Fault Diagnosis of Planetary Gearbox Based on Adaptive Order Bispectrum Slice and Fault Characteristics Energy Ratio Analysis
Abstract
1. Introduction
- (1)
- The modulation sidebands exist inherently as long as the sun gear is floating [8]. This implies that the conventional fault features can also be extracted from a healthy PG. Therefore, the conventional features fail to distinguish between health and faultiness in the PG.
- (2)
2. Fundamentals of the Proposed AOBS-FCER Method
2.1. Fault Characteristic Detection of Adaptive Order Bispectrum Slice
2.1.1. The Angle-Domain Synchronous Average and Order Spectrum
2.1.2. The Bispectrum and Adaptive Bispectrum Slice
2.2. Fault Symptoms Representation of Fault Characteristic Energy Ratio
3. Application of the AOBS-FCER Method
- Convert the vibration signal in the time domain to that in the angular domain by the ADSA method.
- Calculate the OB. The frequency ranges of the modulation components and carrier components affect the OB values; in particular, the carrier frequency has a great influence on the results, and a wide range of it should be selected whenever possible.
- Extract the characteristic slice by Equation (8).
- Sum up and calculate the FCER.
- The flowchart of the AOBS-FCER method is drawn in Figure 5.
4. Experimental Validation
4.1. Experiment Setup
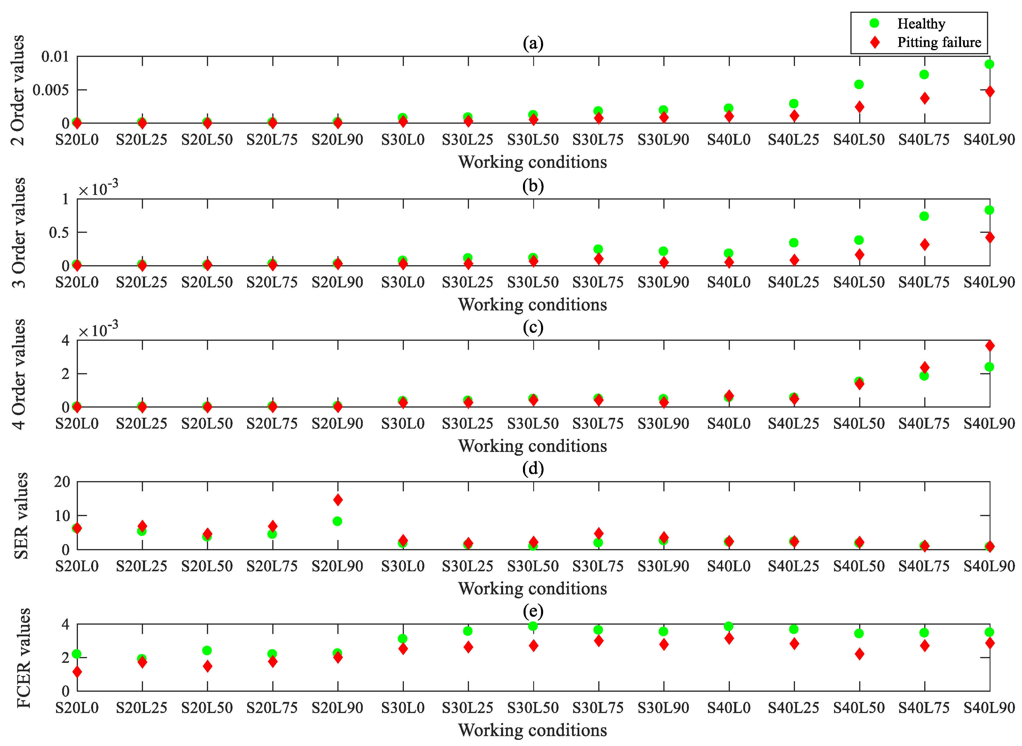
4.2. Data Analysis
5. Conclusions
- (1)
- An optimized order bispectrum (OB) analysis, named AOBS, is proposed, which can extract modulations in low frequency areas.
- (2)
- A new statistical characteristic of FCER for the diagnosis of incipient faults in a PG is proposed. In comparison with the OB, the proposed FCER is superior in representing weak fault features.
- (3)
- Experimental analyses validate that the proposed AOBS-FCER method can solve the problems in feature extraction for incipient faults in PGs accurately and effectively.
