Directionally-Enhanced Binary Multi-Objective Particle Swarm Optimisation for Load Balancing in Software Defined Networks
Abstract
1. Introduction
2. Literature Review
3. Methodology
3.1. Network Model
3.2. Task Model
3.3. Energy Model
- was the energy consumption when transmitting bits over a distance ,
- was the energy consumption when receiving bits,
- was the number of transmitted bits and derived from in the task model,
- was the distance between the two nodes and derived from the network model,
- was the constant required to power the transmitter or the receiver circuit, and
- was the coefficient related to the transmitter amplifier and equalled 100
3.4. Time Execution Metric
3.5. Renting Cost Metric
3.6. Optimisation Objective Functions
3.7. Transfer Function Model
3.8. Crowding Distance
| Algorithm 1. The algorithm for calculating crowd distance |
| Input Pareto front // set of non-dominated solutions Output CD // crowd distance Start N = size of Pareto front Sorted Pareto Front = sort(Pareto front) initiate CD of size N-2 with zeros for each solution in the Sorted Pareto Front find the distance from the previous objective find the distance from the next objective calculate the distance of the subject solution CD(i) as the summation of both the distance from the previous objective and the next objective endfor End |
3.9. Developed DAMP Model
| Algorithm 2. The algorithm for distance angle multi-objective particle swarm optimisation (DAMP). |
| Inputs f1,f2, …fm //set of objectives gmax //maximum number of generations sizeOfSwarm // size of solutions of swarm Vmax //maximum velocity Vmin //minimum velocity W,c1,c2 //interial, coefficient of moving toward best personal and coefficient of moving toward best global angleRes //angle resolution Output PF //pareto front gmax //maximum number of iterations Start Initialize swarm Evaluate(swarm,f1,f2, …fm) g = 0 While g < gmax newSwarm=[] eaders =Select(swarm) For each particle until sizeOfSwarm newParticle=Update Position (particle,leaders,w,c1,c2,Vmin,Vmax) particle=Mutation(particle) add particle to newSwarm EndFor Repository=Combine(swarm,newSwarm) Swarm=Select(Repository,angleRes) Evaluate(swarm,f1,f2, …fm) g++ EndWhile PF=ParetoFront(swarm) End |
| Algorithm 3. The algorithm for selecting N solutions out of 2N pool. |
| Input original swarm modified swarm N // sizeOfSwarm Output selectedSolutions Start poolSolutions=combine(original swarm,modified swarm ) SortedSolutions=nonDominatedSorting(poolSolutions) for each rank k lk=length(rank) cumulativeLength=0; if(cumulativeLength<N) add rank k to selectedSolutions cumulativeLength=cumulativeLength+lk else RemainingSolution=select(poolSolutions,N-cumulativeLength) add to selectedSolutions end End |
| Algorithm 4. The algorithm for selecting RS solutions out of a pool of non-dominated solutions using crowding distance and angle range rank. |
| Input poolSolutions //repository RS //remaining to reach the size of swarm foundSolutions selectedSolutions Output selectedSolutions Start center = generateCrowdCenter(foundSolutions) sortedSolutionsDistance=sortingDistance(poolSolutions,center) anglesRangesRank=generateAngleRangeRank(foundSolutions) sortedSolutionsAngles=sortingAngle(foundSolutions) for i = 1 until RS r = generateRandom(0,1) if (r < 0.5) add sortedSolutionsDistance(1) to selectedSolutions delete sortedSolutionsDistance(1) else add sortedSolutionsAngle(1) to selectedSolutions delete sortedSolutionsAngle(1) end end End |
3.10. Big O Notation
3.11. Evaluation
3.11.1. C-Metric Measure
3.11.2. Hyper-Volume Measure
3.11.3. Delta Measure
- and were the Euclidean distances between the extreme solutions and the boundary solution,
- was distances where i = 1, 2,…, N − 1,
- was the average of all the consecutive distances for i = 1, 2,…, N − 1.
