Distributed Compressed Hyperspectral Sensing Imaging Based on Spectral Unmixing
Abstract
1. Introduction
2. Distributed Compressed Sampling Framework
3. Reconstruction Algorithm of CS Band
3.1. Endmember Extraction
3.2. Abundant Estimation
3.3. Recovery of CS Band
| Algorithm 1: DCHS reconstruction algorithm |
| Inputs:, , and Output: 1. Estimate by HySime algorithm from 2. Extract from by VCA algorithm 3. Predict by using interpolation algorithm 4. Set parameters: , , and 5. Initialize: , , , , , , , , , , 6. While and 7. Compute by soft-threshold function according to (12) 8. Compute by (15) 9. Compute by (16) 10. Compute by (17) 11. Update Lagrange multipliers , , and by (18) 12. Compute and by (19) 13. , End while 14. Modify by (20) 15. Recover CS band according to LMM by (21) |
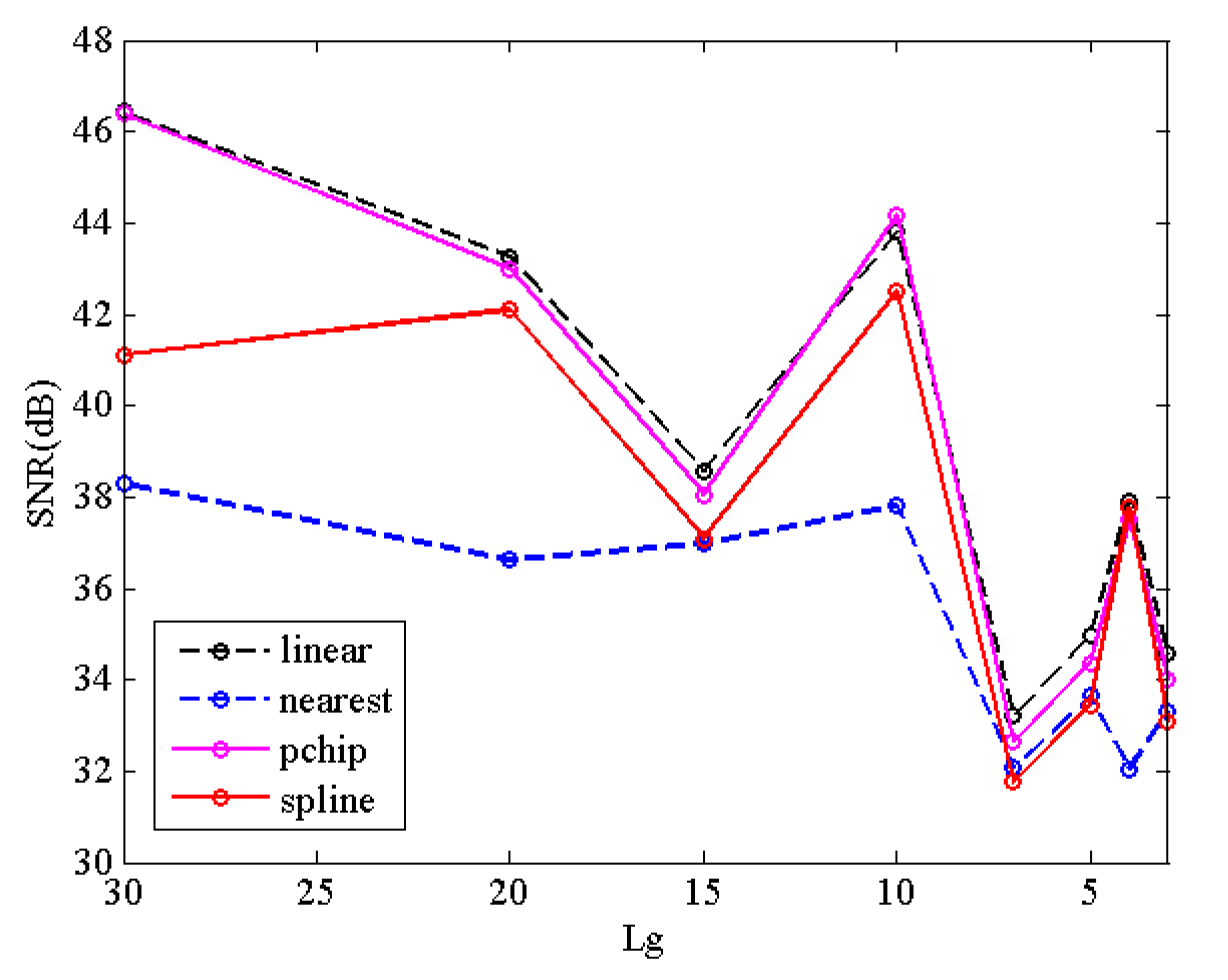
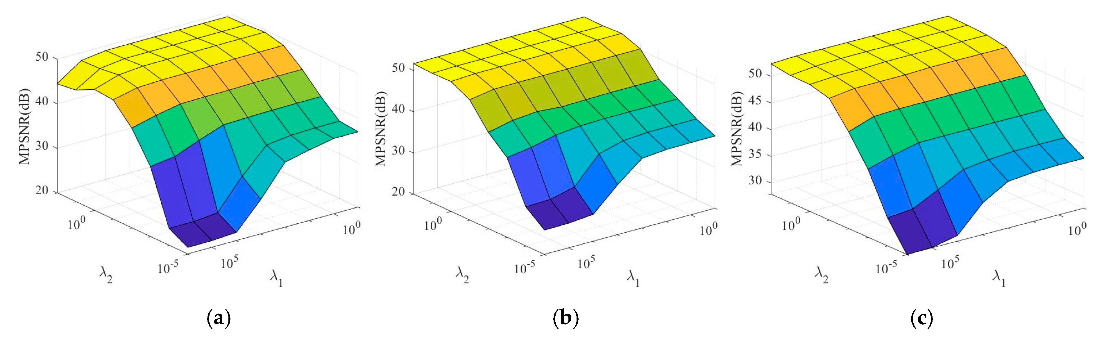
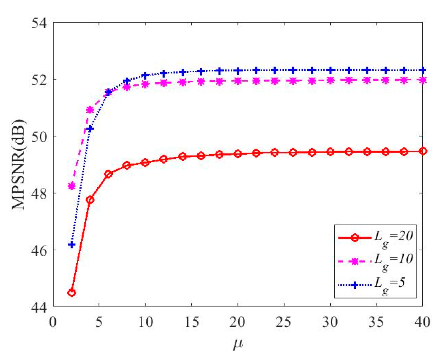
4. Experiments and Results
5. Conclusions
Author Contributions
Funding
Acknowledgments
Conflicts of Interest
References
- Lin, X.; Liu, Y.B.; Wu, J.M.; Dai, Q.H. Spatial-spectral encoded compressive hyperspectral imaging. ACM Trans. Graph. 2014, 33. [Google Scholar] [CrossRef]
- Bioucas-Dias, J.M.; Plaza, A.; Dobigeon, N.; Parente, M.; Qian, D.; Gader, P.; Chanussot, J. Hyperspectral unmixing overview: Geometrical, statistical, and sparse regression-based approaches. IEEE J. Sel. Top. Appl. Earth Obs. Remote Sens. 2012, 5, 354–379. [Google Scholar] [CrossRef]
- Donoho, D.L. Compressed sensing. IEEE Trans. Inf. Theory 2006, 52, 1289–1306. [Google Scholar] [CrossRef]
- Candes, E.J.; Wakin, M.B. An introduction to compressive sampling. IEEE Signal Process. Mag. 2008, 25, 21–30. [Google Scholar] [CrossRef]
- Rauhut, H.; Schnass, K.; Vandergheynst, P. Compressed sensing and redundant dictionaries. IEEE Trans. Inf. Theory 2008, 54, 2210–2219. [Google Scholar] [CrossRef]
- Zhang, L.; Wei, W.; Zhang, Y.; Yan, H.; Li, F.; Tian, C. Locally similar sparsity-based hyperspectral compressive sensing using unmixing. IEEE Trans. Comput. Imaging 2016, 2, 86–100. [Google Scholar] [CrossRef]
- Zhang, L.; Wei, W.; Tian, C.; Li, F.; Zhang, Y. Exploring structured sparsity by a reweighted laplace prior for hyperspectral compressive sensing. IEEE Trans. Image Process. 2016, 25, 4974–4988. [Google Scholar] [CrossRef]
