High Sensitivity Refractive Index Sensor Based on the Excitation of Long-Range Surface Plasmon Polaritons in H-Shaped Optical Fiber
Abstract
1. Introduction
2. Sensor Structure and Theory
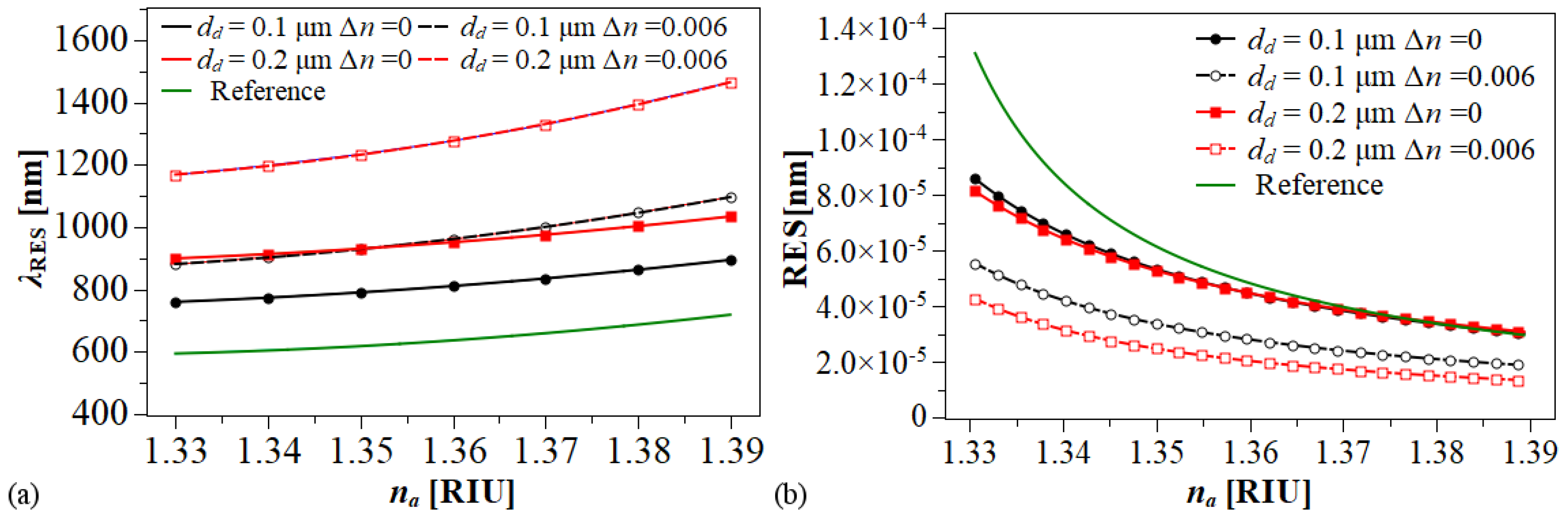
3. Sensor Performance and Discussion
4. Conclusions
Author Contributions
Funding
Conflicts of Interest
References
- Homola, J.; Dotĺek, J. Surface Plasmon Resonance Based Sensors; Springer: Berlin, Germany, 2006. [Google Scholar]
- Berini, P. Long-range surface plasmon polaritons. Adv. Opt. Photon. 2009, 1, 484–588. [Google Scholar] [CrossRef]
- Liu, F.; Li, Y.; Wan, R.; Huang, Y.; Feng, X.; Zhang, W. Hybrid Coupling Between Long-Range Surface Plasmon Polariton Mode and Dielectric Waveguide Mode. J. Lightwave Technol. 2011, 29, 1265–1273. [Google Scholar] [CrossRef]
- Berini, P. Plasmon-polariton modes guided by a metal film of finite width bounded by different dielectrics. Opt. Express 2000, 7, 329–335. [Google Scholar] [CrossRef] [PubMed]
- Nikolajsen, T.; Leosson, K.; Bozhevolnyi, S.I. In-line extinction modulator based on long-range surface plasmon polaritons. Opt. Comm. 2005, 244, 455–459. [Google Scholar] [CrossRef]
- Kim, J.T.; Ju, J.J.; Park, S.; su Kim, M.; Park, S.K.; Shin, S.Y. Hybrid plasmonic waveguide for low-loss lightwave guiding. Opt. Express 2010, 18, 2808–2813. [Google Scholar] [CrossRef]
- Song, Y.; Wang, J.; Li, Q.; Yan, M.; Qiu, M. Broadband coupler between silicon waveguide and hybrid plasmonic waveguide. Opt. Express 2010, 18, 13173–13179. [Google Scholar] [CrossRef]
- Alam, M.Z.; Aitchison, J.S.; Mojahedi, M. Compact and silicon-on-insulator-compatible hybrid plasmonic TE-pass polarizer. Opt. Lett. 2012, 37, 55–57. [Google Scholar] [CrossRef]
- Fan, B.; Liu, F.; Wan, R.; Huang, Y.; Miura, Y.; Ohnishi, D. Hybrid Coupler with Short Range Surface Plasmon Polariton and Dielectric Waveguide. Passive Components and Fiber-Based Devices. Opt. Soc. Am. 2011, 830708. [Google Scholar] [CrossRef]
- Li, J.; Chen, X.; Yi, Z.; Yang, H.; Tang, Y.; Yi, Y.; Yao, W.; Wang, J.; Yi, Y. Broadband solar energy absorber based on monolayer molybdenum disulfide using tungsten elliptical arrays. Mater. Today Energy 2020, 16, 100390. [Google Scholar] [CrossRef]
- Dyshlyuk, A.V.; Vitrik, O.B.; Eryusheva, U.A. Waveguide-Based Refractometers Using Bulk, Long-and Short-Range Surface Plasmon Modes: Comparative Study. J. Lightwave Technol. 2018, 36, 5319–5326. [Google Scholar] [CrossRef]