| Algorithm 5. The algorithm for calculating the delta measure |
| Input d //Pareto front dT //True Pareto Front Output: Δ //Delta Measure Start Sort the Pareto set Calculate the Euclidean distance between consecutive solution and assign them to matrix M Calculate the average of matrix M Fit the curve of the true Pareto front and calculate the distance between the two extreme solutions calculate the distance between the two extreme solutions Apply equation and find Δ End |
3.11.4. Generational Distance (GD)
3.11.5. Number of Non-Dominated Solutions
3.11.6. Mathematical Benchmarking Functions
4. Evaluation and Results
4.1. Evaluation By Mathematical Functions
4.1.1. Set Coverage Analysis
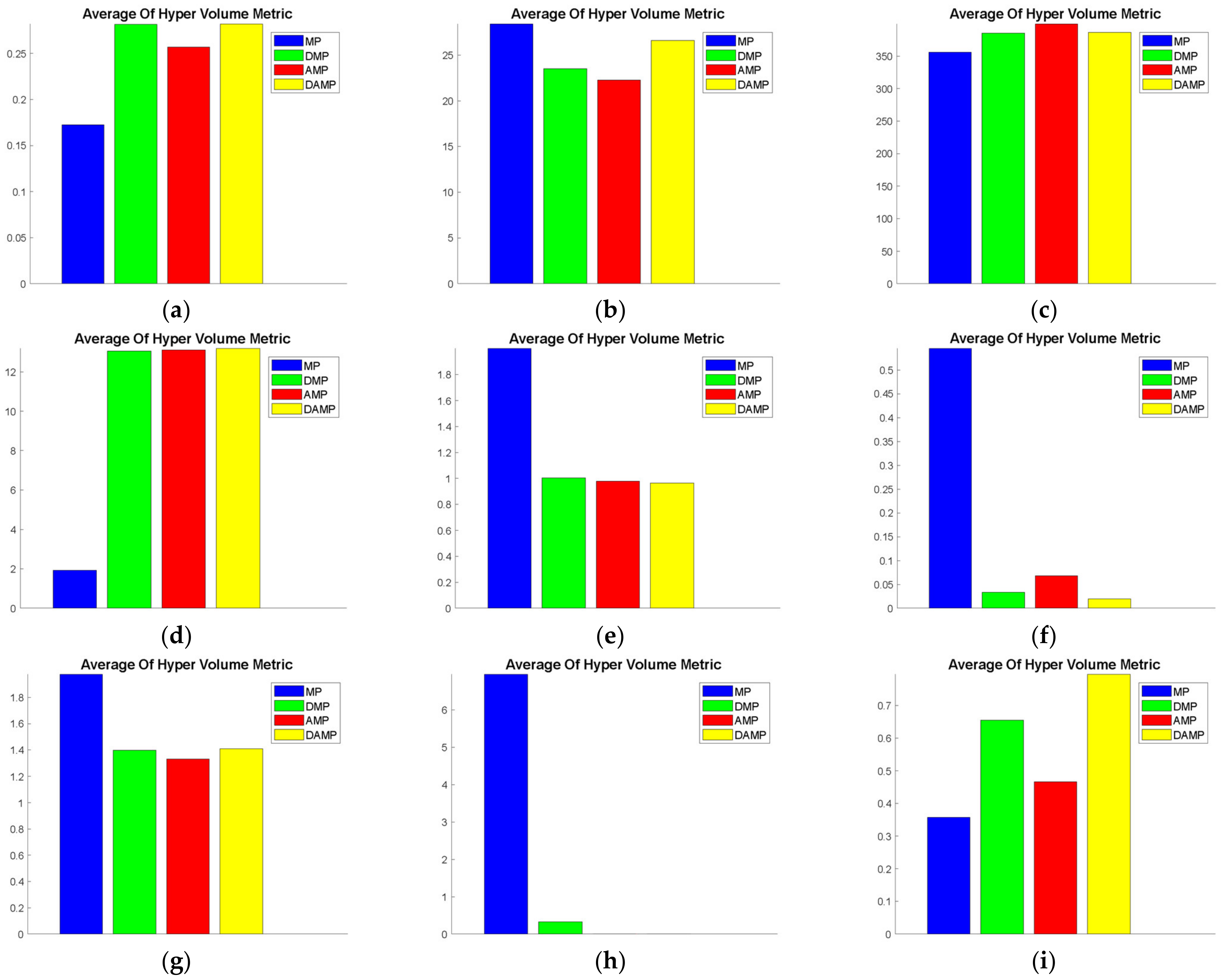
4.1.2. Hyper-Volume
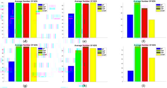
4.1.3. Number of Non-Dominated Solutions (NDS)
4.1.4. Delta Measure
4.1.5. Generational Distance
4.1.6. Statistical Evaluation
4.2. Evaluation Based on Load Balancing Model
4.2.1. Set Coverage
4.2.2. Hyper-Volume
4.2.3. Number of Non-Dominated Solutions
4.2.4. Relative Generational Distance
4.2.5. Statistical Evaluation
5. Conclusions and Future Considerations
Author Contributions
Funding
Acknowledgments
Conflicts of Interest
References
- Abdelaziz, A.; Fong, A.T.; Gani, A.; Garba, U.; Khan, S.; Akhunzada, A.; Talebian, H.; Choo, K.-K.R. Distributed controller clustering in software defined networks. PLoS ONE 2017, 12, e0174715. [Google Scholar] [CrossRef] [PubMed]
- Akbar Neghabi, A.; Jafari Navimipour, N.; Hosseinzadeh, M.; Rezaee, A. Nature-inspired meta-heuristic algorithms for solving the load balancing problem in the software-defined network. Int. J. Commun. Syst. 2019, 32, e3875. [Google Scholar] [CrossRef]
- Hatamlou, A. Black hole: A new heuristic optimization approach for data clustering. Inf. Sci. 2013, 222, 175–184. [Google Scholar] [CrossRef]
- Karagul, K.; Sahin, Y.; Aydemir, E.; Oral, A. A simulated annealing algorithm based solution method for a green vehicle routing problem with fuel consumption. In Lean and Green Supply Chain Management; Springer: Berlin/Heidelberg, Germany, 2019; pp. 161–187. [Google Scholar]
- Hancer, E.; Xue, B.; Zhang, M.; Karaboga, D.; Akay, B. Pareto front feature selection based on artificial bee colony optimization. Inf. Sci. 2018, 422, 462–479. [Google Scholar] [CrossRef]
- Wang, T.-H.; Wu, H.-C.; Meng, J.-H.; Yan, W.-M. Optimization of a double-layered microchannel heat sink with semi-porous-ribs by multi-objective genetic algorithm. Int. J. Heat Mass Transf. 2020, 149, 119217. [Google Scholar] [CrossRef]
