Corrosion-Induced Mass Loss Measurement under Strain Conditions through Gr/AgNW-Based, Fe-C Coated LPFG Sensors
Abstract
1. Introduction
2. Materials and Methods
2.1. Long Period Fiber Gratings (LPFG) Sensor
2.2. Graphene/Silver Nanowires (Gr/AgNW) Transparent Electrode
2.3. Fe-C Electroplating on a Gr/AgNW Film of the LPFG Sensor
3. Experimental Setup
4. Results and Discussion
4.1. Characterization of the Crack Distribution on Fe-C Layer
4.2. Transmission Spectra of the Corrosion Sensors
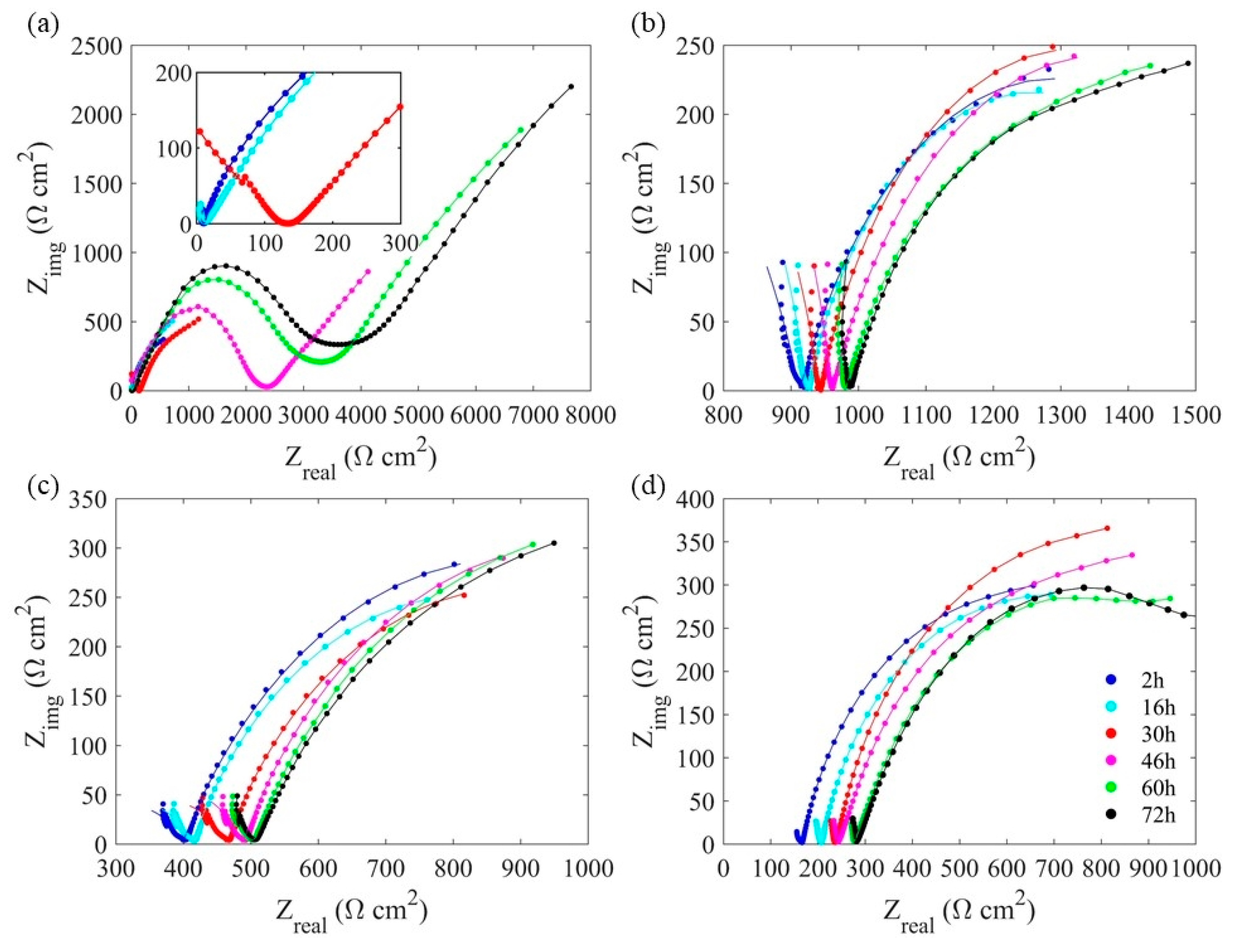
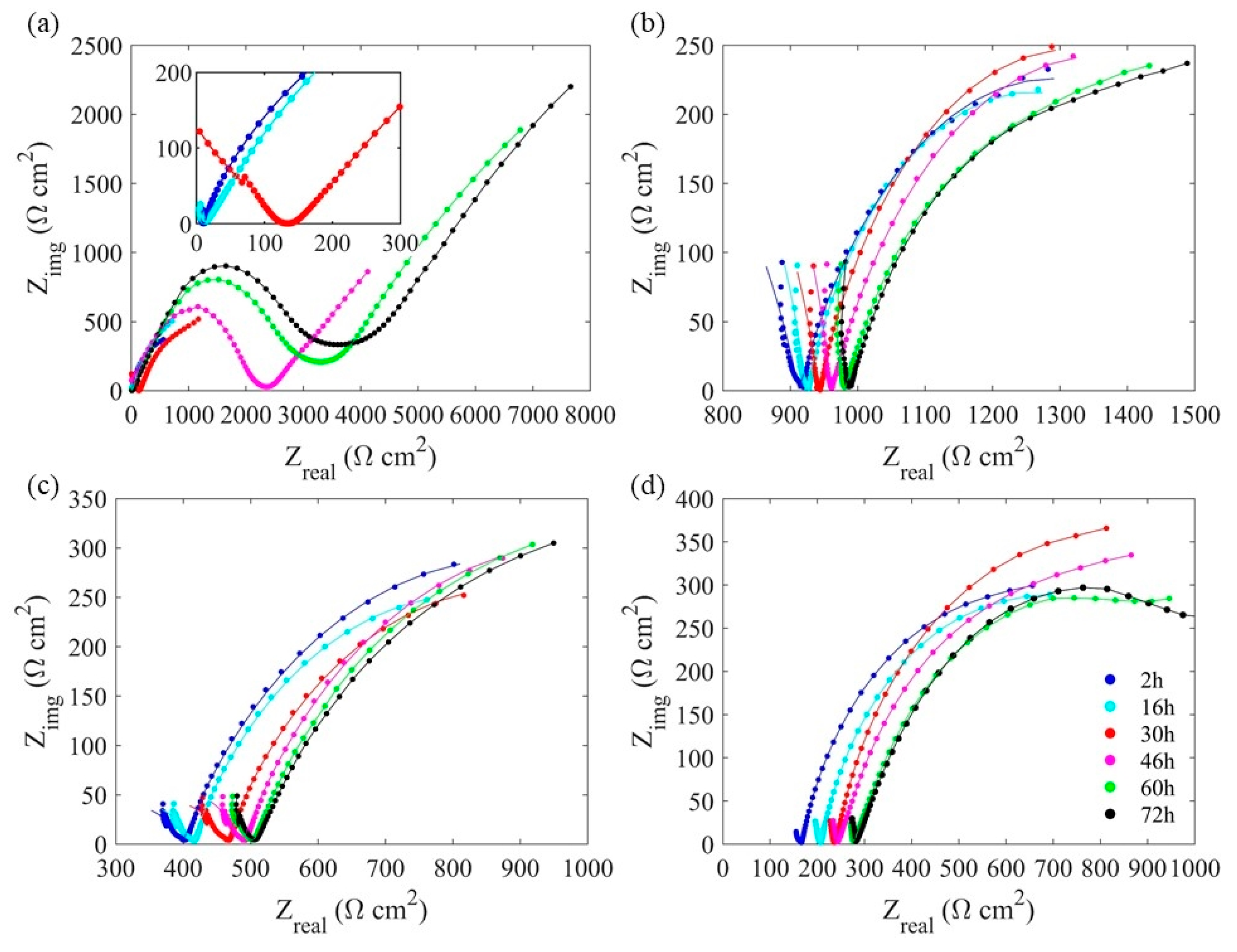
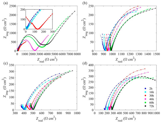
4.3. Electrochemical Impedance Spectroscopy (EIS)
4.4. Correlations between the Mass Loss and the Resonant Wavelength Shift
4.5. Modified Correlation Between the Mass Loss and Resonant Wavelength Shift
5. Conclusions
- Under tensile loads, transverse cracks appear first on the Fe-C layer of LPFG sensors and are followed by the emerging of longitudinal cracks. As the applied strain increases from 500 to 1500 µε, the mean width of transverse cracks on three Fe-C layers increases linearly from 7.7 to 17.9 µm, and the mean spacing between the transverse cracks decreased from 0.75 to 0.59 