- (4)
- In any further work, the effectiveness of the proposed method for detecting the incipient faults effecting the experimental system in real time will be investigated.
Author Contributions
Funding
Acknowledgments
Conflicts of Interest
References
- Liang, X.; Zuo, M.J.; Feng, Z. Dynamic modeling of gearbox faults: A review. Mech. Syst. Signal Process. 2018, 98, 852–876. [Google Scholar] [CrossRef]
- Lei, Y.; Han, D.; Lin, J.; He, Z. Planetary gearbox fault diagnosis using an adaptive stochastic resonance method. Mech. Syst. Signal Process. 2013, 38, 113–124. [Google Scholar] [CrossRef]
- Li, Y.; Li, G.; Yang, Y.; Liang, X.; Xu, M. A fault diagnosis scheme for planetary gearboxes using adaptive multi-scale morphology filter and modified hierarchical permutation entropy. Mech. Syst. Signal Process. 2018, 105, 319–337. [Google Scholar] [CrossRef]
- He, G.; Ding, K.; Li, W.; Jiao, X. A novel order tracking method for wind turbine planetary gearbox vibration analysis based on discrete spectrum correction technique. Renew. Energy 2016, 87, 364–375. [Google Scholar] [CrossRef]
- Graja, O.; Zghal, B.; Dziedziech, K.; Chaari, F.; Jablonski, A.; Barszcz, T.; Haddar, M. Simulating the dynamic behavior of planetary gearbox based on improved Hanning function. Comptes Rendus Mecanique 2019, 347, 49–61. [Google Scholar] [CrossRef]
- Li, F.; Pang, X.; Yang, Z. Joint amplitude and frequency demodulation analysis based on variational mode decomposition for multifault diagnosis of a multistage reducer. Shock Vib. 2018, 1–2, 1–19. [Google Scholar] [CrossRef]
- Li, Y.; Li, G.; Wei, Y.; Liu, B.; Liang, X. Health condition identification of planetary gearboxes based on variational mode decomposition and generalized composite multi-scale symbolic dynamic entropy. ISA Trans. 2018, 81, 329–341. [Google Scholar] [CrossRef]
- He, G.; Ding, K.; Wu, X.; Yang, X. Dynamic modeling and vibration modulation signal analysis of wind turbine planetary gearbox with a floating sun gear. Renew. Energy 2019, 139, 718–729. [Google Scholar] [CrossRef]
- Feng, Z.; Lin, X.; Zuo, M.J. Joint amplitude and frequency demodulation analysis based on intrinsic time-scale decomposition for planetary gearbox fault diagnosis. Mech. Syst. Signal Process. 2016, 72–73, 223–240. [Google Scholar] [CrossRef]
- Feng, Z.; Zuo, M.J.; Qu, J.; Tian, T.; Liu, Z. Joint amplitude and frequency demodulation analysis based on local mean decomposition for fault diagnosis of planetary gearboxes. Mech. Syst. Signal Process. 2013, 40, 56–75. [Google Scholar] [CrossRef]
- Li, Y.; Feng, K.; Liang, X.; Zuo, M.J. A fault diagnosis method for planetary gearboxes under non-stationary working conditions using improved Vold-Kalman filter and multi-scale sample entropy. J. Sound Vib. 2019, 439, 271–286. [Google Scholar] [CrossRef]
- Wang, T.; Chu, F.; Han, Q.; Kong, Y. Compound faults detection in gearbox via meshing resonance and spectral kurtosis methods. J. Sound Vib. 2017, 392, 367–381. [Google Scholar] [CrossRef]
- Kong, Y.; Wang, T.; Li, Z.; Chu, F. Fault feature extraction of planet gear in wind turbine gearbox based on spectral kurtosis and time wavelet energy spectrum. Front. Mech. Eng. 2017, 12, 406–419. [Google Scholar] [CrossRef]
- Guo, J.; Shi, Z.; Li, H.; Zhen, D.; Gu, F.; Ball, A.D. Incipient fault diagnosis for planetary gearbox based wavelet packet energy and modulation signal bispectrum analysis. Sensors 2018, 18, 2908. [Google Scholar] [CrossRef]