- Deb, K.; Agrawal, S.; Pratap, A.; Meyarivan, T. A fast elitist non-dominated sorting genetic algorithm for multi-objective optimization: NSGA-II. In International Conference on Parallel Problem Solving from Nature; Springer: Berlin/Heidelberg, Germany, 2000; pp. 849–858. [Google Scholar]
- Mkaouer, W.; Kessentini, M.; Shaout, A.; Koligheu, P.; Bechikh, S.; Deb, K.; Ouni, A. Many-objective software remodularization using NSGA-III. ACM Trans. Softw. Eng. Methodol. 2015, 24, 1–45. [Google Scholar] [CrossRef]
- Coello, C.A.C.; Lechuga, M.S. MOPSO: A proposal for multiple objective particle swarm optimization. In Proceedings of the 2002 Congress on Evolutionary Computation. CEC’02 (Cat. No.02TH8600), Honolulu, HI, USA, 12–17 May 2002; Volume 2, pp. 1051–1056. [Google Scholar]
- Coello, C.A.C.; Pulido, G.T.; Lechuga, M.S. Handling multiple objectives with particle swarm optimization. IEEE Trans. Evol. Comput. 2004, 8, 256–279. [Google Scholar] [CrossRef]
- Sierra, M.R.; Coello, C.A.C. Improving PSO-based multi-objective optimization using crowding, mutation and∈-dominance. In International Conference on Evolutionary Multi-Criterion Optimization; Springer: Berlin/Heidelberg, Germany, 2005; pp. 505–519. [Google Scholar]
- Deb, K.; Pratap, A.; Agarwal, S.; Meyarivan, T. A fast and elitist multiobjective genetic algorithm: NSGA-II. IEEE Trans. Evol. Comput. 2002, 6, 182–197. [Google Scholar] [CrossRef]
- Metiaf, A.; Wu, Q.; Aljeroudi, Y. Searching With Direction Awareness: Multi-Objective Genetic Algorithm Based on Angle Quantization and Crowding Distance MOGA-AQCD. IEEE Access 2019, 7, 10196–10207. [Google Scholar] [CrossRef]
- Khan, S.; Gani, A.; Wahab, A.W.A.; Abdelaziz, A.; Ko, K.; Khan, M.K.; Guizani, M. Software-defined network forensics: Motivation, potential locations, requirements, and challenges. IEEE Netw. 2016, 30, 6–13. [Google Scholar] [CrossRef]
- Hamdan, M.; Hassan, E.; Abdelaziz, A.; Elhigazi, A.; Mohammed, B.; Khan, S.; Vasilakos, A.V.; Marsono, M.N. A comprehensive survey of load balancing techniques in software-defined network. J. Netw. Comput. Appl. 2020, 174, 102856. [Google Scholar] [CrossRef]
- Chai, R.; Xie, D.; Luo, L.; Chen, Q.; Member, S. Multi-Objective Optimization-Based Virtual Network Embedding Algorithm for Software-Defined Networking. IEEE Trans. Netw. Serv. Manag. 2019. [Google Scholar] [CrossRef]
- Ateya, A.A.; Muthanna, A.; Vybornova, A.; Algarni, A.D.; Abuarqoub, A.; Koucheryavy, Y.; Koucheryavy, A. Chaotic salp swarm algorithm for SDN multi-controller networks. Eng. Sci. Technol. Int. J. 2019, 22, 1001–1012. [Google Scholar] [CrossRef]
