Single Remote Sensing Image Super-Resolution with an Adaptive Joint Constraint Model
Abstract
1. Introduction
2. Related Work
3. Proposed Method
3.1. The Compact Dictionary Learning
3.2. The Joint Priors
3.2.1. The Nonlocal Self-Similarity Prior
3.2.2. The Local Structure Prior
| Algorithm 1 The calculation of the local structure filter E. |
| Input: Z |
| Output: E |
3.3. Regularized Parameter Settings
| Algorithm 2 Details of solution. |
|
4. Experimental Results
4.1. Experimental Setting
4.2. Parameters Setting
4.3. Comparison with Different Traditional Methods
4.3.1. Noiseless Remote Sensing Images
4.3.2. Noisy Remote Sensing Images
4.4. Comparison with Different Deep Learning Methods
4.5. Comparison with Different Methods on Datasets
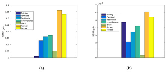
4.6. The Effectiveness of Joint Constraint
4.7. The Effectiveness of Adaptive Parameters
4.8. Complexity Analysis
5. Conclusions
Author Contributions
Funding
Conflicts of Interest
References
- Lu, X.; Zheng, X.; Yuan, Y. Remote sensing scene classification by unsupervised representation learning. IEEE Trans. Geosci. Remote. Sens. 2017, 55, 5148–5157. [Google Scholar] [CrossRef]
- Zhu, Q.; Zhong, Y.; Wu, S.; Zhang, L.; Li, D. Scene Classification Based on the Sparse Homogeneous–Heterogeneous Topic Feature Model. IEEE Trans. Geosci. Remote. Sens. 2018, 56, 2689–2703. [Google Scholar] [CrossRef]
- Belward, A.S.; Skøien, J.O. Who launched what, when and why; trends in global land-cover observation capacity from civilian earth observation satellites. ISPRS J.Photogramm. Remote. Sens. 2015, 103, 115–128. [Google Scholar] [CrossRef]
- Duan, H.; Gan, L. Elitist chemical reaction optimization for contour-based target recognition in aerial images. IEEE Trans. Geosci. Remote. Sens. 2015, 53, 2845–2859. [Google Scholar] [CrossRef]
- Pei, J.; Huang, Y.; Huo, W.; Zhang, Y.; Yang, J.; Yeo, T.S. SAR Automatic Target Recognition Based on Multiview Deep Learning Framework. IEEE Trans. Geosci. Remote. Sens. 2018, 56, 2196–2210. [Google Scholar] [CrossRef]
- Haut, J.M.; Fernandez-Beltran, R.; Paoletti, M.E.; Plaza, J.; Plaza, A.; Pla, F. A new deep generative network for unsupervised remote sensing single-image super-resolution. IEEE Trans. Geosci. Remote. Sens. 2018, 56, 6792–6810. [Google Scholar] [CrossRef]
- Hou, B.; Zhou, K.; Jiao, L. Adaptive Super-Resolution for Remote Sensing Images Based on Sparse Representation With Global Joint Dictionary Model. IEEE Trans. Geosci. Remote. Sens. 2018, 56, 2312–2327. [Google Scholar] [CrossRef]
- Feng, R.; Zhong, Y.; Xu, X.; Zhang, L. Adaptive sparse subpixel mapping with a total variation model for remote sensing imagery. IEEE Trans. Geosci. Remote. Sens. 2016, 54, 2855–2872. [Google Scholar] [CrossRef]
- Li, F.; Jia, X.; Fraser, D.; Lambert, A. Super resolution for remote sensing images based on a universal hidden Markov tree model. IEEE Trans. Geosci. Remote. Sens. 2010, 48, 1270–1278. [Google Scholar]
- Sadjadi, F.A. Seeing through degraded visual environment. In Proceedings of the Automatic Target Recognition XXII. International Society for Optics and Photonics, Baltimore, MD, USA, 11 May 2012; Volume 8391, p. 839106. [Google Scholar]
- Chen, J.; Nunez-Yanez, J.; Achim, A. Video super-resolution using low rank matrix completion. In Proceedings of the 2013 IEEE International Conference on Image Processing, Melbourne, Australia, 15–18 September 2013; pp. 1376–1380. [Google Scholar]
- Liu, X.; Chen, L.; Wang, W.; Zhao, J. Robust Multi-Frame Super-Resolution Based on Spatially Weighted Half-Quadratic Estimation and Adaptive BTV Regularization. IEEE Trans. Image Process. 2018, 27, 4971–4986. [Google Scholar] [CrossRef]
- Tsai, R. Multiframe image restoration and registration. Adv. Comput. Vis. Image Process. 1984, 1, 317–339. [Google Scholar]