- Duarte, M.F.; Sarvotham, S.; Baron, D.; Wakin, M.B.; Baraniuk, R.G. Distributed compressed sensing of jointly sparse signals. In Proceedings of the Asilomar Conference on Signals, Systems and Computers, Pacific Grove, CA, USA, 28 October–1 November 2005; pp. 1537–1541. [Google Scholar]
- Duarte, M.F.; Baraniuk, R.G. Kronecker compressive sensing. IEEE Trans. Image Process. 2012, 21, 494–504. [Google Scholar] [CrossRef]
- Fowler, J.E. Compressive-projection principal component analysis. IEEE Trans. Image Process. 2009, 18, 2230–2242. [Google Scholar] [CrossRef] [PubMed]
- Fowler, J.E.; Qian, D. Reconstructions from compressive random projections of hyperspectral imagery. In Optical Remote Sensing: Advances in Signal Processing and Exploitation Techniques; Prasad, S.B.L.M., Chanussot, J., Eds.; Springer: Berlin/Heidelberg, Germany, 2011; pp. 31–48. [Google Scholar]
- Li, W.; Prasad, S.; Fowler, J.E. Integration of spectral-spatial information for hyperspectral image reconstruction from compressive random projections. IEEE Geosci. Remote Sens. Lett. 2013, 10, 1379–1383. [Google Scholar] [CrossRef]
- Ly, N.H.; Du, Q.; Fowler, J.E. Reconstruction from random projections of hyperspectral imagery with spectral and spatial partitioning. IEEE J. Sel. Top. Appl. Earth Obs. Remote Sens. 2013, 6, 466–472. [Google Scholar] [CrossRef]
- Chen, C.; Wei, L.; Tramel, E.W.; Fowler, J.E. Reconstruction of hyperspectral imagery from random projections using multihypothesis prediction. IEEE Trans. Geosci. Remote Sens. 2014, 52, 365–374. [Google Scholar] [CrossRef]
- Martín, G.; Bioucas-Dias, J.M. Hyperspectral blind reconstruction from random spectral projections. IEEE J. Sel. Top. Appl. Earth Obs. Remote Sens. 2016, 9, 2390–2399. [Google Scholar] [CrossRef]
- Shu, X.; Ahuja, N. Imaging via three-dimensional compressive sampling (3DCS). In Proceedings of the IEEE International Conference on Computer Vision, Barcelona, Spain, 6–13 November 2011; pp. 439–446. [Google Scholar]
- Zhang, B.; Tong, X.; Wang, W.; Xie, J. The research of Kronecker product-based measurement matrix of compressive sensing. Eurasip J. Wirel. Commun. Netw. 2013, 2013, 1–5. [Google Scholar] [CrossRef]
- Slepian, D.; Wolf, J. Noiseless coding of correlated information sources. IEEE Trans. Inf. Theory 1973, 19, 471–480. [Google Scholar] [CrossRef]