- Bao, N.; Zuo, J.; Zhu, H.; Bao, X. Multi-objective Optimization for SDN Based Resource Selection. In Proceedings of the 2018 IEEE 18th International Conference on Communication Technology (ICCT), Chongqing, China, 8–11 October 2018; pp. 811–816. [Google Scholar]
- Tahaei, H.; Salleh, R.; Khan, S.; Izard, R.; Choo, K.-K.R.; Anuar, N.B. A multi-objective software defined network traffic measurement. Measurement 2017, 95, 317–327. [Google Scholar] [CrossRef]
- Hamdan, M.; Mohammed, B.; Humayun, U.; Abdelaziz, A.; Khan, S.; Ali, M.A.; Imran, M.; Marsono, M.N. Flow-Aware Elephant Flow Detection for Software-Defined Networks. IEEE Access 2020, 8, 72585–72597. [Google Scholar] [CrossRef]
- Xue, H.; Kim, K.T.; Youn, H.Y. Dynamic Load Balancing of Software-Defined Networking Based on Genetic-Ant Colony Optimization. Sensors 2019, 19, 311. [Google Scholar] [CrossRef]
- Jamali, S.; Badirzadeh, A.; Siapoush, M.S. On the use of the genetic programming for balanced load distribution in software-defined networks. Digit. Commun. Netw. 2019, 5, 288–296. [Google Scholar] [CrossRef]
- Kaur, A.; Kaur, B.; Singh, D. Meta-heuristic based framework for workflow load balancing in cloud environment. Int. J. Inf. Technol. 2019, 11, 119–125. [Google Scholar] [CrossRef]
- Zhu, R.; Wang, H.; Gao, Y.; Yi, S.; Zhu, F. Energy saving and load balancing for SDN based on multi-objective particle swarm optimization. In International Conference on Algorithms and Architectures for Parallel Processing; Springer: Cham, Switzerland, 2015; pp. 176–189. [Google Scholar]
- Li, D.; Li, K.; Liang, J.; Ouyang, A. A hybrid particle swarm optimization algorithm for load balancing of MDS on heterogeneous computing systems. Neurocomputing 2019, 330, 380–393. [Google Scholar] [CrossRef]
- Yu, H.; Wang, Y.; Xiao, S. Multi-objective particle swarm optimization based on cooperative hybrid strategy. Appl. Intell. 2020, 50, 256–269. [Google Scholar] [CrossRef]
- Rahimi, S.; Abdollahpouri, A.; Moradi, P. A multi-objective particle swarm optimization algorithm for community detection in complex networks. Swarm Evol. Comput. 2018, 39, 297–309. [Google Scholar] [CrossRef]
- Rashed, A.B.; Hamdan, H.; Sharef, N.M.; Sulaiman, M.N.; Yaakob, R.; Abubakar, M. Multi-objective clustering algorithm using particle swarm optimization with crowding distance (MCPSO-CD). Int. J. Adv. Intell. Informat. 2020, 6, 72–81. [Google Scholar] [CrossRef]
- Zitzler, E.; Thiele, L.; Laumanns, M.; Fonseca, C.M.; Da Fonseca, V.G. Performance assessment of multiobjective optimizers: An analysis and review. IEEE Trans. Evol. Comput. 2003, 7, 117–132. [Google Scholar] [CrossRef]
