DOA Estimation Using Fourth-Order Cumulants in Nested Arrays with Structured Imperfections
Abstract
1. Introduction
2. Problem Formulation
2.1. Signal Model
2.2. Parameters Setting
3. Proposed FOC-Based DOA Estimator without Mutual Coupling Compensation
3.1. FOC Matrix Construction
3.2. Robust DOA Estimation Against Unknown Mutual Coupling
3.3. Mutual Coupling Coefficient Estimation
3.4. Extension to Partly Calibrated Nested Array with Unknown Mutual Coupling
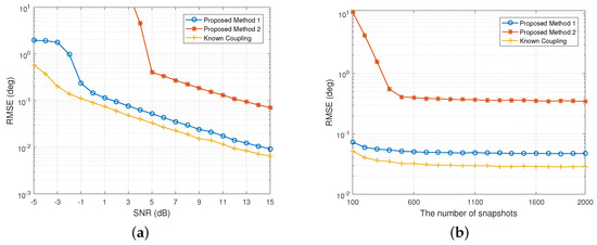
4. Simulation Results and Discussion
5. Conclusions
Author Contributions
Funding
Acknowledgments
Conflicts of Interest
References
- Krim, H.; Viberg, M. Two decades of array signal processing research: The parametric approach. IEEE Signal Process. Mag. 1996, 13, 67–94. [Google Scholar] [CrossRef]
- Van Trees, H.L. Detection Estimation and Modulation Theory, Part IV, Optimum Array Processing; John Wiley and Sons: New York, NY, USA, 2002. [Google Scholar]
- Yan, J.; Pu, W.; Zhou, S.; Liu, H.; Bao, Z. Collaborative detection and power allocation framework for target tracking in multiple radar system. Inform. Fusion 2020, 55, 173–183. [Google Scholar] [CrossRef]
- Shi, C.; Wang, F.; Sellathurai, M.; Zhou, J.; Salous, S. Low probability of intercept-based optimal power allocation scheme for an integrated multistatic radar and communication system. IEEE Syst. J. 2019. [Google Scholar] [CrossRef]
- Shi, Z.; Zhou, C.; Gu, Y.; Goodman, N.A.; Qu, F. Source estimation using coprime array: A sparse reconstruction perspective. IEEE Sensors J. 2017, 17, 573–586. [Google Scholar] [CrossRef]
- Zhou, C.; Gu, Y.; Fan, X.; Shi, Z.; Mao, G.; Zhang, Y.D. Direction-of-arrival estimation for coprime array via virtual array interpolation. IEEE Trans. Signal Process. 2018, 66, 5956–5971. [Google Scholar] [CrossRef]
- Zhou, C.; Gu, Y.; He, S.; Shi, Z. A robust and efficient algorithm for coprime Array adaptive beamforming. IEEE Trans. Veh. Technol. 2018, 67, 1099–1112. [Google Scholar] [CrossRef]
- Zhou, C.; Gu, Y.; Shi, Z.; Zhang, Y.D. Off-grid direction-of-arrival estimation using coprime array interpolation. IEEE Signal Process. Lett. 2018, 25, 1710–1714. [Google Scholar] [CrossRef]
- Wang, Y.; Trinkle, M.; Ng, B.W.H. Efficient DOA estimation of noncircular signals in the presence of multipath propagation. Signal Process. 2018, 149, 14–26. [Google Scholar] [CrossRef]
- Schmidt, R.O. Multiple emitter location and signal parameter estimation. IEEE Trans. Antennas Propag. 1986, 34, 276–280. [Google Scholar] [CrossRef]
- Roy, R.; Kailath, T. ESPRIT-Estimation of signal parameters via rotational invariance techniques. IEEE Trans. Acoust. Speech Signal Process. 1989, 37, 984–995. [Google Scholar] [CrossRef]
- Hoctor, R.T.; Kassam, S.A. The unifying role of the coarray in aperture synthesis for coherent and incoherent imaging. Proc. IEEE 1990, 78, 735–752. [Google Scholar] [CrossRef]
- BouDaher, E.; Ahmad, F.; Amin, M.G.; Hoorfar, A. Mutual coupling effect and compensation in non-uniform arrays for direction-of-arrival estimation. Digit. Signal Process. 2017, 61, 3–14. [Google Scholar] [CrossRef]
- Pal, P.; Vaidyanathan, P.P. Nested arrays: A novel approach to array processing with enhanced degrees of freedom. IEEE Trans. Signal Process. 2010, 58, 4167–4181. [Google Scholar] [CrossRef]
