Driver Identification System Using Normalized Electrocardiogram Based on Adaptive Threshold Filter for Intelligent Vehicles
Abstract
1. Introduction
2. Biometrics Technique Using ECG Signal for Intelligent Vehicle
2.1. Driver Status Recognition Technologies Using ECG Signal in Vehicle
2.2. User Identification Using ECG Signal for Real Enviroment
2.3. Driver Identification Using ECG Signal in Vehicle
3. Driver Identification System Using Adaptive Filter-Based Normalization Method
3.1. Driver Identification System
3.2. Normalization Based on Adaptive Filter
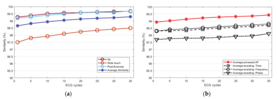
4. Experiment Results
5. Conclusions
Author Contributions
Funding
Conflicts of Interest
References
- Chen, Y.; Yin, J. Design of electroencephalogram authentication access control to smart car. Healthc. Technol. Lett. 2020, 7, 109–113. [Google Scholar] [CrossRef] [PubMed]
- Kula, I.; Atkinson, R.K.; Roscoe, R.D.; Branaghan, R.J. A biometric usability evaluation of instrument cluster and infotainment systems in two hybrid cars. In Proceedings of the 2017 IEEE SmartWorld, Ubiquitous Intelligence and Computing, Advanced and Trusted Computed, Scalable Computing and Communications, Cloud and Big Data Computing, Internet of People and Smart City Innovation, San Francisco, CA, USA, 4–8 August 2017; pp. 1–6. [Google Scholar]
- Gupte, M.S.; Askhedkar, A.R. An innovative wireless design for a car infotainment system. In Proceedings of the 2018 Second International Conference on Intelligent Computing and Control Systems (ICICCS), Madurai, India, 14–15 June 2018; pp. 1751–1754. [Google Scholar]
- Kazmi, S.A.; Dang, T.N.; Yaqoob, I.; Ndikumana, A.; Ahmed, E.; Hussain, R.; Hong, C.S. Infotainment enabled smart cars: A joint communication, Caching, And Computation Approach. IEEE Trans. Veh. Technol. 2019, 68, 8408–8420. [Google Scholar] [CrossRef]
- Xun, Y.; Liu, J.; Kato, N.; Fang, Y.; Zhang, Y. Automobile driver fingerprinting: A new machine learning based authentication scheme. IEEE Trans. Ind. Inform. 2019, 16, 1417–1426. [Google Scholar] [CrossRef]
- Sarala, S.M.; Yadav, D.S.; Ansari, A. Emotionally adaptive driver voice alert system for advanced driver assistance system (ADAS) applications. In Proceedings of the 2018 International Conference on Smart Systems and Inventive Technology (ICSSIT), Tirunelveli, India, 13–14 December 2018; pp. 509–512. [Google Scholar]
- Verma, B.; Choudhary, A. A framework for driver emotion recognition using deep learning and grassmann manifolds. In Proceedings of the 2018 21st International Conference on Intelligent Transportation Systems (ITSC), Maui, HI, USA, 4–7 November 2018; pp. 1421–1426. [Google Scholar]
- Choi, J. K; Kim, K.; Kim, D.; Choi, H.; Jang, B. Driver-adaptive vehicle interaction system for the advanced digital cockpit. In Proceedings of the 20th International Conference on Advanced Communication Technology (ICACT), Chuncheon-si Gangwon-do, Korea, 11–14 February 2018; pp. 307–310. [Google Scholar]
- Shojaeilangari, S.; Yau, W.Y.; Nandakumar, K.; Li, J.; Teoh, E.K. Robust representation and recognition of facial emotions using extreme sparse learning. IEEE Trans. Image Proces. 2015, 24, 2140–2152. [Google Scholar] [CrossRef] [PubMed]