mm. As the applied strain increases from 1000 to 1500 µε, the mean width of longitudinal cracks on the three Fe-C layers increases slightly from 4.4 to 4.7 µm, and the mean length of the longitudinal cracks increases dramatically from 255 to 770 µm. The spacing of transverse cracks and the length of longitudinal cracks are likely determined by the bond strength at the weak interface between the optical fiber and the laminate Fe-C and Gr/AgNW layer structure.
- The correlation curve between the shift in resonant wavelength of a Fe-C coated LPFG sensor and the Fe-C mass loss can be divided into three stages with low, high and zero wavelength sensitivities to the mass loss, respectively. Stages I and II are dominated by the effect of Fe-C layer thinning and NaCl solution saturation on the evanescent field in the proximity of the LPFG sensor. Stage III represents a near completion of corrosion process in the Fe-C layer and the LPFG sensor becomes fully submerged in the NaCl solution. At zero strain, uniform corrosion occurs on the surface of the Fe-C layer in Stage I until locally breached. Once the Fe-C layer is fully penetrated, NaCl solution reaches the surface of the LPFG sensor both perpendicularly at the penetration points and laterally along the weak interface between the optical fiber and the Gr/AgNW film in Stage II. Under strained conditions, the NaCl solution penetrates the Fe-C layer locally through the strain-induced cracks from the beginning of corrosion process.
- For practical applications, the Fe-C mass loss is related to the shift in resonant wavelength of the Fe-C coated LPFG sensor under 0, 500, 1000 and 1500 µε strain conditions. The mean mass loss sensitivity to the shift in resonant wavelength from three test samples decreases linearly from 10.99 nm−1 at zero strain to 8.93 nm−1 at 1500 µε in Stage I, and increase almost linearly from 2.89 nm−1 at zero strain to 8.47 nm−1 at 1500 µε in Stage II. The specific correlation equation at zero strain and the general correlation equation taking strain effect into account are compared and validated at 700 and 1200 µε, which represent two application cases in practice. The maximum error in mass loss estimation from the zero-strain correlation is 36.2% at 700 µε and 46.5% at 1200 µε. By using the general correlation equation, the maximum error in mass loss estimation is reduced to 2.2% at 700 µε and 2.5% at 1200 µε.