- Pal, P.; Vaidyanathan, P.P. Multiple level nested array: An efficient geometry for 2qth order cumulant based array processing. IEEE Trans. Signal Process. 2012, 60, 1253–1269. [Google Scholar] [CrossRef]
- Han, K.; Nehorai, A. Wideband Gaussian source processing using a linear nested array. IEEE Signal Process. Lett. 2013, 20, 1110–1113. [Google Scholar]
- Han, K.; Nehorai, A. Improved source number detection and direction estimation with nested arrays and ULAs using jackknifing. IEEE Trans. Signal Process. 2013, 61, 6118–6128. [Google Scholar] [CrossRef]
- Han, K.; Nehorai, A. Nested array processing for distributed sources. IEEE Signal Process. Lett. 2014, 21, 1111–1114. [Google Scholar]
- Han, K.; Yang, P.; Nehorai, A. Calibrating nested sensor arrays with model errors. IEEE Trans. Antennas Propag. 2015, 63, 4739–4748. [Google Scholar] [CrossRef]
- Liu, C.L.; Vaidyanathan, P.P. Remarks on the spatial smoothing step in coarray MUSIC. IEEE Signal Process. Lett. 2015, 22, 1438–1442. [Google Scholar] [CrossRef]
- Yang, J.; Liao, G.; Li, J. An efficient off-grid DOA estimation approach for nested array signal processing by using sparse Bayesian learning strategies. IEEE Signal Process. Lett. 2016, 128, 110–122. [Google Scholar] [CrossRef]
- Wang, Y.; Hashemi-Sakhtsari, A.; Trinkle, M.; Ng, B.W.H. Sparsity-aware DOA estimation of quasi-stationary signals using nested arrays. Signal Process. 2018, 144, 87–98. [Google Scholar] [CrossRef]
- Pal, P.; Vaidyanathan, P.P. Nested arrays in two dimensions, Part I: Geometrical considerations. IEEE Trans. Signal Process. 2012, 60, 4694–4705. [Google Scholar] [CrossRef]
- Pal, P.; Vaidyanathan, P.P. Nested arrays in two dimensions, Part II: Application in two dimensional array processing. IEEE Trans. Signal Process. 2012, 60, 4706–4718. [Google Scholar] [CrossRef]
- Friedlander, B.; Weiss, A.J. Direction finding in the presence of mutual coupling. IEEE Trans. Antennas Propag. 1991, 39, 273–284. [Google Scholar] [CrossRef]
- Sellone, F.; Serra, A. A novel online mutual coupling compensation algorithm for uniform and linear arrays. IEEE Trans. Antennas Propag. 2007, 55, 560–573. [Google Scholar] [CrossRef]
- Ye, Z.; Liu, C. On the resiliency of MUSIC direction finding against antenna sensor coupling. IEEE Trans. Antennas Propag. 2008, 56, 371–380. [Google Scholar] [CrossRef]
- Xu, X.; Ye, Z.F.; Zhang, Y.F. DOA estimation for mixed signals in the presence of mutual coupling. IEEE Trans. Signal Process. 2009, 57, 3523–3532. [Google Scholar] [CrossRef]
- Dai, J.; Xu, W.; Zhao, D. Real-valued DOA estimation for uniform linear array with unknown mutual coupling. Signal Process. 2012, 92, 2056–2065. [Google Scholar] [CrossRef]
- Dai, J.; Zhao, D.; Ji, X. A sparse representation method for DOA estimation with unknown mutual coupling. IEEE Antennas Wireless Propag. Lett. 2012, 11, 1210–1213. [Google Scholar] [CrossRef]
- Dai, J.; Xu, X.; Zhao, D. Direction-of-arrival estimation via real-valued sparse representation. IEEE Antennas Wireless Propag. Lett. 2013, 12, 376–379. [Google Scholar] [CrossRef]