- Kang, L.-W.; Lu, C.-S. Distributed compressive video sensing. In Proceedings of the Acoustics, Speech and Signal Processing, 2009. ICASSP 2009. IEEE International Conference, Taipei, Taiwan, 19–24 April 2009; pp. 1169–1172. [Google Scholar]
- Do, T.T.; Yi, C.; Nguyen, D.T.; Nguyen, N.; Lu, G.; Tran, T.D. Distributed compressed video sensing. In Proceedings of the IEEE International Conference on Image Processing, Cairo, Egypt, 7–10 November 2009; pp. 1393–1396. [Google Scholar]
- Liu, H.; Li, Y.; Wu, C.; Lv, P. Compressed hyperspectral image sensing based on interband prediction. J. Xidian Univ. 2011, 38, 37–41. (In Chinese) [Google Scholar] [CrossRef]
- Jia, Y.B.; Feng, Y.; Wang, Z.L. Reconstructing hyperspectral images from compressive sensors via exploiting multiple priors. Spectr. Lett. 2015, 48, 22–26. [Google Scholar] [CrossRef]
- Wang, Y.; Lin, L.; Zhao, Q.; Yue, T.; Meng, D.; Leung, Y. Compressive sensing of hyperspectral images via joint tensor tucker decomposition and weighted total variation regularization. IEEE Geosci. Remote Sens. Lett. 2017, 14, 2457–2461. [Google Scholar] [CrossRef]
- Xue, J.; Zhao, Y.; Liao, W.; Chan, J. Nonlocal tensor sparse representation and low-rank regularization for hyperspectral image compressive sensing reconstruction. Remote Sens. 2019, 11, 193. [Google Scholar] [CrossRef]
- Hong, D.; Yokoya, N.; Chanussot, J.; Zhu, X.X. An augmented linear mixing model to address spectral variability for hyperspectral unmixing. IEEE Trans. Image Process. 2019, 28, 1923–1938. [Google Scholar] [CrossRef]
- Halimi, A.; Honeine, P.; Bioucasdias, J. Hyperspectral unmixing in presence of endmember variability, nonlinearity or mismodelling effects. IEEE Trans. Image Process. 2016, 25, 4565–4579. [Google Scholar] [CrossRef] [PubMed]
- Wang, Z.; Feng, Y.; Jia, Y. Spatio-spectral hybrid compressive sensing of hyperspectral imagery. Remote Sens. Lett. 2015, 6, 199–208. [Google Scholar] [CrossRef]
- Wang, L.; Feng, Y.; Gao, Y.; Wang, Z.; He, M. Compressed sensing reconstruction of hyperspectral images based on spectral unmixing. IEEE J. Sel. Top. Appl. Earth Obs. Remote Sens. 2018, 11, 1266–1284. [Google Scholar] [CrossRef]
- Sun, W.; Du, Q. Hyperspectral band selection: A review. IEEE Geosci. Remote Sens. Mag. 2019, 7, 118–139. [Google Scholar] [CrossRef]
- Hsu, P.-H. Feature extraction of hyperspectral images using wavelet and matching pursuit. ISPRS J. Photogramm. Remote Sens. 2007, 62, 78–92. [Google Scholar] [CrossRef]
