |
| ETSI | European Telecommunications Standards Institute |
| OWR | Object Awareness Ratio |
| CBP | Channel Busy Percentage |
| Beacon Packet Error Ratio | |
| PER | Packet Error Rate |
| 95% IPG | Near-the-Worst-Case Inter Packet GAP |
| NLOS | Non Line of Sight |
| CCA | Cooperative Collision Avoidance |
| DCF | Distributed Coordination Function |
| DIFS | DCF Interframe Space |
| RMSE | Root Mean Squared Error |
| V2C | Vehicle-to-Cloud |
| P2C | Pedestrian-to-cloud |
| LTE-V2X | Long-Term Evolution-Vehicular-to-Everything |
| RADAR | Radio Detection and Ranging |
| LiDAR | Light Detection and Ranging |
| CNN | Convolutional Neural Networks |
| C-V2X | Cellular–Vehicle-to-Everything |
| PRR | Packet Reception Ratio |
References
- Karagiannis, G.; Altintas, O.; Ekici, E.; Heijenk, G.; Jarupan, B.; Lin, K.; Weil, T. Vehicular networking: A survey and tutorial on requirements, architectures, challenges, standards and solutions. IEEE Commun. Surv. Tutor. 2011, 13, 584–616. [Google Scholar] [CrossRef]
- David, K.; Flach, A. Car-2-x and pedestrian safety. IEEE VEhicular Technol. Mag. 2010, 5, 70–76. [Google Scholar] [CrossRef]
- Anaya, J.J.; Merdrignac, P.; Shagdar, O.; Nashashibi, F.; Naranjo, J.E. Vehicle to pedestrian communications for protection of vulnerable road users. In Proceedings of the 2014 IEEE Intelligent Vehicles Symposium Proceedings, Dearborn, MI, USA, 8–11 June 2014; IEEE: Piscataway, NJ, USA, 2014; pp. 1037–1042. [Google Scholar]
- Rostami, A.; Cheng, B.; Lu, H.; Kenney, J.B.; Gruteser, M. Performance and channel load evaluation for contextual pedestrian-to-vehicle transmissions. In Proceedings of the First ACM International Workshop on Smart, Autonomous, and Connected Vehicular Systems and Services, New York, NY, USA, 3–7 October 2016; pp. 22–29. [Google Scholar]
- Sewalkar, P.; Krug, S.; Seitz, J. Towards 802.11 p-based vehicle-to-pedestrian communication for crash prevention systems. In Proceedings of the 2017 9th International Congress on Ultra Modern Telecommunications and Control Systems and Workshops (ICUMT), Munich, Germany, 6–8 November 2017; IEEE: Piscataway, NJ, USA, 2017; pp. 404–409. [Google Scholar]
- Scholliers, J.; Van Sambeek, M.; Moerman, K. Integration of vulnerable road users in cooperative ITS systems. Eur. Transp. Res. Rev. 2017, 9, 1–9. [Google Scholar] [CrossRef]
- Casademont, J.; Calveras, A.; Quiñones, D.; Navarro, M.; Arribas, J.; Catalan-Cid, M. Cooperative-Intelligent Transport Systems for Vulnerable Road Users Safety. In Proceedings of the 2019 7th International Conference on Future Internet of Things and Cloud (FiCloud), Istanbul, Turkey, 26–28 August 2019; IEEE: Piscataway, NJ, USA, 2019; pp. 141–146. [Google Scholar]
- Rufino, J.; Silva, L.; Fernandes, B.; Almeida, J.; Ferreira, J. Empowering Vulnerable Road Users in C-ITS. In Proceedings of the 2018 IEEE Globecom Workshops (GC Wkshps), Abu Dhabi, United Arab Emirates, 9–13 December 2018; IEEE: Piscataway, NJ, USA, 2018; pp. 1–6. [Google Scholar]
- Silla, A.; Rämä, P.; Leden, L.; Van Noort, M.; de Kruijff, J.; Bell, D.; Morris, A.; Hancox, G.; Scholliers, J. Quantifying the effectiveness of ITS in improving safety of VRUs. IET Intell. Transp. Syst. 2017, 11, 164–172. [Google Scholar] [CrossRef]
- ETSI. Intelligent Transport Systems (ITS); Vulnerable Road Users (VRU) awareness; Part 1: Use Cases Definition; Release 2; Technical Report (TR) 103300-1; European Telecommunications Standards Institute (ETSI): Sophia Antipolis, France, 2019; Version 2.1.1. [Google Scholar]
- World Health Organization. Global Status Report on Road Safety 2018; World Health Organization: Geneva, Switzerland, 2018. [Google Scholar]