- Osgood, R.; Cao, L.; Panoiu, N.; Fan, W.; Zhang, S.; Malloy, K.; Brueck, S. Nonlinear Plasmonics. Nat. Photon. 2009, 6, 737–748. [Google Scholar]
- Hu, D.J.J.; Ho, H.P. Recent advances in plasmonic photonic crystal fibers: Design, fabrication and applications. Adv. Opt. Photon. 2017, 9, 257–314. [Google Scholar] [CrossRef]
- Wang, X.; Yin, C.; Cao, Z. Progress in Planar Optical Waveguides; Springer Tracts in Modern Physics; Springer: Berlin, Germany, 2016. [Google Scholar]
- Snyder, A.W.; Love, J.D. Optical Waveguide Theory; Springer: Boston, MA, USA, 1984. [Google Scholar]
- Gomez-Cardona, N.; Reyes-Vera, E.; Jimenez-Durango, C.; Usuga-Restrepo, J.; Torres, P. Novel Wide-Bandwidth Polarization Filter Based on H-Shaped Micro-Structured Optical Fiber with Gold Nano-strip. In Proceedings of the 2018 International Conference on Electromagnetics in Advanced Applications (ICEAA), Cartagena des Indias, Colombia, 10–14 September 2018; pp. 538–541. [Google Scholar]
- Wu, D.K.C.; Kuhlmey, B.T.; Eggleton, B.J. Ultrasensitive photonic crystal fiber refractive index sensor. Opt. Lett. 2009, 34, 322–324. [Google Scholar] [CrossRef]
- Peng, Y.; Hou, J.; Zhang, Y.; Huang, Z.; Xiao, R.; Lu, Q. Temperature sensing using the bandgap-like effect in a selectively liquid-filled photonic crystal fiber. Opt. Lett. 2013, 38, 263–265. [Google Scholar] [CrossRef]
- Du, C.; Wang, Q.; Hu, H.; Zhao, Y. Highly Sensitive Refractive Index Sensor Based on Four-Hole Grapefruit Microstructured Fiber with Surface Plasmon Resonance. Plasmonics 2016, 12, 1961–1965. [Google Scholar] [CrossRef]
- Yang, X.; Lu, Y.; Liu, B.; Yao, J. Analysis of Graphene-Based Photonic Crystal Fiber Sensor Using Birefringence and Surface Plasmon Resonance. Plasmonics 2017, 12, 489–496. [Google Scholar] [CrossRef]
- Jiang, Y.X.; Liu, B.H.; Zhu, X.S.; Tang, X.L.; Shi, Y.W. Long-range surface plasmon resonance sensor based on dielectric/silver coated hollow fiber with enhanced figure of merit. Opt. Lett. 2015, 40, 744–747. [Google Scholar] [CrossRef]
- Gomez-Cardona, N.D.; Reyes-Vera, E.; Torres, P.I. Multi-Plasmon Resonances in Microstructured Optical Fibers: Extending the Detection Range of SPR Sensors and a Multi-Analyte Sensing Technique. IEEE Sens. J. 2018, 18, 7492–7498. [Google Scholar] [CrossRef]
- Rifat, A.A.; Ahmed, R.; Mahdiraji, G.A.; Adikan, F.R.M. Highly Sensitive D-Shaped Photonic Crystal Fiber-Based Plasmonic Biosensor in Visible to Near-IR. IEEE Sens. J. 2017, 17, 2776–2783. [Google Scholar] [CrossRef]