- Kim, K.M.; Choi, J.I. Passengers’ gesture recognition model in self-driving vehicles: Gesture recognition model of the passengers’ obstruction of the vision of the driver. In Proceedings of the IEEE 4th International Conference on Computer and Communication Systems (ICCCS), Singapore, 23–25 February 2019; pp. 239–242. [Google Scholar]
- He, J.; Chen, J.; Liu, J.; Li, H. A lightweight architecture for driver status monitoring via convolutional neural networks. In Proceedings of the IEEE International Conference on Robotics and Biomimetics (ROBIO), Dali, China, 6–8 December 2019; pp. 388–394. [Google Scholar]
- Song, T.; Cheng, X.; Li, H.; Yu, J.; Wang, S.; Bie, R. Detecting driver phone calls in a moving vehicle based on voice features. In Proceedings of the 35th Annual IEEE International Conference on Computer Communications, San Francisco, CA, USA, 10–14 April 2016; pp. 1–9. [Google Scholar]
- Xing, Y.; Lv, C.; Zhang, Z.; Wang, H.; Na, X.; Cao, D.; Wang, F.Y. Identification and analysis of driver postures for in-vehicle driving activities and secondary tasks recognition. IEEE Trans. Comput. Soc. Syst. 2017, 5, 95–108. [Google Scholar] [CrossRef]
- Xiao, Q. Technology review-biometrics-technology, application, challenge, and computational intelligence solutions. IEEE Comput. Intell. Mag. 2017, 2, 5–25. [Google Scholar] [CrossRef]
- Dantcheva, A.; Elia, P.; Ross, A. What else does your biometric data reveal? a survey on soft biometrics. IEEE Trans. Inf. Forensics Secur. 2015, 11, 441–467. [Google Scholar] [CrossRef]
- Nazmy, T.M.; El-Messiry, H.; Al-Bokhity, B. Adaptive neuro-fuzzy inference system for classification of ECG signals. In Proceedings of the 7th International Conference on Informatics and Systems (INFOS), Cairo, Egypt, 28–30 March 2010; pp. 1–6. [Google Scholar]
- Kim, J.S.; Kim, S.H.; Pan, S.B. Personal recognition using convolutional neural network with ECG coupling image. J. Ambient. Intell. Humaniz. Comput. 2019, 11, 1–10. [Google Scholar] [CrossRef]
- Choi, G.H.; Bak, E.S.; Pan, S.B. User identification system using 2d resized spectrogram features of ECG. IEEE Access 2019, 7, 34862–34893. [Google Scholar] [CrossRef]
- Kim, M.G.; Pan, S.B. Deep learning based on 1-d ensemble networks using ECG for real-time user recognition. IEEE Trans. Ind. Inform. 2019, 15, 5656–5668. [Google Scholar] [CrossRef]
- Das, R.; Maiorana, E.; Campisi, P. EEG biometrics using visual stimuli: A longitudinal study. IEEE Sign. Proc. Lett. 2016, 23, 341–345. [Google Scholar] [CrossRef]
- Wahabi, S.; Pouryayevali, S.; Hatzinakos, D. Posture-invariant electrocardiogram recognition with posture detection. In Proceedings of the IEEE International Conference on Acoustics, Speech and Signal Processing (ICASSP), Brisbane, QLD, Australia, 19–24 April 2015; pp. 1812–1816. [Google Scholar]
- Marczewska, M.; Kostrzewski, M. Sustainable business models: A bibliometric performance analysis. Energies 2020, 13, 6062. [Google Scholar] [CrossRef]
- Bär, L.; Ossewaarde, M.; van Gerven, M. The ideological justifications of the smart city of Hamburg. Cities 2020, 105, 102811. [Google Scholar] [CrossRef]
- Eldijk, J.; Gil, J.; Kuska, N.; Patro, R. Missing links—Quantifying barrier effects of transport infrastructure on local accessibility. Transp. Res. Part D Transp. Environ. 2020, 85, 102410. [Google Scholar] [CrossRef]