- Huang, Y.; Wang, W.; Wang, L. Bidirectional recurrent convolutional networks for multi-frame super-resolution. In Proceedings of the Advances in Neural Information Processing Systems, Montreal, QC, Canada, 7–12 December 2015; pp. 235–243. [Google Scholar]
- Farsiu, S.; Robinson, M.D.; Elad, M.; Milanfar, P. Fast and robust multiframe super resolution. IEEE Trans. Image Process. 2004, 13, 1327–1344. [Google Scholar] [CrossRef] [PubMed]
- Patanavijit, V.; Jitapunkul, S. A robust iterative multiframe super-resolution reconstruction using a Huber Bayesian approach with Huber-Tikhonov regularization. In Proceedings of the International Symposium on Intelligent Signal Processing and Communications, Tottori, Japan, 12–15 December 2006; pp. 13–16. [Google Scholar]
- Wang, W.; Ren, C.; He, X.; Chen, H.; Qing, L. Video Super-Resolution via Residual Learning. IEEE Access 2018, 6, 23767–23777. [Google Scholar] [CrossRef]
- Ren, C.; He, X.; Nguyen, T.Q. Single image super-resolution via adaptive high-dimensional non-local total variation and adaptive geometric feature. IEEE Trans. Image Process. 2017, 26, 90–106. [Google Scholar] [CrossRef] [PubMed]
- Ren, C.; He, X.; Nguyen, T.Q. Adjusted Non-Local Regression and Directional Smoothness for Image Restoration. IEEE Trans. Multimed. 2019, 21, 731–745. [Google Scholar] [CrossRef]
- Ren, C.; He, X.; Teng, Q.; Wu, Y.; Nguyen, T.Q. Single image super-resolution using local geometric duality and non-local similarity. IEEE Trans. Image Process. 2016, 25, 2168–2183. [Google Scholar] [CrossRef] [PubMed]
- Ren, C.; He, X.; Pu, Y. Nonlocal Similarity Modeling and Deep CNN Gradient Prior for Super Resolution. IEEE Signal Process. Lett. 2018, 25, 916–920. [Google Scholar] [CrossRef]
- Yang, J.; Wright, J.; Huang, T.S.; Ma, Y. Image super-resolution via sparse representation. IEEE Trans. Image Process. 2010, 19, 2861–2873. [Google Scholar] [CrossRef]
- Huang, S.; Sun, J.; Yang, Y.; Fang, Y.; Lin, P.; Que, Y. Robust Single-Image Super-Resolution Based on Adaptive Edge-Preserving Smoothing Regularization. IEEE Trans. Image Process. 2018, 27, 2650–2663. [Google Scholar] [CrossRef]
- Li, X.; Orchard, M.T. New edge-directed interpolation. IEEE Trans. Image Process. 2001, 10, 1521–1527. [Google Scholar]
- Zhang, Y.; Fan, Q.; Bao, F.; Liu, Y.; Zhang, C. Single-Image Super-Resolution Based on Rational Fractal Interpolation. IEEE Trans. Image Process. 2018, 27, 3782–3797. [Google Scholar] [PubMed]
- Tai, Y.W.; Liu, S.; Brown, M.S.; Lin, S. Super resolution using edge prior and single image detail synthesis. In Proceedings of the 2010 IEEE Computer Society Conference on Computer Vision and Pattern Recognition, San Francisco, CA, USA, 13–18 June 2010; pp. 2400–2407. [Google Scholar]
- Timofte, R.; De Smet, V.; Van Gool, L. Anchored neighborhood regression for fast example-based super-resolution. In Proceedings of the IEEE International Conference on Computer Vision, Sydney, NSW, Australia, 1–8 December 2013; pp. 1920–1927. [Google Scholar]
- Peleg, T.; Elad, M. A statistical prediction model based on sparse representations for single image super-resolution. IEEE Trans. Image Process. 2014, 23, 2569–2582. [Google Scholar] [CrossRef]
- Gou, S.; Liu, S.; Yang, S.; Jiao, L. Remote sensing image super-resolution reconstruction based on nonlocal pairwise dictionaries and double regularization. IEEE J. Sel. Top. Appl. Earth Obs. Remote. Sens. 2014, 7, 4784–4792. [Google Scholar] [CrossRef]
- Dong, W.; Zhang, L.; Shi, G.; Wu, X. Image deblurring and super-resolution by adaptive sparse domain selection and adaptive regularization. IEEE Trans. Image Process. 2011, 20, 1838–1857. [Google Scholar] [CrossRef] [PubMed]