Author Contributions
Funding
Acknowledgments
Conflicts of Interest
References
- Zaki, A.; Chai, H.K.; Aggelis, D.G.; Alver, N. Non-destructive evaluation for corrosion monitoring in concrete: A review and capability of acoustic emission technique. Sensors 2015, 15, 19069–19101. [Google Scholar] [CrossRef] [PubMed]
- Austin, S.A.; Lyons, R.; Ing, M.J. Electrochemical behavior of steel-reinforced concrete during accelerated corrosion testing. Corrosion 2004, 60, 203–212. [Google Scholar] [CrossRef]
- Maalej, M.; Ahmed, S.F.U.; Kuang, K.S.C.; Paramasivam, P. Fiber Optic Sensing for Monitoring Corrosion-Induced Damage. Struct. Heal. Monit. 2004, 3, 165–176. [Google Scholar] [CrossRef]
- Zhao, X.; Gong, P.; Qiao, G.; Lu, J.; Lv, X.; Ou, J. Brillouin corrosion expansion sensors for steel reinforced concrete structures using a fiber optic coil winding method. Sensors 2011, 11, 10798–10819. [Google Scholar] [CrossRef] [PubMed]
- Moniruzzaman, M.; Rock, J. Azobenzene-Based Gel Coated Fibre Bragg Grating Sensor for Moisture Measurement. Int. J. Polym. Sci. 2016, 2016, 1–7. [Google Scholar] [CrossRef]
- Huang, Y.; Gao, Z.; Chen, G.; Xiao, H. Long period fiber grating sensors coated with nano iron/silica particles for corrosion monitoring. Smart Mater. Struct. 2013, 22, 75018. [Google Scholar] [CrossRef]
- Chen, Y.; Tang, F.; Bao, Y.; Tang, Y.; Chen, G. A Fe-C coated long-period fiber grating sensor for corrosion-induced mass loss measurement. Opt. Lett. 2016, 41, 2306–2309. [Google Scholar] [CrossRef]
- Guo, C.; Fan, L.; Wu, C.; Chen, G.; Li, W. Ultrasensitive LPFG corrosion sensor with Fe-C coating electroplated on a Gr/AgNW film. Sens. Actuators B Chem. 2019, 283, 334–342. [Google Scholar] [CrossRef]
- Vengsarkar, A.M.; Lemaire, P.J.; Judkins, J.B.; Bhatia, V.; Erdogan, T.; Sipe, J.E. Long-period fiber gratings as band-rejection filters. J. Light. Technol. 1996, 14, 58–64. [Google Scholar] [CrossRef]
- Guo, T.; González-Vila, Á.; Loyez, M.; Caucheteur, C. Plasmonic optical fiber-grating Immunosensing: A review. Sensors 2017, 17, 2732. [Google Scholar] [CrossRef]
- Cooper, K.R.; Elster, J.; Jones, M.; Kelly, R.G. Optical fiber-based corrosion sensor systems for health monitoring of aging aircraft. In Proceedings of the 2001 IEEE Autotestcon Proceedings. IEEE Systems Readiness Technology Conference. (Cat. No.01CH37237), Valley Forge, PA, USA, 20–23 August 2001; pp. 847–856. [Google Scholar]
- Tang, F.; Chen, Y.; Li, Z.; Tang, Y.; Chen, G. Application of Fe-C coated LPFG sensor for early stage corrosion monitoring of steel bar in RC structures. Constr. Build. Mater. 2018, 175, 14–25. [Google Scholar] [CrossRef]
- Hine, A.V.; Chen, X.; Hughes, M.D.; Zhou, K.; Davies, E.; Sugden, K.; Bennion, I.; Zhang, L. Optical fibre-based detection of DNA hybridization. Biochem. Soc. Trans. 2009, 37, 445–449. [Google Scholar] [CrossRef] [PubMed]
- Rego, G. A review of refractometric sensors based on long period fibre gratings. Sci. World J. 2013, 2013, 1–14. [Google Scholar] [CrossRef] [PubMed]
