Designing a Smart Bath Assistive Device Based on Measuring Inner Water Temperature for Bathing Temperature Monitoring
Abstract
1. Introduction
2. Methods
2.1. Basic Idea of the Proposed Smart Bath Assistive Device
2.2. Observing the Relationship between Water Temperature and Depth
2.3. System Design of the Proposed Smart Bath Assistive Device
3. Experiment
3.1. Device Manufacture and Assembly
3.2. Experiments for System Performance Test
3.2.1. Temperature Sensor Calibration and Wireless Communication Performance Verification
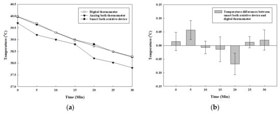
3.2.2. Experiment for Comparison of the Proposed Device with a Commercial Bath Thermometer
4. Results and Discussion
5. Conclusions
Author Contributions
Funding
Conflicts of Interest
References
- Kim, Y.S. The Effect of 40-h Work Week System on Leisure Life of Workers. Korean J. Labor Studies 2011, 17, 37–70. [Google Scholar]
 - Biro, S.; Masuda, A.; Kihara, T. Clinical implications of thermal therapy in lifestyle-related diseases. Exp. Biol. Med. 2003, 228, 1245–1249. [Google Scholar] [CrossRef] [PubMed]
 - Kim, K.H. Neonatal skin diseases. Korean J. Pediatrics 1994, 49, 1–5. [Google Scholar] [CrossRef]
 - Kim, S.S. Influences of Aerobic Exercise Training and Half Bath on Blood Component, Cardiorespiratory Function, and Vascular Compliance of Middle-aged Obese Men. J. Digit. Converg. 2010, 10, 541–550. [Google Scholar]
 - Kubo, S.H.; Rector, T.S.; Bank, A.J.; Williams, R.E.; Heifetz, S.M. Endothelium-dependent vasodilation is attenuated in patients with heart failure. Circulation 1991, 84, 1589–1596. [Google Scholar] [CrossRef]
 - Stamatas, G.N.; Nikolovski, J.; Luedtke, M.A. Wiegand, Infant skin microstructure assessed in vivo differs from adult skin in organization and at the cellular level. Pediatric Dermatol. 2010, 27, 125–131. [Google Scholar] [CrossRef]
 - Miwa, C.; Matsukawa, T.; Iwase, S.; Sugiyama, Y.; Mano, T.; Sugenoya, J.; Yamaguchi, H.; Kirsch, K.A. Human cardiovascular responses to a 60-min bath at 40 degrees C. Environ. Med. 1994, 38, 77–80. [Google Scholar]
 - Cerovac, S.; Roberts, A.H. Burns sustained by hot bath and shower water. Burns 2000, 26, 251–259. [Google Scholar] [CrossRef]
 - Hashiguchi, N.; Tochihara, Y. Effects of bathroom temperature on thermal responses during whole-body bathing, half-body bathing and showering. Elsevier Ergon. Book Ser. 2005, 3, 163–169. [Google Scholar]
 - Lee, K.J.; Oh, J.H. The Effect of Bath and Sauna on IOP, BP, PR, and Body Temperature. J. Korea Ophthalmol. Soc. 1989, 30, 987–993. [Google Scholar]
 - Nishiyama, C.; Iwami, T.; Nichol, G. Association of Out-of-hospital Cardiac Arrest with Prior Activity and Ambient Temperature. J. Eur. Resusc. Counc. 2011, 82, 1008–1012. [Google Scholar] [CrossRef] [PubMed]
 - Nagasawa, Y.; Komori, S.; Sato, M. Effects of Hot Bath Immersion on Autonomic Activity and Hemodynamics: Comparison of the Elderly Patient and the Healthy Young. J. Jpn. Circ. 2001, 65, 587–592. [Google Scholar] [CrossRef] [PubMed]
 - Chiba, T.; Yamauchi, M.; Nishida, N. Risk Factors of Sudden Death in the Japanese Hot Bath in the Senior Population. J. Forensic Sci. Int 2005, 149, 151–158. [Google Scholar] [CrossRef]
 - Iiyama, J.; Matsushita, K.; Tanaka, N. Monitoring and evaluation of heart rate and peripheral blood flow during bathing. IEICE Tech. Rep. ME Bio Cybem. 1993, 93, 29–34. [Google Scholar]