- Dong, W.; Zhang, L.; Shi, G.; Li, X. Nonlocally centralized sparse representation for image restoration. IEEE Trans. Image Process. 2013, 22, 1620–1630. [Google Scholar] [CrossRef] [PubMed]
- Dong, C.; Loy, C.C.; He, K.; Tang, X. Image super-resolution using deep convolutional networks. IEEE Trans. Pattern Anal. Mach. Intell. 2016, 38, 295–307. [Google Scholar] [CrossRef] [PubMed]
- Li, J.; Yuan, Q.; Shen, H.; Meng, X.; Zhang, L. Hyperspectral Image Super-Resolution by Spectral Mixture Analysis and Spatial-Spectral Group Sparsity. IEEE Geosci. Remote Sens. Lett. 2016, 13, 1250–1254. [Google Scholar] [CrossRef]
- Tai, Y.; Yang, J.; Liu, X. Image super-resolution via deep recursive residual network. In Proceedings of the IEEE Conference on Computer Vision and Pattern Recognition, Honolulu, HI, USA, 21–26 July 2017; pp. 3147–3155. [Google Scholar]
- Ledig, C.; Theis, L.; Huszár, F.; Caballero, J.; Cunningham, A.; Acosta, A.; Aitken, A.; Tejani, A.; Totz, J.; Wang, Z.; et al. Photo-realistic single image super-resolution using a generative adversarial network. In Proceedings of the IEEE Conference on Computer Vision and Pattern Recognition, Honolulu, HI, USA, 21–26 July 2017; pp. 4681–4690. [Google Scholar]
- Mairal, J.; Bach, F.; Ponce, J.; Sapiro, G.; Zisserman, A. Non-local sparse models for image restoration. In Proceedings of the 2009 IEEE 12th International Conference on Computer Vision, Kyoto, Japan, 29 September–2 October 2009; pp. 2272–2279. [Google Scholar]
- Zeyde, R.; Elad, M.; Protter, M. On single image scale-up using sparse-representations. In Proceedings of the International Conference on Curves and Surfaces, Avignon, France, 24–30 June 2010; pp. 711–730. [Google Scholar]
- Vera-Candeas, P.; Ruiz-Reyes, N.; Rosa-Zurera, M.; Martinez-Munoz, D.; López-Ferreras, F. Transient modeling by matching pursuits with a wavelet dictionary for parametric audio coding. IEEE Signal Process. Lett. 2004, 11, 349–352. [Google Scholar] [CrossRef]
- Daubechies, I.; Defrise, M.; De Mol, C. An iterative thresholding algorithm for linear inverse problems with a sparsity constraint. Commun. Pure Appl. Math. 2004, 57, 1413–1457. [Google Scholar] [CrossRef]
- Aharon, M.; Elad, M.; Bruckstein, A. K-SVD: An algorithm for designing overcomplete dictionaries for sparse representation. IEEE Trans. Signal Process. 2006, 54, 4311–4322. [Google Scholar] [CrossRef]
- Lischinski, D.; Farbman, Z.; Uyttendaele, M.; Szeliski, R. Interactive local adjustment of tonal values. ACM Trans. Graph. (TOG) 2006, 25, 646–653. [Google Scholar] [CrossRef]
- Liu, X.; Tanaka, M.; Okutomi, M. Single-image noise level estimation for blind denoising. IEEE Trans. Image Process. 2013, 22, 5226–5237. [Google Scholar] [CrossRef] [PubMed]
- Papyan, V.; Elad, M. Multi-scale patch-based image restoration. IEEE Trans. Image Process. 2016, 25, 249–261. [Google Scholar] [CrossRef] [PubMed]
- Zhang, K.; Gao, X.; Tao, D.; Li, X. Single image super-resolution with non-local means and steering kernel regression. IEEE Trans. Image Process. 2012, 21, 4544–4556. [Google Scholar] [CrossRef]
- Li, Y.; Dong, W.; Shi, G.; Xie, X. Learning parametric distributions for image super-resolution: Where patch matching meets sparse coding. In Proceedings of the IEEE International Conference on Computer Vision, Santiago, Chile, 7–13 December 2015; pp. 450–458. [Google Scholar]
- Yang, Y.; Newsam, S. Bag-of-visual-words and spatial extensions for land-use classification. In Proceedings of the 18th SIGSPATIAL International Conference on Advances in Geographic Information Systems, San Jose, CA, USA, 2–5 November 2010; pp. 270–279. [Google Scholar]
- The USC-SIPI Image Database. Available online: http://sipi.usc.edu/database/database.php (accessed on 26 February 2020).