- Ho, P.F.; Chen, J.C. Wisafe: Wi-fi pedestrian collision avoidance system. IEEE Trans. Veh. Technol. 2016, 66, 4564–4578. [Google Scholar] [CrossRef]
- Zadeh, R.B.; Ghatee, M.; Eftekhari, H.R. Three-phases smartphone-based warning system to protect vulnerable road users under fuzzy conditions. IEEE Trans. Intell. Transp. Syst. 2017, 19, 2086–2098. [Google Scholar] [CrossRef]
- Anaya, J.J.; Talavera, E.; Giménez, D.; Gómez, N.; Felipe, J.; Naranjo, J.E. Vulnerable road users detection using V2X communications. In Proceedings of the 2015 IEEE 18th International Conference on Intelligent Transportation Systems, Gran Canaria, Spain, 15–18 September 2015; IEEE: Piscataway, NJ, USA, 2015; pp. 107–112. [Google Scholar]
- Al-Lawati, A.; Al-Jahdhami, S.; Al-Belushi, A.; Al-Adawi, D.; Awadalla, M.; Al-Abri, D. RFID-based system for school children transportation safety enhancement. In Proceedings of the 2015 IEEE 8th GCC Conference & Exhibition, Muscat, Oman, 1–4 February 2015; IEEE: Piscataway, NJ, USA, 2015; pp. 1–6. [Google Scholar]
- Sewalkar, P.; Seitz, J. Vehicle-to-pedestrian communication for vulnerable road users: Survey, design considerations, and challenges. Sensors 2019, 19, 358. [Google Scholar] [CrossRef]
- Thandavarayan, G.; Sepulcre, M.; Gozalvez, J. Analysis of Message Generation Rules for Collective Perception in Connected and Automated Driving. In Proceedings of the 2019 IEEE Intelligent Vehicles Symposium (IV), Paris, France, 9–12 June 2019; IEEE: Piscataway, NJ, USA, 2019; pp. 134–139. [Google Scholar]
- Garlichs, K.; Günther, H.J.; Wolf, L.C. Generation Rules for the Collective Perception Service. In Proceedings of the IEEE Vehicular Networking Conference (VNC), Los Angeles, CA, USA, 4–6 December 2019; IEEE: Piscataway, NJ, USA, 2019. [Google Scholar]
- Wu, X.; Miucic, R.; Yang, S.; Al-Stouhi, S.; Misener, J.; Bai, S.; Chan, W.h. Cars talk to phones: A DSRC based vehicle-pedestrian safety system. In Proceedings of the 2014 IEEE 80th Vehicular Technology Conference (VTC2014-Fall), Vancouver, BC, Canada, 14–17 September 2014; IEEE: Piscataway, NJ, USA, 2014; pp. 1–7. [Google Scholar]
- FCC Modernizes 5.9 GHz Band to Improve Wi-Fi and Automotive Safety. Available online: https://www.fcc.gov/document/fcc-modernizes-59-ghz-band-improve-wi-fi-and-automotive-safety (accessed on 28 February 2020).
- European Telecommunications Standards Institute Intelligent Tranportation Systems (ETSI ITS). Intelligent Transport Systems (ITS); Vehicular Communications; Basic Set of Applications; Part 2: Specification of Cooperative Awareness Basic Service; European Telecommunications Standards Institute (ETSI): Sophia Antipolis, France, 2019. [Google Scholar]
- Lee, S.; Kim, D. An energy efficient vehicle to pedestrian communication method for safety applications. Wirel. Pers. Commun. 2016, 86, 1845–1856. [Google Scholar] [CrossRef]
- Bagheri, M.; Siekkinen, M.; Nurminen, J.K. Cloud-based pedestrian road-safety with situation-adaptive energy-efficient communication. IEEE Intell. Transp. Syst. Mag. 2016, 8, 45–62. [Google Scholar] [CrossRef][Green Version]
- Kenney, J.B. Dedicated Short-Range Communications (DSRC) Standards in the United States. Proc. IEEE 2011, 99, 1162–1182. [Google Scholar] [CrossRef]
- 3rd Generation Partnership Project (3GPP). Technical Specification Group Services and System Aspects; Release 14 Description; Summary of Rel-14 Work Items (Release 14). Available online: https://portal.3gpp.org/desktopmodules/Specifications/SpecificationDetails.aspx?specificationId=2934 (accessed on 10 May 2021).