- Chen, Y.; Tang, F.; Tang, Y.; O’Keefe, M.J.; Chen, G. Mechanism and sensitivity of Fe-C coated long period fiber grating sensors for steel corrosion monitoring of RC structures. Corros. Sci. 2017, 127, 70–81. [Google Scholar] [CrossRef]
- Christianson, C.; Goldberg, N.N.; Deheyn, D.D.; Cai, S.; Tolley, M.T. Translucent soft robots driven by frameless fluid electrode dielectric elastomer actuators. Sci. Robot. 2018, 3, eaat1893. [Google Scholar] [CrossRef]
- Kim, C.-L.; Jung, C.-W.; Oh, Y.-J.; Kim, D.-E. A highly flexible transparent conductive electrode based on nanomaterials. NPG Asia Mater. 2017, 9, e438. [Google Scholar] [CrossRef]
- Lee, D.; Lee, H.; Ahn, Y.; Lee, Y. High-performance flexible transparent conductive film based on graphene/AgNW/graphene sandwich structure. Carbon 2015, 81, 439–446. [Google Scholar] [CrossRef]
- Hu, L.; Kim, H.S.; Lee, J.; Peumans, P.; Cui, Y. Scalable Coating and Properties of transparent Ag nanowire. ACS Nano 2010, 4, 2955–2963. [Google Scholar] [CrossRef]
- Xu, Y.; Wang, Y.; Liang, J.; Huang, Y.; Ma, Y.; Wan, X.; Chen, Y. A hybrid material of graphene and poly (3,4-ethyldioxythiophene) with high conductivity, flexibility, and transparency. Nano Res. 2009, 2, 343–348. [Google Scholar] [CrossRef]
- Novoselov, K.S.; Jiang, D.; Schedin, F.; Booth, T.J.; Khotkevich, V.V.; Morozov, S.V.; Geim, A.K. Two-dimensional atomic crystals. Proc. Natl. Acad. Sci. USA 2005, 102, 10451–10453. [Google Scholar] [CrossRef]
- Geim, A.K. Graphene: Status and prospects. Science 2009, 324, 1530–1534. [Google Scholar] [CrossRef] [PubMed]
- Ferrari, A.C.; Meyer, J.C.; Scardaci, V.; Casiraghi, C.; Lazzeri, M.; Mauri, F.; Piscanec, S.; Jiang, D.; Novoselov, K.S.; Roth, S. Raman spectrum of graphene and graphene layers. Phys. Rev. Lett. 2006, 97, 187401. [Google Scholar] [CrossRef] [PubMed]
- Shintake, J.; Rosset, S.; Schubert, B.; Floreano, D.; Shea, H. Versatile Soft Grippers with Intrinsic Electroadhesion Based on Multifunctional Polymer Actuators. Adv. Mater. 2016, 28, 231–238. [Google Scholar] [CrossRef] [PubMed]
- Rogers, J.A.; Someya, T.; Huang, Y. Materials and mechanics for stretchable electronics. Science 2010, 327, 1603–1607. [Google Scholar] [CrossRef]
- Shian, S.; Diebold, R.M.; Clarke, D.R. Tunable lenses using transparent dielectric elastomer actuators. Opt. Express 2013, 21, 8669–8676. [Google Scholar] [CrossRef]
- Kim, K.S.; Zhao, Y.; Jang, H.; Lee, S.Y.; Kim, J.M.; Kim, K.S.; Ahn, J.H.; Kim, P.; Choi, J.Y.; Hong, B.H. Large-scale pattern growth of graphene films for stretchable transparent electrodes. Nature 2009, 457, 706–710. [Google Scholar] [CrossRef]
- Mattevi, C.; Kim, H.; Chhowalla, M. A review of chemical vapour deposition of graphene on copper. J. Mater. Chem. 2011, 21, 3324–3334. [Google Scholar] [CrossRef]
- Guo, W.; Wu, B.; Wang, S.; Liu, Y. Controlling Fundamental Fluctuations for Reproducible Growth of Large Single-Crystal Graphene. ACS Nano 2018, 12, 1778–1784. [Google Scholar] [CrossRef]
- Wei, N.; Yu, L.; Sun, Z.; Song, Y.; Wang, M.; Tian, Z.; Xia, Y.; Cai, J.; Li, Y.; Zhao, L.; et al. Scalable Salt-Templated Synthesis of Nitrogen-Doped Graphene Nanosheets toward Printable Energy Storage. ACS Nano 2019, 13, 7517–7526. [Google Scholar] [CrossRef]