- Cheng, G.; Han, J.; Lu, X. Remote sensing image scene classification: Benchmark and state of the art. Proc. IEEE 2017, 105, 1865–1883. [Google Scholar] [CrossRef]
- Li, F.; Xin, L.; Guo, Y.; Gao, D.; Kong, X.; Jia, X. Super-resolution for GaoFen-4 remote sensing images. IEEE Geosci. Remote Sens. Lett. 2017, 15, 28–32. [Google Scholar] [CrossRef]
- Dong, W.; Zhang, L.; Lukac, R.; Shi, G. Sparse representation based image interpolation with nonlocal autoregressive modeling. IEEE Trans. Image Process. 2013, 22, 1382–1394. [Google Scholar] [CrossRef]
- Jiang, J.; Ma, X.; Chen, C.; Lu, T.; Wang, Z.; Ma, J. Single image super-resolution via locally regularized anchored neighborhood regression and nonlocal means. IEEE Trans. Multimed. 2017, 19, 15–26. [Google Scholar] [CrossRef]
- Wang, Z.; Bovik, A.C.; Sheikh, H.R.; Simoncelli, E.P. Image quality assessment: From error measurement to structural similarity. IEEE Trans. Image Process. 2004, 13, 600–612. [Google Scholar] [CrossRef]
- Veganzones, M.A.; Simoes, M.; Licciardi, G.; Yokoya, N.; Bioucas-Dias, J.M.; Chanussot, J. Hyperspectral super-resolution of locally low rank images from complementary multisource data. IEEE Trans. Image Process. 2016, 25, 274–288. [Google Scholar] [CrossRef]
- Lei, S.; Shi, Z.; Zou, Z. Super-resolution for remote sensing images via local–global combined network. IEEE Geosci. Remote Sens. Lett. 2017, 14, 1243–1247. [Google Scholar] [CrossRef]









| 10 | 30 | 50 | 70 | 90 | 110 | |
|---|---|---|---|---|---|---|
| 3 | 31.17 | 31.22 | 31.21 | 31.21 | 31.21 | 31.21 |
| 5 | 31.84 | 31.86 | 31.90 | 31.87 | 31.87 | 31.86 |
| 7 | 31.68 | 31.77 | 31.78 | 31.77 | 31.78 | 31.78 |
| 9 | 31.49 | 31.57 | 31.59 | 31.58 | 31.59 | 31.59 |
| Image | Bicubic | SRSC | ASDS | NARM | MSEPLL | LANR-NLM | Proposed Method |
|---|---|---|---|---|---|---|---|
| Aerial | 24.67 | 25.10 | 29.24 | 25.97 | 29.09 | 29.03 | 29.61 |
| 0.6537 | 0.6925 | 0.8242 | 0.6757 | 0.8138 | 0.8220 | 0.8355 | |
| 3.9962 | 3.8693 | 2.3713 | 3.6780 | 2.4803 | 2.4152 | 2.2616 | |
| Airplane | 26.27 | 26.95 | 30.95 | 27.20 | 31.45 | 30.69 | 32.19 |
| 0.7989 | 0.8205 | 0.8949 | 0.8108 | 0.8944 | 0.8919 | 0.9078 | |
| 2.6212 | 2.4746 | 1.4973 | 2.6506 | 1.5388 | 1.5706 | 1.3277 | |
| Building | 22.37 | 23.06 | 28.38 | 23.80 | 28.33 | 27.73 | 29.69 |
| 0.7016 | 0.7534 | 0.8958 | 0.7478 | 0.8813 | 0.8736 | 0.9295 | |