- 3rd Generation Partnership Project (3GPP). Technical Specification Group Services and System Aspects; Release 15 Description; Summary of Rel-15 Work Items (Release 15). Available online: https://portal.3gpp.org/desktopmodules/Specifications/SpecificationDetails.aspx?specificationId=3389 (accessed on 10 May 2021).
- 3rd Generation Partnership Project (3GPP). Technical Specification Group Services and System Aspects; Enhancement of 3GPP support for V2X scenarios; Stage 1 (Release 15). Available online: https://portal.3gpp.org/desktopmodules/Specifications/SpecificationDetails.aspx?specificationId=3180 (accessed on 10 May 2021).
- Zheng, K.; Zhang, L.; Xiang, W.; Wang, W. Heterogeneous Vehicular Networks; Springer: Cham, Switzerland, 2016; Volume 1. [Google Scholar]
- Valle, F.; Céspedes, S.; Hafid, A. Automated Decision System to Exploit Network Diversity for Connected Vehicles. IEEE Trans. Veh. Technol. 2020, 70, 858–871. [Google Scholar] [CrossRef]
- Hassan, M.I.; Vu, H.L.; Sakurai, T. Performance analysis of the IEEE 802.11 MAC protocol for DSRC safety applications. IEEE Trans. Veh. Technol. 2011, 60, 3882–3896. [Google Scholar] [CrossRef]
- Boban, M.; d’Orey, P.M. Exploring the practical limits of cooperative awareness in vehicular communications. IEEE Trans. Veh. Technol. 2016, 65, 3904–3916. [Google Scholar] [CrossRef]
- Yáñez, A.; Céspedes, S. Pedestrians also Have Something to Say: Integration of Connected VRU in Bidirectional Simulations. In Proceedings of the 2020 IEEE Vehicular Networking Conference (VNC), New York, NY, USA, 16–18 December 2020; IEEE: Piscataway, NJ, USA, 2020; pp. 1–4. [Google Scholar]
- Schuhbäck, S.; Daßler, N.; Wischhof, L.; Köste, G. Towards a Bidirectional Coupling of Pedestrian Dynamics and Mobile Communication Simulation. In Proceedings of the 6th International OMNeT++ Community Summit 2019, Hamburgo, Germany, 4–6 September 2019; EasyChair: Manchester, UK, 2019; Volume 66, pp. 60–67. [Google Scholar]
- Codeca, L.; Härri, J. Monaco SUMO Traffic (MoST) Scenario: A 3D Mobility Scenario for Cooperative ITS. EPiC Ser. Eng. 2018, 2, 43–55. [Google Scholar]
- Behrisch, M.; Bieker, L.; Erdmann, J.; Knocke, M.; Krajzewicz, D.; Wagner, P. Evolution of SUMO’s Simulation Model; Transportation Research Board: Berlin/Adlershof, Germany, 2014. [Google Scholar]
- IEEE Computer Society LAN/MAN Standards Committee. IEEE Standard for Information technology–Telecommunications and information exchange between systems Local and metropolitan area networks–Specific requirements Part 11: Wireless LAN Medium Access Control (MAC) and Physical Layer (PHY) Specifications. IEEE Std 802.11-2016 (Revision of IEEE Std 802.11-2012) 2016, 1–3534. [Google Scholar] [CrossRef]
- Tian, B.; Hou, K.M.; Zhou, H. The traffic adaptive data dissemination (TrAD) protocol for both urban and highway scenarios. Sensors 2016, 16, 920. [Google Scholar] [CrossRef]