- Wei, L.-X.; Li, X.; Fan, R.; Sun, H.; Hu, Z.-Y. A hybrid multiobjective particle swarm optimization algorithm based on R2 indicator. IEEE Access 2018, 6, 14710–14721. [Google Scholar] [CrossRef]
- Li, X.; Li, X.-L.; Wang, K.; Li, Y. A Multi-Objective Particle Swarm Optimization Algorithm Based on Enhanced Selection. IEEE Access 2019, 7, 168091–168103. [Google Scholar] [CrossRef]
- Luo, J.; Huang, X.; Yang, Y.; Li, X.; Wang, Z.; Feng, J. A many-objective particle swarm optimizer based on indicator and direction vectors for many-objective optimization. Inf. Sci. 2020, 514, 166–202. [Google Scholar] [CrossRef]
- Jiang, S.; Yang, S. A strength Pareto evolutionary algorithm based on reference direction for multiobjective and many-objective optimization. IEEE Trans. Evol. Comput. 2017, 21, 329–346. [Google Scholar] [CrossRef]
- Feng, Q.; Li, Q.; Chen, P.; Wang, H.; Xue, Z.; Yin, L.; Ge, C. Multiobjective Particle Swarm Optimization Algorithm Based on Adaptive Angle Division. IEEE Access 2019, 7, 87916–87930. [Google Scholar] [CrossRef]
- Peng, G.; Fang, Y.-W.; Peng, W.-S.; Chai, D.; Xu, Y. Multi-objective particle optimization algorithm based on sharing--learning and dynamic crowding distance. Optik 2016, 127, 5013–5020. [Google Scholar] [CrossRef]
- Mishra, K.K.; Bisht, H.; Singh, T.; Chang, V. A direction aware particle swarm optimization with sensitive swarm leader. Big Data Res. 2018, 14, 57–67. [Google Scholar] [CrossRef]
- Mokarram, V.; Banan, M.R. A new PSO-based algorithm for multi-objective optimization with continuous and discrete design variables. Struct. Multidiscip. Optim. 2018, 57, 509–533. [Google Scholar] [CrossRef]
- Fan, Z.; Wang, T.; Cheng, Z.; Li, G.; Gu, F. An Improved Multiobjective Particle Swarm Optimization Algorithm Using Minimum Distance of Point to Line. Shock Vib. 2017, 2017, 16. [Google Scholar] [CrossRef]
- Zhang, W.; Li, G.; Zhang, W.; Liang, J.; Yen, G.G. A cluster based PSO with leader updating mechanism and ring-topology for multimodal multi-objective optimization. Swarm Evol. Comput. 2019, 50, 100569. [Google Scholar] [CrossRef]
- Sedarous, S.; El-Gokhy, S.M.; Sallam, E. Multi-swarm multi-objective optimization based on a hybrid strategy. Alexandria Eng. J. 2018, 57, 1619–1629. [Google Scholar] [CrossRef]
- Pan, A.; Wang, L.; Guo, W.; Wu, Q. A diversity enhanced multiobjective particle swarm optimization. Inf. Sci. (Ny) 2018, 436, 441–465. [Google Scholar] [CrossRef]