- Liu, Z.; Zhou, Y. A unified framework and sparse Bayesian perspective for direction-of-arrival estimation in the presence of array imperfections. IEEE Trans. Signal Process. 2013, 61, 3786–3798. [Google Scholar] [CrossRef]
- Wang, Y.; Trinkle, M.; Ng, B.W.H. DOA estimation under unknown mutual coupling and multipath with improved effective array aperture. Sensors 2015, 15, 30856–30869. [Google Scholar] [CrossRef] [PubMed]
- Liu, H.; Zhao, L.; Li, Y.; Jing, X.; Truong, T.K. A sparse-based approach for DOA estimation and array calibration in uniform linear array. IEEE Sensors J. 2016, 16, 6018–6027. [Google Scholar] [CrossRef]
- Wang, Q.; Dou, T.; Chen, H.; Yan, W.; Liu, W. Effective block sparse representation algorithm for DOA estimation with unknown mutual coupling. IEEE Commun. Lett. 2017, 21, 2622–2625. [Google Scholar] [CrossRef]
- Hawes, M.; Mihaylova, L.; Septier, F.; Godsill, S. Bayesian compressive sensing approaches for direction of arrival estimation with mutual coupling effects. IEEE Trans. Antennas Propag. 2017, 65, 1357–1368. [Google Scholar] [CrossRef]
- Wang, X.; Meng, D.; Huang, M.; Wan, L. Reweighted regularized sparse recovery for DOA estimation with unknown mutual coupling. IEEE Commun. Lett. 2019, 23, 290–293. [Google Scholar] [CrossRef]
- Wang, Y.; Yang, X.; Xie, J.; Wang, L.; Ng, B.W.H. Sparsity-inducing DOA estimation of coherent signals under the coexistence of mutual coupling and nonuniform noise. IEEE Access 2019, 7, 40271–40278. [Google Scholar] [CrossRef]
- Liu, C.L.; Vaidyanathan, P.P. Super nested arrays: Linear sparse arrays with reduced mutual coupling— Part I: Fundamentals. IEEE Trans. Signal Process. 2016, 64, 3997–4012. [Google Scholar] [CrossRef]
- Liu, C.L.; Vaidyanathan, P.P. Super nested arrays: Linear sparse arrays with reduced mutual coupling— Part II: High-order extensions. IEEE Trans. Signal Process. 2016, 64, 4203–4217. [Google Scholar] [CrossRef]
- Liu, J.; Zhang, Y.; Lu, Y.; Ren, S.; Cao, S. Augmented nested arrays with enhanced DOF and reduced mutual coupling. IEEE Trans Signal Process. 2017, 65, 5549–5563. [Google Scholar] [CrossRef]
- Zheng, Z.; Wang, W.; Kong, Y.; Zhang, Y.D. MISC Array: A new sparse array design achieving increased degrees of freedom and reduced mutual coupling dffect. IEEE Trans. Signal Process. 2019, 67, 1728–1741. [Google Scholar] [CrossRef]
- Wang, Y.; Wang, L.; Xie, J.; Trinkle, M.; Ng, B.W.H. DOA estimation under mutual coupling of uniform linear arrays using sparse reconstruction. IEEE Wireless Commun. Lett. 2019, 8, 1004–1007. [Google Scholar] [CrossRef]
- Dǒgan, M.C.; Mendel, J.M. Applications of cumulants to array processing—Part I: Aperture extension and array calibration. IEEE Trans. Signal Process. 1995, 43, 1200–1216. [Google Scholar] [CrossRef]
- Liu, C.; Ye, Z.; Zhang, Y. DOA estimation based on fourth-order cumulants with unknown mutual coupling. Signal Process. 2009, 89, 1839–1843. [Google Scholar] [CrossRef]
- Liao, B.; Chan, S.C. A cumulant-based approach for direction finding in the presence of mutual coupling. Signal Process. 2014, 104, 197–202. [Google Scholar] [CrossRef]
- Liao, B.; Chan, S.C. A cumulant-based method for direction finding in uniform linear arrays with mutual coupling. IEEE Antennas Wireless Propag. Lett. 2014, 13, 1717–1720. [Google Scholar] [CrossRef]