- Yang, X.; Lu, Y.; Wang, M.; Yao, J. An Exposed-Core Grapefruit Fibers Based Surface Plasmon Resonance Sensor. Sensors 2015, 15, 17106–17114. [Google Scholar] [CrossRef]
- Erdmanis, M.; Viegas, D.; Hautakorpi, M.; Novotny, S.; Santos, J.L.; Ludvigsen, H. Comprehensive numerical analysis of a surface-plasmon-resonance sensor based on an H-shaped optical fiber. Opt. Express 2011, 19, 13980–13988. [Google Scholar] [CrossRef] [PubMed]
- Gómez-Cardona, N.D.; Reyes-Vera, E.; Torres, P.; Reyes-Vera, E.; Torres, P. Multi-analyte refractive index sensor based on hybrid long range plasmon modes in H-shaped optical fiber. In Proceedings of the Latin America Optics and Photonics Conference, OSA, Lima, Peru, 12–15 November 2018; p. Tu5B.4. [Google Scholar]
- Cen, C.; Chen, Z.; Xu, D.; Jiang, L.; Chen, X.; Yi, Z.; Wu, P.; Li, G.; Yi, Y. High Quality Factor, High Sensitivity Metamaterial Graphene—Perfect Absorber Based on Critical Coupling Theory and Impedance Matching. Nanomaterials 2020, 10, 95. [Google Scholar] [CrossRef] [PubMed]
- Jing, J.Y.; Wang, Q.; Zhao, W.M.; Wang, B.T. Long-range surface plasmon resonance and its sensing applications: A review. Opt. Lasers Eng. 2019, 112, 103–118. [Google Scholar] [CrossRef]
- Islam, M.S.; Sultana, J.; Rifat, A.A.; Ahmed, R.; Dinovitser, A.; Ng, B.W.H.; Ebendorff-Heidepriem, H.; Abbott, D. Dual-polarized highly sensitive plasmonic sensor in the visible to near-IR spectrum. Opt. Express 2018, 26, 30347–30361. [Google Scholar] [CrossRef] [PubMed]
- Fleming, J.W. Dispersion in GeO2–SiO2 glasses. Appl. Opt. 1984, 23, 4486–4493. [Google Scholar] [CrossRef] [PubMed]
- Etchegoin, P.G.; Le Ru, E.C.; Meyer, M. An analytic model for the optical properties of gold. J. Chem. Phys. 2006, 125, 164705. [Google Scholar] [CrossRef]
- Berini, P. Plasmon-polariton waves guided by thin lossy metal films of finite width: Bound modes of asymmetric structures. Phys. Rev. B 2001, 63, 125417. [Google Scholar] [CrossRef]
- Zhang, J.; Zhang, L.; Xu, W. Surface plasmon polaritons: Physics and applications. Phys. Appl. Phys. 2012, 45, 113001. [Google Scholar] [CrossRef]
- Neumann, E.G. Single-Mode Fibers: Fundamentals; Springer: Berlin, Germany, 1988. [Google Scholar]
- Tang, S.; Zhu, B.; Jia, M.; He, Q.; Sun, S.; Mei, Y.; Zhou, L. Effective-medium theory for one-dimensional gratings. Phys. Rev. 2015, 91, 174201. [Google Scholar] [CrossRef]
- Lalanne, P. Effective medium theory applied to photonic crystals composed of cubic or square cylinders. Appl. Opt. 1996, 35, 5369–5380. [Google Scholar] [CrossRef]