 - Watanabe, K.; Kurihara, Y.; Tanaka, H. Ubiquitous health monitoring at home – sensing of human biosignals on flooring, on Tatami Mat, in the Bathtub, and in the Lavatory. IEE Sens. J. 2009, 9, 1847–1855. [Google Scholar] [CrossRef]
 - Ogawa, M.; Tamura, T.; Yoda, M. Development of automated ECG measurement during bathing system for home health monitoring. IEICE Tech. Rep. ME Bio Cybem. 1997, 97, 23–26. [Google Scholar]
 - Bejan, A. Convection heat transfer, 43th ed.; John Wiley & Sons, Inc.: New York, NY, USA, 2013; pp. 489–527. [Google Scholar]
 - Qiu, C.; Mao, H.; Yu, J. Sea surface cooling in the Northern South China Sea observed using Chinese sea-wing underwater glider measurements. Deep. Sea Res. Rat I Oceanogr. Res. Pap. 2015, 105, 111–118. [Google Scholar] [CrossRef]
 - Pegau, S.; Deric, J.; Ronald, V. Absorption and attenuation of visible and near-infrared light in water: Dependence on temperature and alinity. Appl. Opt. 1997, 36, 6035–6046. [Google Scholar] [CrossRef]
 - Kays, M.W. Convective Heat and Mass Transfer; McGraw-Hill Education: New York, NY, USA, 2004; Volume 6, pp. 1–4. [Google Scholar]
 - Nihtianov, S.; Luque, A. Smart sensors and MEMS: Intelligent sensing devices and microsystems for industrial applications; Woodhead Publishing: Cambridge, UK, 2013; pp. 185–223. [Google Scholar]
 - Weng, Z.; Wang, J.; Senthil, T.; Wu, L. Mechanical and thermal properties of ABS/montmorillonite nanocomposites for fused deposition modeling 3D printing. Mater. Des. 2016, 102, 276–283. [Google Scholar] [CrossRef]
 - Wei, Q.; Lee, J.H.; Park, H.J. Novel design of smart sleep-lighting system for improving the sleep environment of children. Technol. Health Care 2019, 27, S3–S13. [Google Scholar] [CrossRef]
 - James, G.M. Generalized linear models with functional predictors. J. R. Stat. Soc. Stat. Methodol. Ser. B 2002, 64, 411–432. [Google Scholar] [CrossRef]
 - Merlone, A.; Iacomini, L.; Tiziani, A. A liquid bath for accurate temperature measurements. Measurement 2007, 40, 422–427. [Google Scholar] [CrossRef]
 - Featherstone, B.; Dickinson, A. Water bath temperature control and temperature measurement devices for calorimetry. Appar. Tech. 1976, 64, 334–335. [Google Scholar] [CrossRef]
 - Harvey, M.E. Precision temperature controlled water bath. Rev. Sci. Instrum. 1968, 39, 13–18. [Google Scholar] [CrossRef]
 










© 2020 by the authors. Licensee MDPI, Basel, Switzerland. This article is an open access article distributed under the terms and conditions of the Creative Commons Attribution (CC BY) license (http://creativecommons.org/licenses/by/4.0/).
Share and Cite
Wei, Q.; Kang, S.-M.; Lee, J.H. Designing a Smart Bath Assistive Device Based on Measuring Inner Water Temperature for Bathing Temperature Monitoring. Sensors 2020, 20, 2405. https://doi.org/10.3390/s20082405
Wei Q, Kang S-M, Lee JH. Designing a Smart Bath Assistive Device Based on Measuring Inner Water Temperature for Bathing Temperature Monitoring. Sensors. 2020; 20(8):2405. https://doi.org/10.3390/s20082405
Chicago/Turabian StyleWei, Qun, So-Myoung Kang, and Jae Ho Lee. 2020. "Designing a Smart Bath Assistive Device Based on Measuring Inner Water Temperature for Bathing Temperature Monitoring" Sensors 20, no. 8: 2405. https://doi.org/10.3390/s20082405
APA StyleWei, Q., Kang, S.-M., & Lee, J. H. (2020). Designing a Smart Bath Assistive Device Based on Measuring Inner Water Temperature for Bathing Temperature Monitoring. Sensors, 20(8), 2405. https://doi.org/10.3390/s20082405
        