- Pires, E.J.S.; Machado, J.A.T.; de Moura Oliveira, P.B. Entropy diversity in multi-objective particle swarm optimization. Entropy 2013, 15, 5475–5491. [Google Scholar] [CrossRef]
- Sun, Y.; Gao, Y.; Shi, X. Chaotic multi-objective particle swarm optimization algorithm incorporating clone immunity. Mathematics 2019, 7, 146. [Google Scholar] [CrossRef]
- Niu, P.; Ma, Y.; Li, M.; Yan, S.; Li, G. A kind of parameters self-adjusting extreme learning machine. Neural Process. Lett. 2016, 44, 813–830. [Google Scholar] [CrossRef]
- Zitzler, E.; Thiele, L. Multiobjective evolutionary algorithms: A comparative case study and the strength Pareto approach. IEEE Trans. Evol. Comput. 1999, 3, 257–271. [Google Scholar] [CrossRef]
- Marques, I.; Captivo, M.E.; Barros, N. Optimizing the master surgery schedule in a private hospital. Oper. Res. Heal. Care 2019, 20, 11–24. [Google Scholar] [CrossRef]
- Türkyılmaz, A.; Şenvar, Ö.; Ünal, İ. A research survey: Heuristic approaches for solving multi objective flexible job shop problems. J. Intell. Manuf. 2020, 31, 1949–1983. [Google Scholar] [CrossRef]
- Liang, J.J.; Suganthan, P.N. Dynamic multi-swarm particle swarm optimizer with a novel constraint-handling mechanism. In Proceedings of the 2006 IEEE International Conference on Evolutionary Computation, Vancouver, BC, Canada, 16–21 July 2006; pp. 9–16. [Google Scholar]




















| Authors | Meta-Heuristic | Application | Network Load | Reliability | Energy | Cost | Execution Time |
|---|---|---|---|---|---|---|---|
| [16] | Discrete Particle swarm optimization Algorithm | Virtual Network Embedding Algorithm for SDN | Yes | Yes | No | No | No |
| [17] | Chaotic Slap Optimization | Distributed Multi-Controller Deployment | No | Yes | No | No | Yes |
| [18] | The Reference Vector Based Algorithm | SDN Based Resource Selection | No | No | Yes | Yes | No |
| [21] | Genetic-Ant Colony Optimization | Traffic Load Balancing. | Yes | No | Yes | No | No |
| [22] | Genetic Optimization | Load Balancing | Yes | No | Yes | No | No |
| [23] | Bat Algorithm | SDN Based Load Balancing | Yes | No | No | No | No |
| [24] | Multi-Objective Particle Swarm Optimization Algorithm | SDN Based Load Balancing | Yes | No | Yes | No | No |
| Ours | DAMP/AMP | SDN Based Load Balancing | Yes | Yes | Yes | Yes | Yes |
| Symbol | Meaning |
|---|---|
| Set of nodes of network | |
| Set of connections or edges between nodes | |
| Connection between node and node | |
| Node of index | |
| Distance between node and node | |
| Speed of node | |
| Average energy consumption | |
| Initial energy of node | |
| Maximum computational load that can be handled by one node | |