- Jetté-Charbonneau, S.; Charbonneau, R.; Lahoud, N.; Mattiussi, G.; Berini, P. Demonstration of Bragg gratings based on long-ranging surface plasmon polariton waveguides. Opt. Express 2005, 13, 4674–4682. [Google Scholar] [CrossRef] [PubMed]
- Zhang, Y.; Zhou, C.; Xia, L.; Yu, X.; Liu, D. Wagon wheel fiber based multichannel plasmonic sensor. Opt. Express 2011, 19, 22863. [Google Scholar] [CrossRef] [PubMed]
- Hu, T.; Zhao, Y.; Song, A.n. Fiber optic SPR sensor for refractive index and temperature measurement based on MMF-FBG-MMF structure. Sens. Actuators Chem. 2016, 237, 521–525. [Google Scholar] [CrossRef]
- Azab, M.Y.; Hameed, M.F.O.; Obayya, S.S.A. Multi-functional optical sensor based on plasmonic photonic liquid crystal fibers. Opt. Quantum Electron 2017, 49, 49. [Google Scholar] [CrossRef]
- Feng, X.; Yang, M.; Luo, Y.; Tang, J.; Guan, H.; Fang, J.; Lu, H.; Yu, J.; Zhang, J.; Chen, Z. Multi-functional optical sensor based on plasmonic photonic liquid crystal fibers. Opt. Quantum Electron. 2017, 49, 1–12. [Google Scholar]
- Zhang, W.; Lian, Z.; Benson, T.; Wang, X.; Lou, S. A refractive index sensor based on a D-shaped photonic crystal fiber with a nanoscale gold belt. Opt. Quantum Electron. 2018, 50, 1–12. [Google Scholar] [CrossRef]
- Khanikar, T.; Singh, V.K. Gold grating assisted SPR based D-shaped single mode fiber for detection of liquid refractive index. Opt. Quantum Electron. 2019, 51, 1–10. [Google Scholar] [CrossRef]
- Zhao, X.; Zhang, X.; Zhu, X.S.; Shi, Y.W. Long-range surface plasmon resonance sensor based on the GK570/Ag coated hollow fiber with an asymmetric layer structure. Opt. Express 2019, 27, 9550. [Google Scholar] [CrossRef]
- Wang, Q.; Jing, J.Y.; Wang, X.Z.; Niu, L.Y.; Zhao, W.M. A D-shaped Fiber Long-range Surface Plasmon Resonance Sensor with High Q-factor and Temperature Self-compensation. IEEE Trans. Instrum. Meas. 2019. [Google Scholar] [CrossRef]
- Wang, Q.; Jing, J.Y.; Zhao, W.M.; Fan, X.C.; Wang, X.Z. A Novel Fiber-Based Symmetrical Long-Range Surface Plasmon Resonance Biosensor with High Quality Factor and Temperature Self-Reference. IEEE Trans. Nanotechnol. 2019, 18, 1137–1143. [Google Scholar] [CrossRef]








| Description | RI Range | (nm/RIU) | FWHM (nm) | RES (RIU) | FOM (RIU) | Ref. | Year |
|---|---|---|---|---|---|---|---|
| SPR sensor based on H-shaped fiber with high RI dielectric layer (TiO) on top of the metal layer. | 1.32 to 1.33 | 5100 | NA * | NA * | NA * | [25] | 2011 |
| LRSPR sensor based on dielectric/silver coated hollow fiber. | 1.518 to 1.576 | 6600 | 100 | 1.51 × 10 | 78 | [21] | 2015 |