- Uddin, M.P.; Mamun, M.A.; Hossain, M.A. Feature extraction for hyperspectral image classification. In Proceedings of the 2017 IEEE Region 10 Humanitarian Technology Conference (R10-HTC), Dhaka, Bangladesh, 21–23 December 2017; pp. 379–382. [Google Scholar]
- Setiyoko, A.; Dharma, I.G.W.S.; Haryanto, T. Recent development of feature extraction and classification multispectral/hyperspectral images: A systematic literature review. J. Phys. Conf. Ser. 2017. [Google Scholar] [CrossRef]
- Marcinkiewicz, M.; Kawulok, M.; Nalepa, J. Segmentation of multispectral data simulated from hyperspectral imagery. In Proceedings of the IGARSS 2019—2019 IEEE International Geoscience and Remote Sensing Symposium, Yokohama, Japan, 28 July–2 August 2019; pp. 3336–3339. [Google Scholar]
- Lorenzo, P.R.; Tulczyjew, L.; Marcinkiewicz, M.; Nalepa, J. Hyperspectral band selection using attention-based convolutional neural networks. IEEE Access 2020, 8, 42384–42403. [Google Scholar] [CrossRef]
- Nascimento, J.M.P.; Dias, J.M.B. Vertex component analysis: A fast algorithm to unmix hyperspectral data. IEEE Trans. Geosci. Remote Sens. 2005, 43, 898–910. [Google Scholar] [CrossRef]
- Bengio, Y.; Courville, A.; Vincent, P. Representation learning: A review and new perspectives. IEEE Trans. Pattern Anal. Mach. Intell. 2013, 35, 1798–1828. [Google Scholar] [CrossRef]
- Peng, X.; Lu, C.; Yi, Z.; Tang, H. Connections between nuclear-norm and frobenius-norm-based representations. IEEE Trans. Neural Netw. Learn. Syst. 2018, 29, 218–224. [Google Scholar] [CrossRef]
- Peng, X.; Feng, J.; Xiao, S.; Yau, W.; Zhou, J.T.; Yang, S. Structured autoencoders for subspace clustering. IEEE Trans. Image Process. 2018, 27, 5076–5086. [Google Scholar] [CrossRef] [PubMed]
- Peng, X.; Zhu, H.; Feng, J.; Shen, C.; Zhang, H.; Zhou, J.T. Deep clustering with sample-assignment invariance prior. IEEE Trans. Neural Netw. Learn. Syst. 2019, 1–12. [Google Scholar] [CrossRef]
- Peng, X.; Feng, J.; Zhou, J.T.; Lei, Y.; Yan, S. Deep subspace clustering. IEEE Trans. Neural Netw. Learn. Syst. 2020, 1–13. [Google Scholar] [CrossRef] [PubMed]
- Bioucas-Dias, J.M.; Nascimento, J.M.P. Hyperspectral subspace identification. IEEE Trans. Geosci. Remote Sens. 2008, 46, 2435–2445. [Google Scholar] [CrossRef]