| 4.1124 | 3.9017 | 2.0649 | 3.7222 | 2.2919 | 2.1973 | 1.7704 | |
| Farmland | 28.35 | 28.72 | 33.50 | 29.84 | 33.74 | 33.39 | 34.41 |
| 0.7874 | 0.8080 | 0.8968 | 0.8021 | 0.8940 | 0.8957 | 0.9088 | |
| 2.7081 | 2.6418 | 1.4812 | 2.5845 | 1.4699 | 1.5164 | 1.3482 | |
| Residential | 22.12 | 22.35 | 27.26 | 23.69 | 27.34 | 26.69 | 28.13 |
| 0.6490 | 0.6797 | 0.8612 | 0.7079 | 0.8632 | 0.8421 | 0.8866 | |
| 6.6038 | 6.4314 | 3.6263 | 5.6736 | 3.6207 | 3.9071 | 3.3038 | |
| Harbor | 19.46 | 19.80 | 22.46 | 20.33 | 22.30 | 22.20 | 22.74 |
| 0.5839 | 0.6282 | 0.7774 | 0.6250 | 0.7575 | 0.7556 | 0.7954 | |
| 9.7545 | 9.5490 | 6.9617 | 9.0384 | 7.0954 | 7.1817 | 6.6975 | |
| Industrial-area | 24.36 | 24.77 | 28.20 | 25.34 | 28.02 | 27.80 | 28.77 |
| 0.5826 | 0.6287 | 0.7951 | 0.6225 | 0.7870 | 0.7818 | 0.8154 | |
| 4.1738 | 4.0708 | 2.6768 | 3.9101 | 2.7803 | 2.7963 | 2.5078 | |
| Island | 42.05 | 42.46 | 44.55 | 41.76 | 44.04 | 45.54 | 45.28 |
| 0.9651 | 0.9678 | 0.9775 | 0.9611 | 0.9755 | 0.9821 | 0.9798 | |
| 0.6397 | 0.6282 | 0.4730 | 1.2450 | 0.4727 | 0.4299 | 0.4444 | |
| Meadow | 32.81 | 33.14 | 35.66 | 32.89 | 35.72 | 35.82 | 35.94 |
| 0.8231 | 0.8391 | 0.8960 | 0.8134 | 0.9005 | 0.9016 | 0.8994 | |
| 2.4863 | 2.4410 | 1.7647 | 2.6757 | 1.6946 | 1.7657 | 1.7365 | |
| Mountain | 28.65 | 28.92 | 34.49 | 30.26 | 34.56 | 34.38 | 34.81 |
| 0.7410 | 0.7677 | 0.8996 | 0.7660 | 0.8975 | 0.9022 | 0.9063 | |
| 3.2698 | 3.2337 | 1.6807 | 3.0163 | 1.7413 | 1.6866 | 1.6089 | |
| Parking-lot | 20.44 | 20.94 | 24.73 | 21.68 | 24.51 | 24.19 | 25.06 |
| 0.5741 | 0.6324 | 0.8019 | 0.6212 | 0.7805 | 0.7831 | 0.8225 | |
| 7.9069 | 7.6570 | 4.9041 | 7.1071 | 5.1441 | 5.1708 | 4.6497 | |
| River | 28.41 | 28.89 | 31.81 | 28.79 | 31.53 | 31.31 | 32.09 |
| 0.7459 | 0.7761 | 0.8710 | 0.7492 | 0.8651 | 0.8635 | 0.8780 | |
| 3.6894 | 3.5537 | 2.4926 | 3.7640 | 2.5060 | 2.6506 | 2.4179 | |
| Runway | 27.08 | 27.44 | 31.94 | 28.47 | 31.56 | 30.93 | 32.49 |
| 0.7765 | 0.7988 | 0.8861 | 0.8078 | 0.8726 | 0.8696 | 0.9031 | |
| 3.2369 | 3.1714 | 1.8489 | 2.9907 | 1.9089 | 2.0770 | 1.7356 | |
| Storage-tank | 26.28 | 26.71 | 31.88 | 27.77 | 31.94 | 31.08 | 33.11 |
| 0.8143 | 0.8349 | 0.9224 | 0.8353 | 0.9264 | 0.9112 | 0.9367 | |
| 3.2870 | 3.1918 | 1.6767 | 2.9933 | 1.5735 | 1.8949 | 1.4944 | |
| Terrace | 28.32 | 28.93 | 32.15 | 29.27 | 31.58 | 32.13 | 34.20 |