- Sommer, C.; German, R.; Dressler, F. Bidirectionally coupled network and road traffic simulation for improved IVC analysis. IEEE Trans. Mob. Comput. 2011, 10, 3–15. [Google Scholar] [CrossRef]
- Meinilä, J.; Kyösti, P.; Jämsä, T.; Hentilä, L. WINNER II channel models. Radio Technol. Concepts IMT-Adv. 2009, 39–92. [Google Scholar] [CrossRef]
- Ansari, K. Joint use of DSRC and C-V2X for V2X communications in the 5.9 GHz ITS band. IET Intell. Transp. Syst. 2021, 15, 213–224. [Google Scholar] [CrossRef]
- Zhao, L.; Fang, J.; Hu, J.; Li, Y.; Lin, L.; Shi, Y.; Li, C. The performance comparison of LTE-V2X and IEEE 802.11 p. In Proceedings of the 2018 IEEE 87th Vehicular Technology Conference (VTC Spring), Porto, Portugal, 3–6 June 2018; IEEE: Piscataway, NJ, USA, 2018; pp. 1–5. [Google Scholar]
- Ahmed, S.; Huda, M.N.; Rajbhandari, S.; Saha, C.; Elshaw, M.; Kanarachos, S. Pedestrian and cyclist detection and intent estimation for autonomous vehicles: A survey. Appl. Sci. 2019, 9, 2335. [Google Scholar] [CrossRef]
- Tahmasbi-Sarvestani, A.; Mahjoub, H.N.; Fallah, Y.P.; Moradi-Pari, E.; Abuchaar, O. Implementation and evaluation of a cooperative vehicle-to-pedestrian safety application. IEEE Intell. Transp. Syst. Mag. 2017, 9, 62–75. [Google Scholar] [CrossRef]
- Fang, Z.; López, A.M. Intention recognition of pedestrians and cyclists by 2d pose estimation. IEEE Trans. Intell. Transp. Syst. 2019, 21, 4773–4783. [Google Scholar] [CrossRef]
- Torres, S.; Céspedes, S.; Bustos-Jiménez, J.; Serrano, M. IoT solutions for Sustainable Cities: An Online Adaptation for the Driver Intent Inference Algorithm. In Proceedings of the 2019 IEEE 5th World Forum on Internet of Things (WF-IoT), Limerick, Ireland, 15–18 April 2019; IEEE: Piscataway, NJ, USA, 2019; pp. 967–972. [Google Scholar]
- Schulz, A.T.; Stiefelhagen, R. Pedestrian intention recognition using latent-dynamic conditional random fields. In Proceedings of the 2015 IEEE Intelligent Vehicles Symposium (IV), Seoul, Korea, 28 June–1 July 2015; IEEE: Piscataway, NJ, USA, 2015; pp. 622–627. [Google Scholar]
- Quintero, R.; Parra, I.; Lorenzo, J.; Fernández-Llorca, D.; Sotelo, M. Pedestrian intention recognition by means of a hidden markov model and body language. In Proceedings of the 2017 IEEE 20th international conference on intelligent transportation systems (ITSC), Yokohama, Japan, 16–19 October 2017; IEEE: Piscataway, NJ, USA, 2017; pp. 1–7. [Google Scholar]
- Naik, G.; Choudhury, B.; Park, J.M. IEEE 802.11 bd & 5G NR V2X: Evolution of radio access technologies for V2X communications. IEEE Access 2019, 7, 70169–70184. [Google Scholar]
- IEEE P802.11-Task Group bd (NGV) Meeting Update. Available online: https://www.ieee802.org/11/Reports/tgbd_update.htm (accessed on 23 April 2021).