- Kokaly, R.F.; Clark, R.N.; Swayze, G.A.; Livo, K.E.; Hoefen, T.M.; Pearson, N.C.; Wise, R.A.; Benzel, W.M.; Lowers, H.A.; Driscoll, R.L.; et al. USGS Spectral Library Version 7. 2017. Available online: https://www.researchgate.net/publication/323486055_USGS_Spectral_Library_Version_7 (accessed on 10 February 2020).
- Eckstein, J.; Bertsekas, D.P. On the douglas—Rachford splitting method and the proximal point algorithm for maximal monotone operators. Math. Program. 1992, 55, 293–318. [Google Scholar] [CrossRef]
- Lin, Y.; Wohlberg, B.; Vesselinov, V. ADMM penalty parameter selection with krylov subspace recycling technique for sparse coding. In Proceedings of the IEEE International Conference on Image Processing (ICIP), Beijing, China, 17–20 September 2017; pp. 1945–1949. [Google Scholar]
- Combettes, P.; Wajs, R.V. Signal Recovery by Proximal Forward-Backward Splitting. Multiscale Model. Simul. 2005, 4, 1164–1200. [Google Scholar] [CrossRef]
- Shihao, J.; Dunson, D.; Carin, L. Multitask compressive sensing. IEEE Trans. Signal Process. 2009, 57, 92–106. [Google Scholar]
- Zhu, F.; Wang, Y.; Xiang, S.; Fan, B.; Pan, C. Structured sparse method for hyperspectral unmixing. ISPRS J. Photogramm. Remote Sens. 2014, 88, 101–118. [Google Scholar] [CrossRef]
- Gamba, P. A collection of data for urban area characterization. In Proceedings of the IGARSS 2004, 2004 IEEE International Geoscience and Remote Sensing Symposium, Anchorage, AK, USA, 20–24 September 2004; pp. 1–72. [Google Scholar]
- Zhou, W.; Bovik, A.C.; Sheikh, H.R.; Simoncelli, E.P. Image quality assessment: From error visibility to structural similarity. IEEE Trans. Image Process. 2004, 13, 600–612. [Google Scholar]








| 30 | 20 | 15 | 10 | 7 | 5 | 4 | 3 | |
|---|---|---|---|---|---|---|---|---|
| Results on the Cuprite Dataset | ||||||||
| 0.0416 | 0.0564 | 0.0732 | 0.1048 | 0.1469 | 0.2048 | 0.2575 | 0.3365 | |
| MT-BCS | 13.135 | 6.5641 | 5.6391 | 4.4379 | 3.5327 | 3.0821 | 2.8048 | 2.529 |
| CPPCA | 87.408 | 82.683 | 63.714 | 21.502 | 3.5086 | 0.9931 | 0.9064 | 0.6554 |
| SSHCS | 1.8222 | 0.9963 | 0.8775 | 1.1346 | 0.6602 | 0.4074 | 0.387 | 0.3658 |
| SpeCA | 0.8355 | 0.8227 | 0.6226 | 0.5005 | 0.4706 | 0.4523 | 0.4222 | 0.4079 |
| SSCR_SU | 1.7216 | 1.0615 | 0.983 | 0.9051 | 0.7575 | 0.6331 | 0.5846 | 0.5059 |
| DCHS | 0.9694 | 0.7088 | 0.6528 | 0.5735 | 0.5083 | 0.4901 | 0.4537 | 0.4352 |