- Sihem, N.I.T.A.; Bitam, S.; Mellouk, A. A body area network for ubiquitous driver stress monitoring based on ECG signal. In Proceedings of the International Conference on Wireless and Mobile Computing, Networking and Communications (WiMob), Barcelona, Spain, 21–23 October 2019; pp. 1–6. [Google Scholar]
- Munla, N.; Khalil, M.; Shahin, A.; Mourad, A. Driver stress level detection using HRV analysis. In Proceedings of the International Conference on Advances in Biomedical Engineering (ICABME), Beirut, Lebanon, 16–18 September 2015; pp. 61–64. [Google Scholar]
- Wang, L.; Li, J.; Wang, Y. Modeling and recognition of driving fatigue state based on RR intervals of ECG data. IEEE Access 2019, 7, 175584–175593. [Google Scholar] [CrossRef]
- Shiwu, L.; Linhong, W.; Zhifa, Y.; Bingkui, J.; Feiyan, Q.; Zhongkai, Y. An active driver fatigue identification technique using multiple physiological features. In Proceedings of the International Conference on Mechatronic Science, Electric Engineering and Computer (MEC), Jilin, China, 19–22 August 2011; pp. 733–737. [Google Scholar]
- Miyaji, M.; Kawanaka, H.; Oguri, K. Effect of pattern recognition features on detection for driver’s cognitive distraction. In Proceedings of the 13th International IEEE Conference on Intelligent Transportation Systems, Funchal, Portugal, 19–22 September 2010; pp. 605–610. [Google Scholar]
- Miyaji, M.; Kawanaka, H.; Oguri, K. Study on effect of adding pupil diameter as recognition features for driver’s cognitive distraction detection. In Proceedings of the 7th International Symposium on Communication Systems, Networks & Digital Signal Processing (CSNDSP 2010), Newcastle upon Tyne, UK, 21–23 July 2010; pp. 406–411. [Google Scholar]
- Singh, R.K.; Sarkar, A.; Anoop, C.S. A health monitoring system using multiple non-contact ECG sensors for automotive drivers. In Proceedings of the IEEE International Instrumentation and Measurement Technology Conference Proceedings, Taipei, Taiwan, 23–26 May 2016; pp. 1–6. [Google Scholar]
- Wang, X.; Guo, Y.; Ban, J.; Xu, Q.; Bai, C.; Liu, S. Driver emotion recognition of multiple-ECG feature fusion based on bp network and d–s evidence. IET Intell. Transp. Syst. 2020, 14, 815–824. [Google Scholar] [CrossRef]
- Goldberger, A.L.; Goldberger, Z.D.; Shvilkin, A. Clinical Electrocardiography: A Simplified Approach; Elsevier Health Sciences: Amsterdam, The Netherlands, 2017. [Google Scholar]
- Molina, G.G.; Bruekers, F.; Presura, C.; Damstra, M.; Van-der-veen, M. Morphological synthesis of ecg signals for person authentication. In Proceedings of the 15th European Signal Processing Conference, Poznan, Poland, 3–7 September 2007; pp. 738–742. [Google Scholar]
- Choi, H.S.; Lee, B.; Yoon, S. Biometric authentication using noisy electrocardiograms acquired by mobile sensors. IEEE Access 2016, 4, 1266–1273. [Google Scholar] [CrossRef]
- Kang, S.J.; Lee, S.Y.; Cho, H.I.; Park, H. ECG authentication system design based on signal analysis in mobile and wearable devices. IEEE Sign. Proc. Lett. 2016, 23, 805–808. [Google Scholar] [CrossRef]
- Chun, S.Y.; Kang, J.H.; Kim, H.; Lee, C.; Oakley, I.; Kim, S.P. ECG based user authentication for wearable devices using short time fourier transform. In Proceedings of the 39th International Conference on Telecommunications and Signal Processing (TSP), Vienna, Austria, 27–29 June 2016; pp. 656–659. [Google Scholar]