- Liu, L.; Liang, X.; Zuo, M.J. Vibration signal modeling of a planetary gear set with transmission path effect analysis. Measurement 2016, 85, 20–31. [Google Scholar] [CrossRef]
- Li, X.; Wang, A. A modularization method of dynamic system modeling for multiple planetary gear trains transmission gearbox. Mech. Mach. Theory 2019, 136, 162–177. [Google Scholar] [CrossRef]
- Kocur, D.; Stanko, R. Order Bispectrum: A new tool for reciprocated machine condition monitoring. Mech. Syst. Signal Process. 2000, 14, 871–890. [Google Scholar] [CrossRef]
- Han, J.; Li, J.; Li, Z. Order bispectrum and its application to the fault diagnosis of rotating machine. J. Mech. Strength 2006, 28, 791–795. [Google Scholar]
- Li, H. Order bi-spectrum for bearing fault monitoring and diagnosis under run-up condition. J. Comput. 2011, 6, 1994–2000. [Google Scholar] [CrossRef]
- Liu, Z.; Yu, D.; Liu, J. Order bispectrum analysis based on fault characteristic frequency and its application to the fault diagnosis of rolling bearings. Proc. CSEE 2013, 33, 123–129. [Google Scholar]
- Zhang, Y. Order bispectrum based gearbox fault diagnosis during speed-up process. In Proceedings of the 6th World Congress on Intelligent Control and Automation, Dalian, China, 21–23 June 2006. [Google Scholar]
- Pattabiraman, T.R.; Srinivasan, K.; Malarmohan, K. Assessment of sideband energy ratio technique in detection of wind turbine gear defects. Case Stud. Mech. Syst. Sig. Process. 2015, 2, 1–11. [Google Scholar]
- Zhang, M.; Wang, K.; Wei, D.; Zuo, M.J. Amplitudes of characteristic frequencies for fault diagnosis of planetary gearbox. J. Sound Vib. 2018, 432, 119–132. [Google Scholar] [CrossRef]
- Wang, Z.; Guo, Y.; Wu, X. Feature extraction of faulty sun gear signals based on the envelope windowed synchronous average in angle domain. J. Vib. Shock. 2017, 36, 60–64. [Google Scholar]
- Li, Y.; Ding, K.; He, G.; Jiao, X. Non-stationary vibration feature extraction method based on sparse decomposition and order tracking for gearbox fault diagnosis. Measurement 2018, 124, 453–469. [Google Scholar] [CrossRef]
- Hou, B.; Wang, Y.; Tang, B.; Qin, Y.; Chen, Y.; Chen, Y. A tacholess order tracking method for wind turbine planetary gearbox fault detection. Measurement 2019, 138, 266–277. [Google Scholar] [CrossRef]
- Wu, J.; Zi, Y.; Chen, J.; Zhou, Z. A modified tacho-less order tracking method for the surveillance and diagnosis of machine under sharp speed variation. Mech. Mach. Theory 2018, 128, 508–527. [Google Scholar] [CrossRef]
- Zhang, S.; Tang, J. Integrating angle-frequency domain synchronous averaging technique with feature extraction for gear fault diagnosis. Mech. Syst. Signal Process. 2018, 99, 711–729. [Google Scholar] [CrossRef]
- Schmidt, S.; Heyns, P.S.; de Villiers, J.P. A tacholess order tracking methodology based on a probabilistic approach to incorporate angular acceleration information into the maxima tracking process. Mech. Syst. Signal Process. 2018, 100, 630–649. [Google Scholar] [CrossRef]
- Gao, Y.; Wu, W.; Li, Y.; Lin, J. Fault diagnose for rolling bearing based on higher order spectrum. In Proceedings of the International Conference on Ubiquitous Robots and Ambient Intelligence (URAI), Xi’an, China, 19–22 August 2016. [Google Scholar]