| Results on the Urban Dataset | ||||||||
| 0.0406 | 0.0589 | 0.0711 | 0.1078 | 0.1506 | 0.2056 | 0.2544 | 0.34 | |
| MT-BCS | 20.949 | 12.691 | 10.356 | 7.7535 | 5.5784 | 3.9322 | 3.1864 | 2.241 |
| CPPCA | 87.626 | 73.818 | 50.011 | 13.114 | 4.9118 | 3.1499 | 2.3014 | 1.7288 |
| SSHCS | 3.8007 | 3.5748 | 3.1717 | 2.2219 | 2.0846 | 1.4805 | 1.1498 | 1.0011 |
| SpeCA | 3.2096 | 2.8107 | 2.5085 | 2.1831 | 2.0845 | 2.0381 | 1.9604 | 1.9545 |
| SSCR_SU | 8.9135 | 4.6612 | 2.94 | 2.6452 | 2.3153 | 2.1638 | 1.6217 | 1.3918 |
| DCHS | 2.671 | 2.2361 | 2.0754 | 1.533 | 1.2448 | 1.1214 | 1.0631 | 0.9546 |
| Results on the PaviaU Dataset | ||||||||
| 0.0388 | 0.0581 | 0.0677 | 0.1061 | 0.1446 | 0.2022 | 0.2503 | 0.3368 | |
| MT-BCS | 41.148 | 15.13 | 11.286 | 5.7488 | 3.6916 | 2.3748 | 1.8101 | 1.2232 |
| CPPCA | 88.814 | 87.689 | 82.943 | 59.258 | 8.9603 | 3.4445 | 3.1112 | 2.357 |
| SSHCS | 8.2997 | 6.0203 | 4.7841 | 2.8518 | 2.3971 | 1.8155 | 1.6073 | 1.4682 |
| SpeCA | 4.9424 | 4.1384 | 3.3207 | 2.3286 | 2.0295 | 1.809 | 1.6015 | 1.5467 |
| SSCR_SU | 15.2691 | 5.7259 | 5.0558 | 3.477 | 2.6279 | 2.144 | 1.7809 | 1.7833 |
| DCHS | 5.5415 | 3.211 | 3.0072 | 2.4134 | 2.2623 | 2.1816 | 1.3542 | 1.1391 |
| 30 | 20 | 15 | 10 | 7 | 5 | 4 | 3 | |
|---|---|---|---|---|---|---|---|---|
| Results on the Cuprite Dataset | ||||||||
| 0.0416 | 0.0564 | 0.0732 | 0.1048 | 0.1469 | 0.2048 | 0.2575 | 0.3365 | |
| MT-BCS | 0.2987 | 0.6297 | 0.7213 | 0.8332 | 0.91 | 0.9461 | 0.9604 | 0.9729 |
| CPPCA | 0.0001 | 0.0026 | 0.0191 | 0.3278 | 0.9535 | 0.9862 | 0.9876 | 0.9926 |
| SSHCS | 0.9624 | 0.987 | 0.9855 | 0.9916 | 0.9940 | 0.9962 | 0.9965 | 0.997 |
| SpeCA | 0.9863 | 0.9875 | 0.9912 | 0.9946 | 0.9953 | 0.9956 | 0.9961 | 0.9964 |
| SSCR_SU | 0.9737 | 0.988 | 0.9874 | 0.9876 | 0.9896 | 0.9925 | 0.9933 | 0.9949 |
| DCHS | 0.9857 | 0.9888 | 0.9902 | 0.9922 | 0.9938 | 0.994 | 0.9949 | 0.9953 |
| Results on the Urban Dataset | ||||||||
| 0.0406 | 0.0589 | 0.0711 | 0.1078 | 0.1506 | 0.2056 | 0.2544 | 0.34 | |
| MT-BCS | 0.4105 | 0.614 | 0.6823 | 0.7563 | 0.828 | 0.8924 | 0.9158 | 0.9487 |
| CPPCA | 0.0051 | 0.0332 | 0.2008 | 0.6924 | 0.8842 | 0.9393 | 0.9609 | 0.9734 |
| SSHCS | 0.9443 | 0.9424 | 0.9314 | 0.959 | 0.9558 | 0.973 | 0.9832 | 0.9863 |
| SpeCA | 0.9467 | 0.9474 | 0.9675 | 0.9741 | 0.9754 | 0.9793 | 0.9795 | 0.9804 |