- Kotakoski, J.; Meyer, J.C. Mechanical properties of polycrystalline graphene based on a realistic atomistic model. Phys. Rev. B Condens. Matter Mater. Phys. 2012, 85, 1–6. [Google Scholar] [CrossRef]
- Sun, J.; Deng, S.; Guo, W.; Zhan, Z.; Deng, J.; Xu, C.; Fan, X.; Xu, K.; Guo, W.; Huang, Y.; et al. Electrochemical bubbling transfer of graphene using a polymer support with encapsulated air gap as permeation stopping layer. J. Nanomater. 2016, 2016, 1–7. [Google Scholar] [CrossRef]
- Langley, D.; Giusti, G.; Mayousse, C.; Celle, C.; Bellet, D.; Simonato, J.-P. Flexible transparent conductive materials based on silver nanowire networks: A review. Nanotechnology 2013, 24, 452001. [Google Scholar] [CrossRef] [PubMed]
- Fan, L.; Tang, F.; Reis, S.T.; Chen, G.; Koenigstein, M.L. Corrosion resistances of steel pipes internally coated with enamel. Corrosion 2017, 73, 1335–1345. [Google Scholar] [CrossRef]
- Fan, L.; Reis, S.T.; Chen, G.; Koenigstein, M.L. Corrosion resistance of pipeline steel with damaged enamel coating and cathodic protection. Coatings 2018, 8, 185. [Google Scholar] [CrossRef]
- Fan, L.; Meng, W.; Teng, L.; Khayat, K.H. Effect of steel fibers with galvanized coatings on corrosion of steel bars embedded in UHPC. Compos. Part B Eng. 2019, 177, 107445. [Google Scholar] [CrossRef]
- Huang, Y.; Chen, B.; Chen, G.; Xiao, H.; Khan, S.U. Simultaneous detection of liquid level and refractive index with a long-period fiber grating based sensor device. Meas. Sci. Technol. 2013, 24, 095303. [Google Scholar] [CrossRef]
















| Δλ (nm) | ηc1 | 700 µε | 1200 µε | ||||||
|---|---|---|---|---|---|---|---|---|---|
| η m | Error | ηc2 | Error | ηm | Error | ηc2 | Error | ||
| 2 | 27.1 | 19.9 | 36.2% | 20.2 | 1.3% | 18.5 | 46.5% | 18.1 | 1.9% |
| 4 | 49.1 | 39.5 | 24.3% | 40.5 | 2.2% | 37.2 | 32.0% | 37.9 | 1.7% |
| 6 | 71.0 | 59.8 | 18.7% | 60.6 | 1.4% | 55.2 | 28.6% | 56.7 | 2.5% |
| 8 | 93.1 | 80.1 | 16.2% | 78.8 | 1.2% | 73.4 | 26.8% | 75.2 | 2.2% |
© 2020 by the authors. Licensee MDPI, Basel, Switzerland. This article is an open access article distributed under the terms and conditions of the Creative Commons Attribution (CC BY) license (http://creativecommons.org/licenses/by/4.0/).
Share and Cite
Guo, C.; Fan, L.; Chen, G. Corrosion-Induced Mass Loss Measurement under Strain Conditions through Gr/AgNW-Based, Fe-C Coated LPFG Sensors. Sensors 2020, 20, 1598. https://doi.org/10.3390/s20061598
Guo C, Fan L, Chen G. Corrosion-Induced Mass Loss Measurement under Strain Conditions through Gr/AgNW-Based, Fe-C Coated LPFG Sensors. Sensors. 2020; 20(6):1598. https://doi.org/10.3390/s20061598
Chicago/Turabian StyleGuo, Chuanrui, Liang Fan, and Genda Chen. 2020. "Corrosion-Induced Mass Loss Measurement under Strain Conditions through Gr/AgNW-Based, Fe-C Coated LPFG Sensors" Sensors 20, no. 6: 1598. https://doi.org/10.3390/s20061598
APA StyleGuo, C., Fan, L., & Chen, G. (2020). Corrosion-Induced Mass Loss Measurement under Strain Conditions through Gr/AgNW-Based, Fe-C Coated LPFG Sensors. Sensors, 20(6), 1598. https://doi.org/10.3390/s20061598