- Gu, F.; Wang, T.; Alwodai, A.; Tian, X.; Shao, Y.; Ball, A. A new method of accurate broken rotor bar diagnosis based on modulation signal bispectrum analysis of motor current signals. Mech. Syst. Signal Process. 2015, 50–51, 400–413. [Google Scholar] [CrossRef]
- Li, Y.; Ding, K.; He, G.; Yang, X. Vibration modulation sidebands mechanisms of equally-spaced planetary gear train with a floating sun gear. Mech. Syst. Signal Process. 2019, 129, 70–90. [Google Scholar] [CrossRef]
- Zhen, D.; Guo, J.; Xu, Y.; Zhang, H.; Gu, F. A novel fault detection method for rolling bearings based on non-stationary vibration signature analysis. Sensors 2019, 19, 3994. [Google Scholar] [CrossRef] [PubMed]
- Zhang, R.; Gu, F.; Mansaf, H.; Wang, T.; Ball, A.D. Gear wear monitoring by modulation signal bispectrum based on motor current signal analysis. Mech. Syst. Signal Process. 2017, 94, 202–213. [Google Scholar] [CrossRef]
- Tian, X.; Gu, J.X.; Rehab, I.; Abdalla, G.M.; Gu, F.; Ball, A.D. A robust detector for rolling element bearing condition monitoring based on the modulation signal bispectrum and its performance evaluation against the Kurtogram. Mech. Syst. Signal Process. 2018, 100, 167–187. [Google Scholar] [CrossRef]
- Li, H.; Wang, Z.; Zhen, D.; Gu, F.; Ball, A.D. Modulation sideband separation using the Teager–Kaiser energy operator for rotor fault diagnostics of induction motors. Energies 2019, 12, 4437. [Google Scholar] [CrossRef]













| Group | 1 Order | 2 Order | 3 Order | 4 Order |
|---|---|---|---|---|
| a | 0.25 | 0.15 | 0.5 | 0.1 |
| b | 0.3 | 0.22 | 0.28 | 0.2 |
| c | 0.6 | 0.05 | 0.18 | 0.17 |
| d | 0.1 | 0.5 | 0.2 | 0.2 |
| Group | SER | FCER |
|---|---|---|
| a | 1.7930 | 4.5469 |
| b | 0.5725 | 4.3351 |
| c | 0.9924 | 4.3583 |
| d | 1.1901 | 4.3125 |
| Sun Gear | Planetary Gear | Inner Ring | Number of Planetary Gears | Transmission Ratio |
|---|---|---|---|---|
| 10 teeth | 24 teeth | 62 teeth | 3 | 7.2 |
| Speed | Load (Percent of Rated Load) | ||||
|---|---|---|---|---|---|
| 20% rated speed | 0 | 25% | 50% | 75% | 90% |
| 30% rated speed | 0 | 25% | 50% | 75% | 90% |
| 40% rated speed | 0 | 25% | 50% | 75% | 90% |
| Sun Gear (Order) | Planet Gear (Order) | Carrier (Order) | Meshing (Order) |
|---|---|---|---|
| 1 | 0.4167 | 0.1389 | 10 |
© 2020 by the authors. Licensee MDPI, Basel, Switzerland. This article is an open access article distributed under the terms and conditions of the Creative Commons Attribution (CC BY) license (http://creativecommons.org/licenses/by/4.0/).
Share and Cite
Shen, Z.; Shi, Z.; Zhen, D.; Zhang, H.; Gu, F. Fault Diagnosis of Planetary Gearbox Based on Adaptive Order Bispectrum Slice and Fault Characteristics Energy Ratio Analysis. Sensors 2020, 20, 2433. https://doi.org/10.3390/s20082433
Shen Z, Shi Z, Zhen D, Zhang H, Gu F. Fault Diagnosis of Planetary Gearbox Based on Adaptive Order Bispectrum Slice and Fault Characteristics Energy Ratio Analysis. Sensors. 2020; 20(8):2433. https://doi.org/10.3390/s20082433
Chicago/Turabian StyleShen, Zhaoyang, Zhanqun Shi, Dong Zhen, Hao Zhang, and Fengshou Gu. 2020. "Fault Diagnosis of Planetary Gearbox Based on Adaptive Order Bispectrum Slice and Fault Characteristics Energy Ratio Analysis" Sensors 20, no. 8: 2433. https://doi.org/10.3390/s20082433
APA StyleShen, Z., Shi, Z., Zhen, D., Zhang, H., & Gu, F. (2020). Fault Diagnosis of Planetary Gearbox Based on Adaptive Order Bispectrum Slice and Fault Characteristics Energy Ratio Analysis. Sensors, 20(8), 2433. https://doi.org/10.3390/s20082433