| 0.7066 | 0.7526 | 0.8572 | 0.7485 | 0.8464 | 0.8605 | 0.9086 | |
| 2.0933 | 2.0133 | 1.3215 | 2.2463 | 1.3896 | 1.3478 | 1.0632 | |
| Average | 26.78 | 27.36 | 31.15 | 27.80 | 31.05 | 30.86 | 31.90 |
| 0.7269 | 0.7634 | 0.8705 | 0.7530 | 0.8637 | 0.8624 | 0.8876 | |
| 4.0386 | 3.9257 | 2.4561 | 3.8197 | 2.5139 | 2.5739 | 2.2912 |
| Image | Bicubic | ASDS | NARM | MSEPLL | Proposed Method |
|---|---|---|---|---|---|
| Aerial | 24.57/0.6385/4.0423 | 27.92/0.7557/2.7563 | 25.87/0.6670/3.6998 | 27.76/0.7388/2.8677 | 27.84/0.7490/2.7710 |
| Airplane | 26.13/0.7693/2.6658 | 29.57/0.8361/1.7637 | 27.06/0.7967/2.6225 | 29.93/0.8277/1.7034 | 30.24/0.8456/1.6599 |
| Building | 22.31/0.6817/4.1397 | 26.96/0.8113/2.4338 | 23.75/0.7405/3.7336 | 26.82/0.8093/2.6002 | 27.27/0.8479/2.3386 |
| Farmland | 28.09/0.7613/2.7893 | 31.35/0.8210/1.8997 | 29.67/0.7899/2.6078 | 31.66/0.8249/1.8446 | 31.88/0.8379/1.8029 |
| Residential | 22.05/0.6359/6.6547 | 26.16/0.7958/4.1301 | 23.61/0.6981/5.6835 | 26.21/0.8071/4.0817 | 26.46/0.8207/4.0046 |
| Harbor | 19.44/0.5679/9.7771 | 21.99/0.7214/7.3442 | 20.31/0.6178/8.9995 | 21.82/0.7063/7.4472 | 22.02/0.7297/7.2726 |
| Industrial-area | 24.26/0.5704/4.2199 | 26.96/0.7195/3.0857 | 25.21/0.6119/3.9566 | 26.84/0.7092/3.1590 | 27.08/0.7228/3.0452 |
| Island | 38.37/0.9164/0.9851 | 39.64/0.9420/0.8518 | 40.32/0.9453/1.3135 | 37.91/0.9068/1.0157 | 39.20/0.9339/0.8952 |
| Meadow | 32.19/0.7914/2.6744 | 33.39/0.8274/2.3056 | 32.56/0.7993/2.7643 | 33.42/0.8260/2.2176 | 33.65/0.8303/2.2597 |
| Mountain | 28.37/0.7233/3.3749 | 31.65/0.8168/2.3243 | 30.02/0.7533/3.0819 | 31.81/0.8196/2.3442 | 32.01/0.8293/2.2192 |
| Parking-lot | 20.39/0.5593/7.9503 | 23.92/0.7187/5.3732 | 21.60/0.6098/7.1449 | 23.82/0.7098/5.5197 | 23.76/0.7283/5.3984 |
| River | 28.16/0.7222/3.7962 | 30.13/0.7950/3.0248 | 28.64/0.7375/3.7906 | 29.92/0.7881/3.0064 | 30.19/0.7969/3.0082 |
| Runway | 26.90/0.7451/3.3047 | 29.77/0.8200/2.3667 | 28.44/0.7974/2.9942 | 29.55/0.7980/2.3862 | 30.47/0.8431/2.1896 |
| Storage-tank | 26.12/0.7854/3.3477 | 30.20/0.8618/2.0459 | 27.64/0.8227/2.9920 | 30.22/0.8662/1.9298 | 30.50/0.8766/2.0174 |
| Terrace | 28.07/0.6842/2.1537 | 30.07/0.7717/1.6848 | 29.10/0.7374/2.2373 | 29.79/0.7688/1.7139 | 31.19/0.8245/1.5030 |
| Average | 26.36/0.7035/4.1251 | 29.31/0.8009/2.8927 | 27.59/0.7417/3.8415 | 29.16/0.7938/2.9225 | 29.58/0.8144/2.8257 |