| Maximum communication load that can be handled by one node | |
| Computational load of task | |
| Communication load of task | |
| K | The number of nodes required to execute the task |
| Set of tasks | |
| Set of directions of tasks dependency | |
| Computation energy | |
| Energy consumption for transmitting k bits for distance d | |
| Energy consumption for receiving k bits | |
| Constant to run the transmitter or receiver circuit | |
| coefficient related to the transmitter amplifier | |
| Distance between transmitter and receiver | |
| w | inertia |
| Maximum velocity of particle | |
| Minimum velocity of particle | |
| C1 | Constant of local target or leader |
| C2 | Constant of global target or leader |
| RS | remaining solutions to be selected from the swarm |
| Problem | Variables Bounds | Objectives functions | Optimal Solutions | Comments | |
|---|---|---|---|---|---|
| FON | 3 | [−4, 4] | Non-convex | ||
| KUR | 3 | [−5, 5] | Refer to [12] | Non-convex | |
| POL | 2 | [] | Refer to [12] | Non-convex, Disconnected | |
| SCH | 1 | [− | Convex | ||
| ZDT1 | 30 | [0, 1] | Convex | ||
| ZDT2 | 30 | [0, 1] | Non-convex | ||
| ZDT3 | 30 | [0, 1] | Convex, Disconnected | ||
| ZDT4 | 10 | , | Non-convex | ||
| ZDT6 | 10 | [0, 1] | , | Convex,Non-uniformly Spaced |
| Parameter Name | Value |
|---|---|
| numberOfParticles | 50 |
| numberOfIterations | 100 |
| c1 | 1/3 |
| c2 | 2/3 |
| nRep | 100 |
| w | 0.5 |
| 0.1 | |
| 0.001 |
| Function Test | T-Test | Measure | |||
|---|---|---|---|---|---|
| Delta | Hyper volume | NDS | GD | ||
| FON | DAMP/AMP | 0.315850996 | 0.307418865 | 0.58492454 | 0.622265942 |
| DAMP/DMP | 0.719826015 | 0.995765743 | 0.49363686 | 0.652045003 | |
| DAMP/MP | 5.0242 × 10−5 | 0.000207451 | 7.39 × 10−5 | 0.049132833 | |
| KU | DAMP/AMP | 0.316571234 | 0.136064963 | 0.54369604 | 0.573461561 |
| DAMP/DMP | 0.012042727 | 0.269537335 | 0.51557762 | 0.396190518 | |
| DAMP/MP | 0.90710705 | 0.80889372 | 7.7633 × 10−7 | 0.002574095 | |
| POL | DAMP/AMP | 0.164387112 | 0.209533066 | 0.07679627 | 0.302064115 |
| DAMP/DMP | 0.351181697 | 0.871518999 | 2.89 × 10−2 | 0.393267196 | |
| DAMP/MP | 0.351181697 | 0.871518999 | 0.0206565 | 0.593382272 | |
| SCH | DAMP/AMP | 0.304664635 | 0.383026813 | 0.60095345 | 0.533349004 |
| DAMP/DMP | 0.480290477 | 0.06290748 | 0.351256638 | 0.085563604 | |
| DAMP/MP | 0.001485655 | 1.4044 × 10−5 | 0.05283945 | 0.142239574 | |
| ZDT1 | DAMP/AMP | 0.142123082 | 0.904186015 | 0.05720644 | 0.636188124 |
| DAMP/DMP | 0.001343439 | 0.740246281 | 0.26176837 | 0.209288404 | |