- Ahmed, A.; Tufail, M. Genetic algorithm-based improved DOA estimation using fourth-order cumulants. Int. J. Electron. 2017, 104, 747–760. [Google Scholar] [CrossRef]
- Craeye, C.; González-Ovejero, D. A review on array mutual coupling analysis. Radio Sci. 2011, 46, 1–25. [Google Scholar] [CrossRef]
- Ye, Z.; Zhang, Y. DOA estimation for non-Gaussian signals using fourth-order cumulants. IET Microw. Antennas Propag. 2009, 3, 1069–1078. [Google Scholar] [CrossRef]
- Wang, Y.; Trinkle, M.; Brian, B.W.H. Two-stage DOA estimation of independent and coherent signals in spatially coloured noise. Signal Process. 2016, 128, 350–359. [Google Scholar] [CrossRef]
- Wong, K.M.; Reilly, J.P.; Wu, Q.; Qiao, S. Estimation of the directions of arrival of signals in unknown correlated noise, part I: The MAP approach and its implementation. IEEE Trans. Signal Process. 1992, 40, 2007–2017. [Google Scholar] [CrossRef]
- Viberg, M.; Stoica, P.; Ottersten, B. Maximum likelihood array processing in spatially correlated noise fields using parameterized signals. IEEE Trans. Signal Process. 1997, 45, 996–1004. [Google Scholar] [CrossRef]

| Step 1. | Compute the cumulant matrix B from observations according to (5). |
| Step 2. | Extract the noise subspace by performing SVD on B. |
| Step 3. | Construct (or ) composed by in (9), in (22), |
| and in (11) (or in (23)). | |
| Step 4. | Determine the DOA estimates by searching for N |
| minima of defined in (14) (or in (24)). | |
| Step 5. | Reconstruct with the DOA estimates in (17) (or in (26)). |
| Step 6. | Estimate in (18) (or in (25)). |
| Step 7. | Obtain estimates of the mutual coupling coefficients in (21) |
| (or in (27) and estimates of gain-phase errors in (28)). |
| Method 1 | Method 2 | |
|---|---|---|
| SNR | RMSE | RMSE |
| 5 dB | 8.534% | 35.94% |
| 7 dB | 5.621% | 23.413% |
| 9 dB | 3.7062% | 13.881% |
| 11 dB | 2.5199% | 8.2154% |
| 13 dB | 1.7612% | 4.9845% |
| 15 dB | 1.2811% | 3.2019% |
| Method 1 | Method 2 | |
|---|---|---|
| The Number | RMSE | RMSE |
| of Snapshots | ||
| 1000 | 8.1907% | 35.118% |
| 1200 | 8.0853% | 34.504% |
| 1400 | 8.0204% | 34.884% |
| 1600 | 8.0126% | 34.465% |
| 1800 | 7.9647% | 34.305% |
| 2000 | 7.9368% | 34.043% |
© 2020 by the authors. Licensee MDPI, Basel, Switzerland. This article is an open access article distributed under the terms and conditions of the Creative Commons Attribution (CC BY) license (http://creativecommons.org/licenses/by/4.0/).
Share and Cite
Wang, B.; Zheng, J. DOA Estimation Using Fourth-Order Cumulants in Nested Arrays with Structured Imperfections. Sensors 2020, 20, 994. https://doi.org/10.3390/s20040994
Wang B, Zheng J. DOA Estimation Using Fourth-Order Cumulants in Nested Arrays with Structured Imperfections. Sensors. 2020; 20(4):994. https://doi.org/10.3390/s20040994
Chicago/Turabian StyleWang, Baoping, and Junhao Zheng. 2020. "DOA Estimation Using Fourth-Order Cumulants in Nested Arrays with Structured Imperfections" Sensors 20, no. 4: 994. https://doi.org/10.3390/s20040994
APA StyleWang, B., & Zheng, J. (2020). DOA Estimation Using Fourth-Order Cumulants in Nested Arrays with Structured Imperfections. Sensors, 20(4), 994. https://doi.org/10.3390/s20040994