- Arteaga-Falconi, J.S.; Al Osman, H.; El Saddik, A. ECG authentication for mobile Devices. IEEE Trans. Instrum. Meas. 2016, 65, 591–600. [Google Scholar] [CrossRef]
- Sung, D.; Kim, J.; Koh, M.; Park, K. ECG authentication in post-exercise situation. In Proceedings of the 39th Annual International Conference of the IEEE Engineering in Medicine and Biology Society (EMBC), Seogwipo, Korea, 11–15 July 2017; pp. 446–449. [Google Scholar]
- Peris-Lopez, P.; González-Manzano, L.; Camara, C.; de Fuentes, J.M. Effect of attacker characterization in ECG-based continuous authentication mechanisms for internet of things. Future Gener. Comput. Syst. 2018, 81, 67–77. [Google Scholar] [CrossRef]
- Barros, A.; Rosário, D.; Resque, P.; Cerqueira, E. Heart of IoT: ECG as biometric sign for authentication and identification. In Proceedings of the 15th International Wireless Communications & Mobile Computing Conference (IWCMC), Tangier, Morocco, 24–28 June 2019; pp. 307–312. [Google Scholar]
- Rettore, P.H.; Campolina, A.B.; Souza, A.; Maia, G.; Villas, L.A.; Loureiro, A. Driver authentication in vanets based on intra-vehicular sensor data. In Proceedings of the IEEE Symposium on Computers and Communications (ISCC), Natal, Brazil, 25–28 June 2018; pp. 78–83. [Google Scholar]
- Rahim, M.A.; Zhu, L.; Li, X.; Liu, J.; Zhang, Z.; Qin, Z.; Gai, K. Zero-to-stable driver identification: A non-intrusive and scalable driver identification scheme. IEEE Trans. Vehic. Techn. 2019, 69, 163–171. [Google Scholar] [CrossRef]
- Roeschlin, M.; Vaas, C.; Rasmussen, K.B.; Martinovic, I. Bionyms: Driver-centric message authentication using biometric measurements. In Proceedings of the IEEE Vehicular Networking Conference (VNC), Taipei, Taiwan, 5–7 December 2018; pp. 1–8. [Google Scholar]
- Silva, H.; Lourenço, A.; Fred, A. In-vehicle driver recognition based on hand ECG signals. In Proceedings of the ACM International Conference on Intelligent User Interface, Lisbon, Portugal, 14–17 February 2012; pp. 25–28. [Google Scholar]
- Santos, A.; Medeiros, I.; Resque, P.; Rosário, D.; Nogueira, M.; Santos, A.; Chowdhury, K.R. ECG-based User authentication and identification method on vanets. In Proceedings of the 10th Latin America Networking Conference, São Paulo Brazil, 3–4 October 2018; pp. 11–122. [Google Scholar]
- Pinto, J.R.; Cardoso, J.S.; Lourenço, A.; Carreiras, C. Towards a continuous biometric system based on ECG signals acquired on the steering wheel. Sensors 2017, 17, 2228. [Google Scholar] [CrossRef] [PubMed]
- Nobunaga, T.; Tanaka, H.; Tanahashi, I.; Watanabe, T.; Hattori, Y. Optimised band-pass filter to ensure accurate ECG-based identification of exercising human subjects. Electron. Lett. 2017, 53, 222–224. [Google Scholar] [CrossRef]
- Lin, S.L.; Chen, C.K.; Lin, C.L.; Yang, W.C.; Chiang, C.T. Individual identification based on chaotic electrocardiogram signals during muscular exercise. IET Biom. 2014, 3, 257–266. [Google Scholar] [CrossRef]
- Pan, J.; Tompkins, W.J. A real time qrs detection algorithm. IEEE Trans. Biomed. Eng. 1985, 32, 230–236. [Google Scholar] [CrossRef] [PubMed]
- Choi, G.H.; Jung, J.H.; Moon, H.M.; Kim, Y.T.; Pan, S.B. User authentication system based on baseline-corrected ECG for biometrics. Intell. Autom. Soft Comput. 2019, 25, 193–204. [Google Scholar] [CrossRef]