| SSCR_SU | 0.8762 | 0.9344 | 0.9648 | 0.9711 | 0.9742 | 0.9771 | 0.9822 | 0.9839 |
| DCHS | 0.9667 | 0.9722 | 0.9749 | 0.9825 | 0.9857 | 0.9871 | 0.9883 | 0.9901 |
| Results on the PaviaU Dataset | ||||||||
| 0.0388 | 0.0581 | 0.0677 | 0.1061 | 0.1446 | 0.2022 | 0.2503 | 0.3368 | |
| MT-BCS | 0.124 | 0.4773 | 0.5716 | 0.7687 | 0.8617 | 0.9239 | 0.9492 | 0.9742 |
| CPPCA | 0.0068 | 0.0072 | 0.0173 | 0.1254 | 0.7075 | 0.9013 | 0.9154 | 0.9351 |
| SSHCS | 0.803 | 0.8714 | 0.8928 | 0.9445 | 0.9585 | 0.9717 | 0.9755 | 0.9814 |
| SpeCA | 0.8149 | 0.863 | 0.8841 | 0.9341 | 0.9471 | 0.958 | 0.9641 | 0.9655 |
| SSCR_SU | 0.6054 | 0.8653 | 0.8354 | 0.9105 | 0.9383 | 0.945 | 0.9566 | 0.9565 |
| DCHS | 0.861 | 0.9187 | 0.92 | 0.9413 | 0.9505 | 0.9572 | 0.9755 | 0.9834 |
| 30 | 20 | 15 | 10 | 7 | 5 | 4 | 3 | |
|---|---|---|---|---|---|---|---|---|
| 0.0416 | 0.0564 | 0.0732 | 0.1048 | 0.1469 | 0.2048 | 0.2575 | 0.3365 | |
| MT-BCS | 19.0391 | 22.1187 | 17.7807 | 25.6069 | 29.3980 | 34.6212 | 43.4569 | 52.9737 |
| CPPCA | 0.1005 | 0.0627 | 0.0585 | 0.1006 | 0.1066 | 0.1727 | 0.2139 | 0.5978 |
| SSHCS | 0.2831 | 0.1351 | 0.1269 | 0.0917 | 0.1132 | 0.1012 | 0.0919 | 0.0932 |
| SpeCA | 15.5695 | 30.4764 | 49.2695 | 58.9999 | 58.9444 | 59.8885 | 57.1876 | 56.5255 |
| SSCR_SU | 4.2837 | 3.3935 | 1.2450 | 3.4530 | 1.3813 | 1.2545 | 1.3005 | 1.3809 |
| DCHS | 33.0788 | 34.6071 | 36.2856 | 34.2655 | 33.2441 | 30.8957 | 29.1711 | 26.9435 |
© 2020 by the authors. Licensee MDPI, Basel, Switzerland. This article is an open access article distributed under the terms and conditions of the Creative Commons Attribution (CC BY) license (http://creativecommons.org/licenses/by/4.0/).
Share and Cite
Wang, Z.; Xiao, H. Distributed Compressed Hyperspectral Sensing Imaging Based on Spectral Unmixing. Sensors 2020, 20, 2305. https://doi.org/10.3390/s20082305
Wang Z, Xiao H. Distributed Compressed Hyperspectral Sensing Imaging Based on Spectral Unmixing. Sensors. 2020; 20(8):2305. https://doi.org/10.3390/s20082305
Chicago/Turabian StyleWang, Zhongliang, and Hua Xiao. 2020. "Distributed Compressed Hyperspectral Sensing Imaging Based on Spectral Unmixing" Sensors 20, no. 8: 2305. https://doi.org/10.3390/s20082305
APA StyleWang, Z., & Xiao, H. (2020). Distributed Compressed Hyperspectral Sensing Imaging Based on Spectral Unmixing. Sensors, 20(8), 2305. https://doi.org/10.3390/s20082305