| Image | Bicubic | SRCNN | LGCnet | SRGAN | Proposed Method |
|---|---|---|---|---|---|
| Aerial | 24.67/0.6537/3.9962 | 29.04/0.8182/2.4128 | 29.36/0.8287/2.3298 | 27.89/0.7873/2.3921 | 29.61/0.8355/2.2616 |
| Airplane | 26.27/0.7989/2.6212 | 31.22/0.8960/1.4769 | 32.00/0.9033/1.3552 | 30.46/0.8806/1.3694 | 32.19/0.9078/1.3277 |
| Building | 22.37/0.7016/4.1124 | 27.83/0.8742/2.1715 | 28.95/0.9121/1.9262 | 28.02/0.9045/1.8661 | 29.69/0.9295/1.7704 |
| Farmland | 28.35/0.7874/2.7081 | 33.56/0.8968/1.4867 | 34.03/0.9043/1.4094 | 32.51/0.8905/1.4265 | 34.41/0.9088/1.3482 |
| Residential | 22.12/0.6490/6.6038 | 27.15/0.8563/3.7059 | 27.71/0.8757/3.4700 | 26.56/0.8712/3.4248 | 28.13/0.8866/3.3038 |
| Harbor | 19.46/0.5839/9.7545 | 22.42/0.7738/6.9924 | 22.67/0.7920/6.7545 | 21.58/0.7891/6.5860 | 22.74/0.7954/6.6975 |
| Industrial-area | 24.36/0.5826/4.1738 | 28.05/0.7878/2.7170 | 28.41/0.8043/2.6159 | 27.03/0.8063/2.6098 | 28.77/0.8154/2.5078 |
| Island | 42.05/0.9651/0.6397 | 45.04/0.9797/0.4557 | 45.05/0.9789/0.4561 | 42.61/0.9702/0.5597 | 45.28/0.9798/0.4444 |
| Meadow | 32.81/0.8231/2.4863 | 35.78/0.8989/1.7738 | 35.87/0.8990/1.7524 | 34.35/0.8845/1.7821 | 35.94/0.8994/1.7365 |
| Mountain | 28.65/0.7410/3.2698 | 34.50/0.9012/1.6649 | 34.53/0.9034/1.6612 | 33.06/0.8939/1.6890 | 34.81/0.9063/1.6089 |
| Parking-lot | 20.44/0.5741/7.9069 | 24.97/0.7937/4.7275 | 25.46/0.8204/4.4413 | 24.27/0.8102/4.3878 | 25.06/0.8225/4.6497 |
| River | 28.41/0.7459/3.6894 | 31.51/0.8665/2.5905 | 32.01/0.8756/2.4396 | 30.73/0.8680/2.4351 | 32.09/0.8780/2.4179 |
| Runway | 27.08/0.7765/3.2369 | 30.99/0.8661/2.0623 | 32.59/0.9052/1.7160 | 30.67/0.8716/1.8089 | 32.49/0.9031/1.7356 |
| Storage-tank | 26.28/0.8143/3.2870 | 31.48/0.9165/1.8077 | 32.62/0.9300/1.5836 | 31.09/0.9188/1.5738 | 33.11/0.9367/1.4944 |
| Terrace | 28.32/0.7066/2.0933 | 32.45/0.8654/1.2990 | 34.26/0.9087/1.0559 | 33.05/0.9023/1.0483 | 34.20/0.9086/1.0632 |
| Average | 26.78/0.7269/4.0386 | 31.06/0.8661/2.4896 | 31.70/0.8828/2.3312 | 30.26/0.8098/2.3306 | 31.90/0.8876/2.2912 |
| SRCNN | LGCnet | SRGAN | Proposed Method | |
|---|---|---|---|---|
| The number of training images | 2145 | 2145 | 4290 | 1 |
| Training time | 2 days | 6 h | 8 h | 60 s |
| Dataset | Airplane | Storage-Tank | Island |
|---|---|---|---|
| Bicubic | 25.05/0.7351/3.7586 | 25.43/0.7148/4.1085 | 33.49/0.8812/2.6453 |
| ASDS | 30.82/0.8665/1.9192 | 30.04/0.8474/2.5866 | 37.78/0.9357/1.4686 |