| DAMP/MP | 0.016179938 | 0.000552411 | 0.26176837 | 0.209288404 | |
| ZDT2 | DAMP/AMP | 0.096184093 | 0.123852474 | 0.19186711 | 0.575465083 |
| DAMP/DMP | 0.350353147 | 0.52239308 | 0.0815855 | 0.1455833 | |
| DAMP/MP | 0.041056651 | 0.52239308 | 0.616373095 | 0.691184369 | |
| ZDT3 | DAMP/AMP | 0.728433661 | 0.751269882 | 0.14275619 | 0.872306061 |
| DAMP/DMP | 0.000428487 | 0.948368027 | 0.106679999 | 0.206603271 | |
| DAMP/MP | 0.592841876 | 0.948368027 | 1.8854 × 10−6 | 3.31535 × 10−5 | |
| ZDT4 | DAMP/AMP | 0.939868234 | 0.906971038 | 0.92851591 | 0.178865555 |
| DAMP/DMP | 0.013632197 | 0.341959448 | 0.81800295 | 0.140962795 | |
| DAMP/MP | 0.013632197 | 0.000838889 | 0.04702054 | 8.29888 × 10−7 | |
| ZDT6 | DAMP/AMP | 0.534051523 | 0.06054342 | 0.09434971 | 0.058047202 |
| DAMP/DMP | 0.224179011 | 0.749439813 | 0.051886 | 0.099316485 | |
| DAMP/MP | 0.224179011 | 0.005584877 | 0.00128414 | 1.34771 × 10−5 | |
| Parameter Name | Value |
|---|---|
| number of nodes | 6 |
| number of tasks | 30 |
| transmission range | 100 |
| speed | 30 until 100 IPS |
| power consumption | 4 until 10 mW |
| initial energy | 2 |
| Eelc | 50 × 10−6 [mj/b] |
| epsilonAmp | 10 × 10−9 mJ/b/m2 |
| 40 MIPS | |
| 50 Byte |
Publisher’s Note: MDPI stays neutral with regard to jurisdictional claims in published maps and institutional affiliations. |
© 2021 by the authors. Licensee MDPI, Basel, Switzerland. This article is an open access article distributed under the terms and conditions of the Creative Commons Attribution (CC BY) license (https://creativecommons.org/licenses/by/4.0/).
Share and Cite
Albowarab, M.H.; Zakaria, N.A.; Zainal Abidin, Z. Directionally-Enhanced Binary Multi-Objective Particle Swarm Optimisation for Load Balancing in Software Defined Networks. Sensors 2021, 21, 3356. https://doi.org/10.3390/s21103356
Albowarab MH, Zakaria NA, Zainal Abidin Z. Directionally-Enhanced Binary Multi-Objective Particle Swarm Optimisation for Load Balancing in Software Defined Networks. Sensors. 2021; 21(10):3356. https://doi.org/10.3390/s21103356
Chicago/Turabian StyleAlbowarab, Mustafa Hasan, Nurul Azma Zakaria, and Zaheera Zainal Abidin. 2021. "Directionally-Enhanced Binary Multi-Objective Particle Swarm Optimisation for Load Balancing in Software Defined Networks" Sensors 21, no. 10: 3356. https://doi.org/10.3390/s21103356
APA StyleAlbowarab, M. H., Zakaria, N. A., & Zainal Abidin, Z. (2021). Directionally-Enhanced Binary Multi-Objective Particle Swarm Optimisation for Load Balancing in Software Defined Networks. Sensors, 21(10), 3356. https://doi.org/10.3390/s21103356