- Chen, X.; Leng, S.; Wu, F. Reinforcement Learning Based Safety Message Broadcasting in Vehicular Networks. In Proceedings of the 2018 10th International Conference on Wireless Communications and Signal Processing (WCSP), Hangzhou, China, 18–20 October 2018; IEEE: Piscataway, NJ, USA, 2018; pp. 1–6. [Google Scholar]
- ETSI. ETSI TS 103 300-2 Intelligent Transport System (ITS); Vulnerable Road Users (VRU) awareness ; Part 2: Functional Architecture and Requirements definition; Release 2; Technical Report (TR) 103300-2; European Telecommunications Standards Institute (ETSI): Sophia Antipolis, France, 2020; Version 2.1.1. [Google Scholar]











| Symbol | Description |
|---|---|
| Set of pedestrians in a vehicle’s transmission range | |
| Set of bicycles and motorcycles in a vehicle’s transmission range | |
| Set of vulnerable road users in a vehicle’s transmission range | |
| Set of vehicles | |
| Set of transmitting pedestrians in a vehicle’s transmission range | |
| Set of transmitting bicycles and motorcycles in a vehicle’s transmission range | |
| Set of transmitting vulnerable road users in a vehicle’s transmission range | |
| P | Cardinality of the pedestrian’s set |
| C | Cardinality of the cycles’ set |
| V | Cardinality of the VRU’s set |
| Cardinality of the car’s set | |
| Number of pedestrians sending messages | |
| Number of cycles sending messages | |
| Number of VRU sending messages | |
| Channel busy ratio | |
| Packet delivery ratio | |
| VRU awareness probability | |
| Correct car’s reception probability for a VRU transmission (i) | |
| Exponent of the loss rate | |
| Transmission rate. | |
| Probability of sensing a busy channel | |
| T | Total transmission time of a packet |
| Packet collision probability when hidden nodes are not considered. | |
| Linear density of the j-th node (node/km) | |
| R | Node transmission range (km) |
| Queue utilization of the j-th node. | |
| Collision probability considering hidden terminals | |
| Probability that no hidden node is transmitting when a tagged node is transmitting | |
| Probability that no hidden terminal starts transmitting until a tagged vehicle finishes transmission. |
| Scenario | Low-Density | High-Density | |
|---|---|---|---|
| Density (node/km2) | Cars | 38 | 66 |
| Pedestrians | 89 | 186 | |
| Cycles | 54 | 93 | |
| Behavior (%) | Moving pedestrians | 94.44 | 75.63 |
| Moving cycles | 78.90 | 91.68 | |
| Pedestrians on street | 0.86 | 2.10 |
| Physical Layer | |
|---|---|
| Frequency | 5.89 GHz [36] |
| SimplePathLoss model | [37] |
| Transmission power | 300 mW [38] |
| Receptor Ssnsitivity | −100 dBm [38] |
| Thermal noise | −110 dBm [38] |
| Antenna type | Monopole [38] |
| Link layer | |
| Bit rate | 6 Mbps [38] |
| Contention window | [15, 1023] [36] |
| Slot time | 13 µs [36] |
| SIFS | 32 µs [36] |
| DIFS | 58 µs [36] |
| Messages | |
| Beaconing frequency | [Hz] |
| Beacon size | 200 bytes |
| Vehicular traffic | |
| Vehicular density | [veh/km] |
| Vehicle types | Buses, cars |
| pedestrians, bicycles | |
| and motorcycles | |
| Simulation | |
| Simulation time | 20 [s] |
| Parameter | Value |
|---|---|
| Maximum backoff window size (W) | 16 |
| Transmission range (R) | 0.366 km |
| Slot size () | 13 µs |
| DIFS | 58 µs |
| Data rate () | 6 Mbps |
| Packet arrival rate () | {1,2,5,10} packets/s |
| Packet length (airframe) | 200 Bytes |
| Variation | Beacon Frequency in Hz | |
|---|---|---|
| Moving VRU | Stopped VRU | |
| 2 | 1 | |
| 5 | 1 | |
| original | 5 | 2 |
| 10 | 1 | |
| 10 | 2 | |
Publisher’s Note: MDPI stays neutral with regard to jurisdictional claims in published maps and institutional affiliations. |
© 2021 by the authors. Licensee MDPI, Basel, Switzerland. This article is an open access article distributed under the terms and conditions of the Creative Commons Attribution (CC BY) license (https://creativecommons.org/licenses/by/4.0/).
Share and Cite
Lara, T.; Yáñez, A.; Céspedes, S.; Hafid, A.S. Impact of Safety Message Generation Rules on the Awareness of Vulnerable Road Users. Sensors 2021, 21, 3375. https://doi.org/10.3390/s21103375
Lara T, Yáñez A, Céspedes S, Hafid AS. Impact of Safety Message Generation Rules on the Awareness of Vulnerable Road Users. Sensors. 2021; 21(10):3375. https://doi.org/10.3390/s21103375
Chicago/Turabian StyleLara, Tomás, Alexis Yáñez, Sandra Céspedes, and Abdelhakim Senhaji Hafid. 2021. "Impact of Safety Message Generation Rules on the Awareness of Vulnerable Road Users" Sensors 21, no. 10: 3375. https://doi.org/10.3390/s21103375
APA StyleLara, T., Yáñez, A., Céspedes, S., & Hafid, A. S. (2021). Impact of Safety Message Generation Rules on the Awareness of Vulnerable Road Users. Sensors, 21(10), 3375. https://doi.org/10.3390/s21103375