- Rehman, A.; Saqib, N.A.; Danial, S.M.; Ahmed, S.H. ECG based authentication for remote patient monitoring in IoT by wavelets and template matching. In Proceedings of the 8th IEEE International Conference on Software Engineering and Service Science (ICSESS), Beijing, China, 24–26 April 2014; pp. 91–94. [Google Scholar]














| Device | Status, Signal | Feature Analysis | Performance | Ref. | 
|---|---|---|---|---|
| Mobile sensor (CardioChip) | Static, ECG lead-I | Morphological features | Accuracy 95.4% | [35] | 
| Wearable sensor (Arm Cortex) | Slow walking, ECG lead-I | CC | FAR 5.2% | [36] | 
| Wearable sensor (Nymi band) | Static, ECG lead-I | STFT | EER 2.2% | [37] | 
| Mobile sensor (AliveCore) | Static, ECG lead-I | Morphological features | Accuracy 84.93% | [38] | 
| Sensor (MP-150) | Post-exercise, ECG lead-I | 1st and 2nd derivation | Accuracy 96.55% | [39] | 
| ECG Acquisition Location | Status | Normalization | Performance | Reference | 
|---|---|---|---|---|
| Steering wheel | Driving | Cross Correlation | 94% | [47] | 
| Chest | Post-exercising | Optimized Band Pass Filter | 100% | [48] | 
| Metal rod electrode | Exercising | Phase | 87% | [49] | 
| Subjects | Average Voltage (Location) | ||||
|---|---|---|---|---|---|
| P Peak | Q Peak | R Peak | S Peak | T Peak | |
| 18 | () | () | () | () | () | 
| Times | ECG Acquisition Environment | ||
|---|---|---|---|
| Sit | Slide Touch | Post-Exercise | |
| 1 | 60 sec | 10 times | 180 sec | 
| 2–3 days break | |||
| 2 | 60 sec | 10 times | 180 sec | 
| 2–3 days break | |||
| 3 | 60 sec | 10 times | 180 sec | 
| 1-Layer | 2-Layer | 3-Layer | 
|---|---|---|
| In put layer (m, n) | ||
| LSTM(n) | LSTM(n) | LSTM(n) | 
| - | LSTM(n/2) | LSTM(n/2) | 
| - | - | LSTM(n/3) | 
| Fully Connected Layer (400), Dropout = 0.5 | ||
| Fully Connected Layer (200), Dropout = 0.5 | ||
| Softmax (100) | ||
| Publisher’s Note: MDPI stays neutral with regard to jurisdictional claims in published maps and institutional affiliations. | 
© 2020 by the authors. Licensee MDPI, Basel, Switzerland. This article is an open access article distributed under the terms and conditions of the Creative Commons Attribution (CC BY) license (http://creativecommons.org/licenses/by/4.0/).
Share and Cite
Choi, G.H.; Lim, K.; Pan, S.B. Driver Identification System Using Normalized Electrocardiogram Based on Adaptive Threshold Filter for Intelligent Vehicles. Sensors 2021, 21, 202. https://doi.org/10.3390/s21010202
Choi GH, Lim K, Pan SB. Driver Identification System Using Normalized Electrocardiogram Based on Adaptive Threshold Filter for Intelligent Vehicles. Sensors. 2021; 21(1):202. https://doi.org/10.3390/s21010202
Chicago/Turabian StyleChoi, Gyu Ho, Kiho Lim, and Sung Bum Pan. 2021. "Driver Identification System Using Normalized Electrocardiogram Based on Adaptive Threshold Filter for Intelligent Vehicles" Sensors 21, no. 1: 202. https://doi.org/10.3390/s21010202
APA StyleChoi, G. H., Lim, K., & Pan, S. B. (2021). Driver Identification System Using Normalized Electrocardiogram Based on Adaptive Threshold Filter for Intelligent Vehicles. Sensors, 21(1), 202. https://doi.org/10.3390/s21010202
 
        



 
       