| Fiber optic SPR sensor based on MMF-FBG-MMF structure. | 1.333 to 1.380 | 2557 | 170 | 0.2 × 10 | 15 | [39] | 2016 |
| SPR-based PCF sensor with NLC core. | 1.33 to 1.34 | 3900 | NA * | 2.56 × 10 | NA * | [40] | 2017 |
| LRSPR sensor using a side polished fiber with the buffer layer of magnesium fluoride. | 1.33 to 1.38 | 3628 | 34 | 2.75 × 10 | 154 | [41] | 2017 |
| RI sensor based on a D-shaped PCF with a nanoscale gold belt. | 1.2 to 1.4 | 3751 | NA * | 1 × 10 | NA * | [42] | 2018 |
| SPR-based D-shaped single mode fiber sensor with a gold grating over the polished fiber surface. | 1.33 to 1.34 | 7590 | NA * | 1.31 × 10 | NA * | [43] | 2019 |
| LRSPR sensor based on GK570/Silver coated hollow fiber (HF) with an asymmetric layer structure. | 1.4772 to 1.5116 | 12,500 | 83 | 0.8 × 10 | 150 | [44] | 2019 |
| A D-shaped Fiber LRSPR Sensor with High Q-factor. | 1.332 to 1.382 | 3627.51 | 81 | 2.76 × 10 | 53 | [45] | 2019 |
| A fiber-based symmetrical LRSPR biosensor with high Q-Factor. | 1.33 to 1.38 | 3499 | 76 | 2.86 × 10 | 46 | [46] | 2019 |
| LRSPR in H-shaped MOF with symmetrical dielectric–metal–dielectric waveguide. | 1.33 to 1.39 | 7540 | 27 | 1.3 × 10 | 280 | This work | |
© 2020 by the authors. Licensee MDPI, Basel, Switzerland. This article is an open access article distributed under the terms and conditions of the Creative Commons Attribution (CC BY) license (http://creativecommons.org/licenses/by/4.0/).
Share and Cite
Gomez-Cardona, N.; Reyes-Vera, E.; Torres, P. High Sensitivity Refractive Index Sensor Based on the Excitation of Long-Range Surface Plasmon Polaritons in H-Shaped Optical Fiber. Sensors 2020, 20, 2111. https://doi.org/10.3390/s20072111
Gomez-Cardona N, Reyes-Vera E, Torres P. High Sensitivity Refractive Index Sensor Based on the Excitation of Long-Range Surface Plasmon Polaritons in H-Shaped Optical Fiber. Sensors. 2020; 20(7):2111. https://doi.org/10.3390/s20072111
Chicago/Turabian StyleGomez-Cardona, Nelson, Erick Reyes-Vera, and Pedro Torres. 2020. "High Sensitivity Refractive Index Sensor Based on the Excitation of Long-Range Surface Plasmon Polaritons in H-Shaped Optical Fiber" Sensors 20, no. 7: 2111. https://doi.org/10.3390/s20072111
APA StyleGomez-Cardona, N., Reyes-Vera, E., & Torres, P. (2020). High Sensitivity Refractive Index Sensor Based on the Excitation of Long-Range Surface Plasmon Polaritons in H-Shaped Optical Fiber. Sensors, 20(7), 2111. https://doi.org/10.3390/s20072111