| SRCNN | 30.77/0.8640/1.9225 | 30.05/0.8469/2.5429 | 37.87/0.9373/1.4911 |
| LANR-NLM | 30.29/0.8580/2.0861 | 29.63/0.8388/2.6896 | 37.77/0.9376/1.5116 |
| LGCnet | 31.31/0.8745/1.7948 | 30.55/0.8622/2.3560 | 38.04/0.9384/1.4303 |
| Proposed method | 31.63/0.8771/1.7553 | 30.60/0.8593/2.4672 | 38.12/0.9403/1.4403 |
| Image | Nonlocal Constraint | Joint Constraint |
|---|---|---|
| Aerial | 29.50/0.8342/2.2917 | 29.61/0.8355/2.2616 |
| Airplane | 31.44/0.9026/1.4464 | 32.19/0.9078/1.3277 |
| Building | 27.93/0.9014/2.1688 | 29.69/0.9295/1.7704 |
| Farmland | 33.65/0.8993/1.4725 | 34.41/0.9088/1.3482 |
| Residential | 28.06/0.8834/3.3325 | 28.13/0.8866/3.3038 |
| Harbor | 22.18/0.7614/7.1387 | 22.74/0.7954/6.6975 |
| Industrial-area | 28.72/0.8129/2.5215 | 28.77/0.8154/2.5078 |
| Island | 44.71/0.9758/0.4746 | 45.28/0.9798/0.4444 |
| Meadow | 35.94/0.8996/1.7364 | 35.94/0.8994/1.7365 |
| Mountain | 34.80/0.9060/1.6101 | 34.81/0.9063/1.6089 |
| Parking-lot | 24.95/0.8188/4.7113 | 25.06/0.8225/4.6497 |
| River | 32.07/0.8774/2.4221 | 32.09/0.8780/2.4179 |
| Runway | 31.67/0.8908/1.9085 | 32.49/0.9031/1.7356 |
| Storage-tank | 32.92/0.9354/1.5278 | 33.11/0.9367/1.4944 |
| Terrace | 34.22/0.9091/1.0603 | 34.20/0.9086/1.0632 |
| Average | 31.52/0.8805/2.3882 | 31.90/0.8876/2.2912 |
© 2020 by the authors. Licensee MDPI, Basel, Switzerland. This article is an open access article distributed under the terms and conditions of the Creative Commons Attribution (CC BY) license (http://creativecommons.org/licenses/by/4.0/).
Share and Cite
Fu, L.; Ren, C.; He, X.; Wu, X.; Wang, Z. Single Remote Sensing Image Super-Resolution with an Adaptive Joint Constraint Model. Sensors 2020, 20, 1276. https://doi.org/10.3390/s20051276
Fu L, Ren C, He X, Wu X, Wang Z. Single Remote Sensing Image Super-Resolution with an Adaptive Joint Constraint Model. Sensors. 2020; 20(5):1276. https://doi.org/10.3390/s20051276
Chicago/Turabian StyleFu, Lingli, Chao Ren, Xiaohai He, Xiaohong Wu, and Zhengyong Wang. 2020. "Single Remote Sensing Image Super-Resolution with an Adaptive Joint Constraint Model" Sensors 20, no. 5: 1276. https://doi.org/10.3390/s20051276
APA StyleFu, L., Ren, C., He, X., Wu, X., & Wang, Z. (2020). Single Remote Sensing Image Super-Resolution with an Adaptive Joint Constraint Model. Sensors, 20(5), 1276. https://doi.org/10.3390/s20051276

